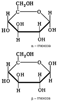
Глюкоза (от греч. glykys — сладкий), виноградный сахар, декстроза; углевод, наиболее часто встречающийся в природе; относится к гексозам, т. е. моносахаридам, содержащим 6 углеродных атомов. Бесцветные кристаллы, tпл 146,5 °С. Хорошо растворима в воде. Раствор Г. содержит молекулы в a-форме и b-форме; равновесное состояние достигается при соотношении этих форм 37% и 63%. Г. оптически активна, вращает поляризованный луч вправо. a-Г. — необходимый компонент всех живых организмов — от вирусов до высших растений и позвоночных животных (включая человека); входит в состав различных соединений — от сахарозы, целлюлозы и крахмала до некоторых гликопротеидов и вирусной рибонуклеиновой кислоты. Для ряда бактерий Г. — единственный источник энергии. Г. участвует во многих реакциях обмена веществ.

Содержание Г. в крови человека около 100 мг%, оно регулируется нейро-гуморальным путём (см. Углеводный обмен). Снижение содержания Г. (см. Гипогликемия) до 40 мг% вызывает резкое нарушение деятельности центральной нервной системы. Основные пути использования Г. в организме: анаэробные превращения, сопровождающиеся синтезом АТФ (см. Аденозинфосфорные кислоты) и заканчивающиеся образованием молочной кислоты (см. Гликолиз); синтез гликогена; аэробное окисление до глюконовой кислоты под действием фермента глюкозооксидазы (процесс присущ некоторым микроорганизмам, использующим его для получения энергии, протекает с поглощением кислорода воздуха); превращения в пентозы и др. простые сахара (пентозофосфатный цикл). При полном ферментативном окислении Г. до CO2 и H2O выделяется энергия: C6H12O6 + 6O2 ® 6CO2 + 6H2O + 686 ккал/моль, значительная часть которой аккумулируется макроэргическими соединениями типа АТФ. Синтез Г. из неорганических компонентов представляет обратный процесс и осуществляется растениями и некоторыми бактериями, использующими энергию солнечного света (фотосинтез) и химических окислительных реакций (хемосинтез).
В промышленности Г. получают гидролизом крахмала. Применяется в кондитерском производстве; как лечебное средство — в медицине.
А. А. Болдырев.
Для медицинских целей употребляют Г. в порошках и таблетках, а также изотонический (4,5—5%) и гипертонический (10—40%) растворы Г. Изотонические растворы применяют (вводят подкожно и в клизмах) для пополнения организма жидкостью; они являются также источником легко усвояемого питательного материала. При введении гипертонических растворов (внутривенно) повышается осмотическое давление крови, улучшаются процессы обмена веществ, усиливается антитоксическая функция печени, сократительная деятельность сердечной мышцы, расширяются сосуды, увеличивается мочевыделение. Растворы Г. применяют при инфекционных заболеваниях, заболеваниях сердца, различных отравлениях и др., часто в сочетании с аскорбиновой кислотой.
Лит.: Химия углеводов, М., 1967.