РАЗРАБОТКА ПРИНЦИПОВ КОМПЬЮТЕРНОГО ПРОЕКТИРОВАНИЯ
ДЕТАЛЕЙ И УЗЛОВ ОДЕЖДЫ ЗАДАННОЙ ФОРМЫ
ИЗ ТКАНЕЙ, СОДЕРЖАЩИХ МОДИФИЦИРОВАННЫЙ ЛЁН
М.Р. Смирнова, д.т.н. В.Е. Кузьмичев
Ивановская государственная текстильная академия /г.Иваново/
УДК:[687.12:677.11]:004.9
Появление на потребительском рынке широкого ассортимента льносодержащих тканей с разнообразными показателями пошивочных свойств сделало актуальным создание таких методик проектирования, которые напрямую, а не косвенно, учитывают поведение материалов при проектировании заданной формы конструктивно-сложных узлов швейных изделий.
Цель настоящей работы - в разработка универсальной методики автоматизированного построения конструкции двухшовного рукава заданной объёмно-пространственной формы.
На первом этапе работы были проанализированы существующие методики проектирования конструкции узла «пройма-рукав», в результате чего был определён наиболее рациональный вариант алгоритма построения срезов оката рукава, выработаны общие рекомендации по величинам посадки для различных групп тканей. Было установлено, что рассмотренные методики не гарантируют получение требуемой формы, зависящей от пошивочных свойств тканей.
Второй этап работы был посвящен разработке нового подхода к построению методики конструирования узла «пройма-рукав» как наиболее сложного для воспроизведения требуемой формы.
Предложены показатели объемно-пространственной формы и установлены функциональные зависимости между ними и отдельными показателями пошивочных свойств исследуемых тканей, что позволило разработать универсальный способ построения срезов верхней части оката рукава для изделий из разных видов льносодержащих тканей, гарантирующий получение заданной объёмно-пространственной формы при четком соответствии длин проймы и оката рукава.
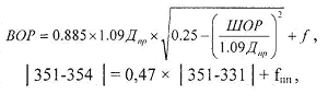
Разработаны формулы для расчета конструктивных отрезков и точек, задающих отдельные параметры оката рукава с разной нормой посадки.
На рисунке 1 представлена схема перемещения конструктивных точек по линиям базисной сетки при построении срезов верхней части оката рукава с различной нормой посадки.

Рис.1 Перемещение конструктивных точек
при построении верхних срезов оката рукава с разной нормой посадки
Методика реализована в САПР «ГРАЦИЯ» и может быть рекомендована швейным предприятиям и моделирующим организациям.