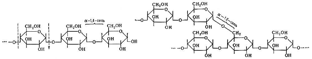
Крахмал (польск. krochmal, от нем. Kraftmehl), основной резервный углевод растений; образуется в клеточных органеллах (хлоропластах и амилопластах) и накапливается главным образом в семенах, луковицах и клубнях, а также в листьях и стеблях. К. откладывается в клетках в виде зёрен, в состав которых входит небольшое количество белков и липидов. Зёрна К. у разных видов растений различаются по размерам (наиболее крупные — у картофеля, их средний диаметр около 33 мкм. наиболее мелкие у риса — около 15 мкм) и форме и имеют слоистую структуру (рис. 1 и 2). При микроскопическом исследовании по виду зёрен К. можно определить их происхождение. К. представляет собой смесь двух полисахаридов: линейного — амилозы и разветвленного — амило-пектина, общая формула которых: (C6H10O5)n,. Как правило, содержание амилозы в К. составляет 10—30%, а амилопектина 70—90% . Полисахариды К. построены из остатков глюкозы, соединённых в амилозе и в линейных цепях амилопектина a-1,4-глюкозидными связями, а в точках ветвления — межцепочечными a-1,6-глюкозидными связями (см. формулы).

(В амилозе связано в среднем около 1000 остатков глюкозы; отдельные линейные участки молекулы амилопектина состоят из 20—30 таких единиц.) Характерное синее окрашивание К. раствором иода (йодная реакция) используется для его обнаружения. При частичном кислотном гидролизе К. образуются полисахариды меньшей степени полимеризации — декстрины, при полном гидролизе — глюкоза. Ферментативный распад К. может осуществляться различными путями. В присутствии неорганического фосфата растительная фосфорилаза расщепляет a-1,4-связи с образованием глюкозо-1-фосфата, тем самым переводя К. из запасной формы в метаболически активную. Широко распространённые в природе ферменты a- и b-амилазы также расщепляют только a-1,4-связи: b-амилаза — до мальтозы и декстринов, a-амилаза способна «обходить» точки ветвления и полностью расщеплять К. до низкомолекулярных продуктов (мальтоза, глюкоза). Распад a-1,6-связей с образованием свободной глюкозы катализирует амило-1,6-глюкозидаза. У плесневых грибов существует фермент, расщепляющий К. до глюкозы — глюкоамилаза. Конечные продукты ферментативного расщепления К. — глюкоза и глюкозо-1-фосфат — важнейшие субстраты как энергетического обмена, так и процессов биосинтеза. Биосинтез неразветвлённых цепей К. осуществляется с помощью глюкозилтрансфераз, катализирующих перенос остатка глюкозы от нуклеозиддифосфатглюкозы к растущей углеводной цепи. «Ветвящий» Q-фсрмент переносит концевой глюкозный остаток из основной цепи в боковую с образованием a-1,6-связи в амилопектине. Исходным субстратом при биосинтезе К. у растений может быть сахароза. К. составляет основную часть важнейших продуктов питания (в муке 75— 80%, в картофеле 25%), легко переваривается в желудочно-кишечном тракте и обладает высокой калорийностью — 16,75 кдж/г (ок. 4 ккал/г). К. и его производные применяются при производстве бумаги, текстильных изделий, клеев, в литейном производстве и др. отраслях промышленности.
Как лекарственное средство К. входит в состав присыпок, мазей и паст. В качестве индикатора на иод используют 1%-ный раствор К. Применяют также как обволакивающее средство (клейстер, крахмальный отвар). Из смеси К. (или пшеничной муки) и крахмального клейстера изготовляют облатки.
Лит.: Химия и технология крахмала, пер. с англ., 2 изд., М., 1956; Химия углеводов, М., 1967; Степаненко Б.Н., Углеводы. Успехи в изучении строения и метаболизма, М., 1968.
Д. М. Беленький.

К ст. Крахмал.

Рис. 1. Микрофотография зерна крахмала из клубня картофеля; видна слоистая структура.

Рис. 2. Зёрна крахмала в развивающейся клетке эндосперма риса.