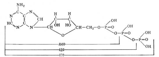
Аденозинфосфорные кислоты, нуклеотиды, моно-, ди- и трифосфорные эфиры аденозина, содержащие аденин, углевод рибозу и один (АМФ), два (АДФ) или три (АТФ) остатка фосфорной кислоты. А. к. имеются во всех организмах (от микроба и растения до человека) и играют важнейшую роль в обмене веществ и энергий, т. к. присоединение фосфатных групп к АМФ сопровождается аккумуляцией энергии (АДФ, АТФ — макроэргические соединения), а их отщепление — выделением энергии, используемой для различных процессов жизнедеятельности (см. Биоэнергетика). В клетках постоянно происходят взаимопревращения АТФ, АДФ и АМФ. Аденозинмонофосфорные кислоты (АМФ, адениловые кислоты) имеют один остаток фосфорной кислоты. Молекулярная масса 347,23. В зависимости от места присоединения остатка фосфорной кислоты к рибозе различают 5’-АМФ («мышечная» АМФ), 3’-АМФ («дрожжевая» АМФ) и 2’-АМФ. АМФ — составная часть нуклеиновых кислот, входит в состав многих ферментов. Основные производные АМФ: циклическая АМФ, активирующая фермент фосфорилазу, и АТФ. Аденозиндифосфорная кислота (АДФ) имеет 2 остатка фосфорной кислоты. Молекулярная масса 427,22. Получается из АТФ при ферментативном отщеплении остатка фосфорной кислоты. Играет большую роль в энергетическом обмене и окислительном фосфорилировании. Аденозинтрифосфорная кислота (АТФ, аденилпирофосфорная кислота) имеет 3 остатка фосфорной кислоты. Молекулярная масса 507,21. Является субстратом для биосинтеза нуклеиновых кислот. Одна или две концевые фосфатные группы легко отщепляются от АТФ под действием ферментов аденозинтрифосфатаз; при этом образуются АДФ или АМФ и освобождается энергия (30—40 кдж, или 7—10 ккал, в расчёте на один фосфат). Присоединение остатков фосфорной кислоты к АМФ или АДФ сопровождается накоплением энергии в образующейся АТФ. При переносе легко отщепляющихся богатых энергией (макроэргических) фосфатных групп с АТФ на др. вещества эта энергия передаётся последним или расходуется на мышечное сокращение, нервное возбуждение, секрецию желёз, биосинтез белков и иных веществ и др. Ресинтез АТФ происходит в процессе окислительного, фотосинтетического или сопряжённого с гликолизом фосфорилирования или связан с др. энергетическими процессами.
Растворы динатриевой и монокальциевой солей аденозинтрифосфорной кислоты используются с лечебными целями — для инъекций при мышечной дистрофии, спазме сердечных и периферических сосудов. Нельзя принимать препараты АТФ при свежих инфарктах миокарда и воспалительных заболеваниях лёгких.

Лит.: Иванов И. И., Юрьев В. А., Биохимия и патобиохимия мышц Л., 1961; Збарский Б. И., Иванов И. И., Мардашев С. P., Биологич. химия, 4 изд., Л.,1965; Ленинджер А., Митохондрия, пер. с англ., М., 1966; Рэкер Э., Биоэнергетич. механизмы, пер. с англ., М., 1967.
И. Б. Збарский.