Гликоген (от глюкоза и ...ген), животный крахмал (C6H10O5) n, основной запасной углевод животных и человека, встречается также у некоторых бактерий, дрожжей и грибов. Особенно велико его содержание в печени (3—5%) и мышцах (0,4—2%). Обнаружен французским физиологом К. Бернаром в печени (1857). Г. гомополисахарид, построенный из 6—20 тыс. и более остатков a-D-глюкозы. Молекула Г. имеет разветвленное строение; средняя протяжённость неразветвлённой цепи 10—14 остатков глюкозы (рис. 1 и 2). Молярная масса Г. 105—107. Г. белый аморфный порошок, в растворе полидисперсен, опалесцирует. Оптически активен ([a] D= + 198°). Раствор Г. с йодом окрашивается от фиолетово-коричневого до фиолетово-красного цвета. Г. в организме расщепляется двумя способами. В процессе пищеварения под действием амилаз происходит гидролитическое расщепление Г., содержащегося в пище. Процесс начинается в ротовой полости и заканчивается в тонком кишечнике (при рН 7—8) с образованием декстринов, затем мальтозы и глюкозы. В кровь поступает глюкоза, избыток которой включается в синтез Г. и в таком виде откладывается в тканях. В клетках тканей возможно также гидролитическое расщепление Г., но оно имеет меньшее значение. Основной путь внутриклеточного превращения Г. — фосфоролитическое расщепление, происходящее под влиянием фосфорилазы и приводящее к последовательному отщеплению от молекулы Г. остатков глюкозы с одновременным их фосфорилированием. Образующийся при этом глюкозо-1-фосфат может вовлекаться в процесс гликогенолиза (см. Гликолиз). При синтезе Г. обязательным этапом является фосфорилирование глюкозы. Синтез происходит под действием фермента гликогенсинтетазы. В цитоплазме Г. представлен смесью разнородных по физико-химическим свойствам полисахаридов с различной молярной массой. Состав Г. может меняться в зависимости от функционального состояния ткани, времени года и др.
Содержание Г. в тканях зависит от соотношения активностей фосфорилазы и гликогенсинтетазы и от снабжения ткани глюкозой из крови. При понижении уровня сахара в крови наблюдается высокая активность фосфорилазы и происходит т. н. мобилизация Г. — исчезновение его скоплений из цитоплазмы. Наоборот, при обогащении крови глюкозой (например, после приёма пищи) преобладает синтез Г. Важную роль в поддержании постоянного уровня сахара в крови играет печень, превращая избыток глюкозы в Г. или мобилизуя его при недостатке сахара в крови. Др. органы запасают Г. лишь для собственного потребления. При этом поступающая в клетку глюкоза обычно используется для синтеза Г., который в дальнейшем расходуется как основной субстрат анаэробных превращений углеводов. Важную роль в регуляции содержания сахара в крови играет центральная нервная система. В мозговой ткани Г. мало, поэтому колебания уровня сахара в крови отражаются на обменных процессах в мозге. Направление обмена Г. в печени регулируется с помощью биологически активных веществ, при участии гипоталамуса и симпатической нервной системы. Наиболее важны гормоны адреналин и глюкагон (вызывающие мобилизацию Г.) и инсулин, стимулирующий его синтез.
Лит.: Химия углеводов, М., 1967.
Л. А. Болдырев.

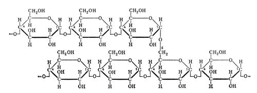
Рис. 2. Участок молекулы гликогена; остатки глюкозы соединены 1,4-гликозидными связями, а в точке ветвления — 1,6-гликозидной связью.

Рис. 1. Схема молекулы гликогена: А — «альдегидное» начало цепи; мелкие кружки — глюкозные остатки. Пунктиром обведены границы b-декстрина; четырёхугольник — участок молекулы, формула которого приведена на рис. 2.