Средняя обезличенная такса дифференцировалась по древесным породам, сортиментам и размерам в зависимости от удаленности объектов лесозаготовок. В таксах имелось три категории удаленности (разряда такс), 3 группы древесных пород и 5 групп сортиментов. Намечалось ввести 12 категорий удаленности и 5 групп древесных пород.
      Сроки внесения лесного дохода в бюджет и в фонд лесокультурных мероприятий и строительства лесных дорог были регламентированы правилами. Прочие поступления – лесные доходы (штрафы, возмещение убытков и др.) оставались на предприятии и используются для материальной заинтересованности в лучшей охране леса.
      В Венгрии расходы на лесное хозяйство покрывались за счет попенной платы, установленной в размере 20–25% от стоимости заготовленной деловой древесины. С лесхозов, находящихся в благоприятных условиях эксплуатации, взималась определенная сумма, которая затем использовалась на возобновление леса в лесхозах с неблагоприятными природными условиями. Попенная плата составляла 60% расходов на выращивание и содержание леса.
      Лесные таксы в Румынии были введены несколько лет назад для стимулирования, главным образом, наибольшего выхода крупномерных высококачественных сортиментов деловой древесины хозяйственно ценных пород. С этой целью, в частности, лесные таксы предусматривали следующую классификацию лесных материалов по размерам в верхнем отрубе, в см.
     

Деловая древесина

Хвойных пород

Лиственных пород

Крупная I категории

34 и выше

40 и выше

Крупная II и III категории

20,1 – 34

24,1 – 40

Средняя II и III категории

10 – 20

12 – 24

мелкая

10

12


     
      Таксы на древесину от рубок главного пользования были выше такс на древесину от рубок промежуточного пользования в 3–4 раза. За дровяную древесину рубок промежуточного пользования попенная плата не начислялась.
      Румыния являлась единственной страной с плановой экономикой, в которой таксы на лиственную древесину значительно превышали таксы на хвойную древесину.
      Самые крупные сортименты почти по всем породам, включая и тополь, были оценены по таксам в 3,5–4 раза дороже тонких сортиментов. Этот подход не учитывал разнообразия технологического использования древесины.
      В Румынии были разработаны таксы и на большинство продуктов побочного пользования.
      С 1 июля 1974 г. попенная плата была установлена на уровне 18% цены заготовленной древесины и полностью покрывала расходы на лесовосстановительные работы, охрану лесов и развитие лесного хозяйства.
      В Чехословакии, как и в Болгарии, Польше и др. странах, лесное хозяйство и лесозаготовки велись Министерством лесного и водного хозяйства. Расходы на лесное хозяйство покрывались за счет отчислений от реализации заготовленной древесины.
      В Польше лесные таксы не применялись, но стоимостную оценку леса на корню в возрасте свыше 20 лет производили по следующей формуле [25]:
      Ax=V1(C1-K1)+V2(C2-K2)+...+V5(C5-K5)
      где Ах – стоимость х-летних древостоев в злотых;
      V1, V2, V5– масса деревьев в пределах предельных ступеней толщины, куб. м;
      C1, C2, C5 – средняя цена 1 куб. м древесины, установленная по ценам сортиментов, которые могут быть получены при данных ступенях толщины, в злотых;
      K1, K2, K5 – средние затраты на заготовку и раскряжевку 1 куб. м древесины в отдельных ступенях толщины, в злотых.
     
      Формирование лесных такс в капиталистических странах
     
      В капиталистических странах [61] оценка древостоя производится разными методами:
      1. По фактическому запасу путем подсчета стоимости всей наличной древесины по действующим рыночным ценам за вычетом издержек на лесозаготовки
     
      где: A – цена древостоя по запасу;
      Σmx запас отдельных сортиментов, куб. м;
      Px – рыночная цена 1 куб. м сортимента;
      Wx – затраты на заготовку и транспортировку 1 куб. м отдельных сортиментов.
      2. По издержкам производства. Метод состоит в подсчете процентов на цену земли, текущих затрат на ведение лесного хозяйства за вычетом дохода от промежуточных рубок
     
      где: K – цена древостоя по издержкам;
      m – количество лет, прошедших после производства затрат;
      B – цена земли;
      Y – капитализированные текущие затраты по ведению хозяйства, равные v/0,0p (где v – затраты по ведению хозяйства за один год);
      р – процент капитализации, колеблющейся от 0,8 до 4;
      с – затраты на выращивание леса;
      ΣДi – расходы от промежуточных рубок в возрасте i лет.
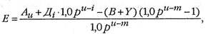
      3. По доходу. Метод заключается в оценке в году m по доходу от спелого древостоя в году и, уменьшенному на издержки в период u-m.
     
      где: Е – цена древесины по ожидаемому доходу на момент m;
      Au – доход от рубки древостоя в возрасте и лет;
      u – оборот рубки.
      Цена спелого древостоя u - m равна доходу от рубки за вычетом затрат на заготовку и транспортировку древесины А.
      Упрощенная формула, принимающая текущие затраты и ренту, равными выручке от промежуточных рубок, имеет вид
     
      Все перечисленные методы дают на практике разный результат.
      В капиталистических странах таксы (цены) на древесину на корню, складываются под воздействием многих взаимосвязанных факторов. К этим факторам американские специалисты относят:
      1. Размер лесного участка. Статистические данные, отражающие отпуск леса из гослесфонда на юге США, показывают, что крупные лесные участки оцениваются дороже, поскольку снижаются затраты на обследование древостоев, строительство дорог и использование оборудования.
      2. Характер рубки. Участок леса, выделяемый под сплошную рубку, позволяет назначить более высокую цену, чем если бы он был предназначен для постепенных и выборочных рубок, при которых существенно снижается производительность труда.
      3. Запас древесины на единице площади лесосеки и средний объем хлыста.
      4. Объем дорожного строительства.
      5. Продолжительность времени, в течение которого покупатель имеет право вести лесозаготовки.
      В государственных лесах Швеции попенная плата не представляет собой фактических выплат за лес на корню в размере затрат на его выращивание и определяется как разность стоимости заготовленного леса и расходов на валку и доставку леса к автомобильной дороге или железнодорожной станции. Средняя такса за 1 куб. м обезличенной древесины составляет в этой стране 22 долл. и попенная плата превышает затраты на лесовыращивание более чем в 4 раза.
      В зависимости от экономических условий страна разделена на 4 района, размер попенной платы по которым значительно меняется в пропорции: 1-й район – 1; II – 1,6; III – 2,5; IV – 2,9. Указанные коэффициенты роста попенной платы в Швеции по экономическим районам от первого района к четвертому аналогичны росту попенной платы в России с Севера на Юг.
      Формирование цен на лес на корню определяется общим состоянием экономики капиталистических стран, соотношением спроса и предложения на древесину. В условиях, когда экономика США и других стран капиталистического мира переживает периодические кризисы, нарушается и относительно сложившаяся система ценообразования. Энергетический кризис, разразившийся в США с 1973 г., привел тогда к резкому росту потребления дров для топления. В настоящее время попенная плата составляет 30% от стоимости заготовленной древесины.
      В последние годы в развитых капиталистических странах наблюдается значительный, хотя и неравномерный, рост попенной платы, вызванный систематическим истреблением лесов. Так, в США средняя стоимость 1 куб. м хвойного пиловочника на корню возросла с 8,6 долл. в 1950 г. до 17,7 долл. в 1972 г. и 27,9 долл. в 1985 г., а стоимость балансов поднялась за тот же период с 2,22 до 5,05 и 6,7 долл. В дальнейшем эта тенденция сохраняется, поскольку потребности в древесине за последнюю четверть этого века для ряда промышленно развитых стран и районов (США, Канада, Западная Европа, Япония) возрастут в 1,5–2 раза.
      И в США, и в Канаде, и в странах Европы отмечается нарастающий дефицит древесины, особенно для лесопильного и фанерного производств. В США в связи с этим намечается возрастающий импорт крупномерной древесины для этих целей: если в 1952 г. доля ввозимого сырья здесь составляла 26%, то в 1970 г. 56% и к 2000 г. достигнет 60% [40]. По расчетам американских экономистов, цены на хвойные пиломатериалы и бумагу (картон) вырастут к 2000 году соответственно на 50–60% и 15–20% по отношению к уровню 1970 г.
      Попенная плата в США опережает рост цен на заготовленную древесину и изделия из нее и к 2000 году возрастет в 2 раза.
      Средняя величина попенной платы в Швеции за 16 лет выросла по сравнению с США незначительно: с 23,72 шв. крон/ куб. м в 1955 г. до 25,88 шв. крон/куб, м в 1971 г. В последние годы этот рост шел более интенсивно и достиг в 1984 г. 22,2 долл/куб. м [11, с. 173].
      Во Франции попенная плата оставалась в послевоенный период на относительно устойчивом уровне и росла незначительно. Но с 1973 г. обстановка на лесном рынке резко изменилась. Только за указанный год она выросла за сортименты всех пород в 2 раза. Сложившаяся обстановка оценивается французскими специалистами по-разному. Одни считают, что цены на торгах являются спекулятивными, искусственно взвинченными. Согласно другой точке зрения, рост цен на древесину на корню связан с обстановкой на международном лесном рынке. Ряд экспертов объясняет это вторжением на французский рынок партнеров по Общему рынку, которые, обладая более устойчивой валютой, соглашаются покупать лес на корню по повышенным ценам.
      Столкнувшись с проблемой дефицита древесины как фактора, определяющего уровень попенной платы, в ряде капиталистических стран (Финляндия, Швеция, США, Канада, Япония, Англия и др.) стали заниматься прогнозированием спроса и предложений на лесные ресурсы и построением национальных долгосрочных программ по расширенному воспроизводству лесных ресурсов [40].
      Имеющиеся сведения о механизме формирования попенной платы в капиталистических странах свидетельствуют о неустойчивости цен на лес на корню. Система ценообразования направлена на максимальное извлечение из лесов ренты и не всегда стимулирует рациональное лесопользование.
      Изложенные выше методы формирования лесных такс содержат ряд положительных моментов, которые в той или иной мере, с учетом особенностей нашей страны, нашли отражение в разрабатываемой нами методике построения лесных такс. Это в частности касается возмещения лесными таксами затрат на лесовосстановление и учета дифференциального дохода.
     
      Основные принципы формирования базовых лесных такс
     
      Основные принципы построения лесных такс определяются задачами, стоящими перед отраслью лесного хозяйства и народным хозяйством в целом, в связи с чем цены на продукцию или любой объект пользования строятся с учетом специфических для каждой отрасли народного хозяйства ценообразующих факторов.
      Специфика лесного хозяйства состоит в том, что древесина на корню как объект ценообразования является результатом деятельности человека и природы. Поэтому зависимость производительности труда на лесозаготовках и в лесовыращивании от природных условий является важным ценообразующим фактором в лесном хозяйстве. С учетом этих особенностей, а также тех функций, которые лесные таксы должны выполнять, формируются и основные принципы ценообразования в отрасли: возмещаемость попенной платой расходов на лесное хозяйство, обеспечение лесному хозяйству определенной величины прибыли и полный учет дифференциального дохода (ренты). Такой подход принимается и при оценке других природных ресурсов.
      Обеспечение самоокупаемости лесного хозяйства – основное требование при составлении лесных такс. Расходы на лесное хозяйство складываются из суммы операционных затрат и амортизационных отчислений на основные фонды лесного хозяйства и должны возмещаться попенной платой и суммой мобилизации собственных средств.
      Лесные таксы должны учитывать изменение затрат на лесовыращивание по районам страны, вызванное разным уровнем интенсивности ведения лесного хозяйства. Себестоимость выращивания древесины не определяется. Эта себестоимость нами определена по восстановительной себестоимости, под которой понимаются текущие ежегодные операционные затраты на лесное хозяйство и амортизационные отчисления на основные фонды лесного хозяйства.
      По районам страны сохраняется разрыв между рубкой леса и его восстановлением. В одних районах лесовосстановление отстает от рубки леса, в других (в основном южных) – лес восстанавливается на площади большей, чем рубится. В некоторых районах Севера, Сибири и Дальнего Востока лес частично восстанавливается естественным путем без содействия человека и искусственное восстановление на всей площади рубок леса проводить не требуется. По данным научного отчета Всероссийского научно-исследовательского института лесоводства и механизации лесного хозяйства (ВНИИЛМ) за 1977 г. [35, с. 19] в северной тайге 30% лесных культур и 70–80% естественного возобновления главной породы к площади сплошных рубок характеризует нормальное положение. Процесс простого воспроизводства на данной площади осуществляется нормально.
      Следовательно, в состав затрат по лесовыращиванию входят затраты по созданию лесных культур и содействию естественному возобновлению на площади текущих рубок леса, расходы на восстановление и разведение леса вне площади текущих рубок. Однако расходы по восстановлению леса на пустующих землях, землях государственного земельного фонда, включая необлесенные в прошлые годы вырубки (вне площади текущих рубок леса), неправомерно относить к объему древесины, заготовленной в данном лесотаксовом поясе. В некоторых районах страны объем лесозаготовок незначительный, а лес разводится на большей площади. В себестоимость выращивания леса на корню должны входить затраты, которые связаны с его восстановлением и ограничиваются площадью данной рубки леса. Если лес рубится на площади 10 га, то нельзя определять его себестоимость по затратам на разведение леса на площади 500 га.
      Затраты на восстановление и разведение леса сверх площади сплошных рубок не имеют прямого отношения к затратам на поддержание процесса простого воспроизводства леса на корню, осуществляемого на той же площади, они связаны с расширением покрытой лесом площади и относятся к затратам на расширенное воспроизводство. Затраты на расширение площади лесов являются по природе своей капитальными вложениями [40, с. 78], поэтому равно относятся к древесине, заготовленной во всех поясах страны.
      Рассматриваемые нами затраты носят кратковременный характер и проводятся в течение одного года или нескольких лет. Включение этих затрат в состав таксы данного района приведет к непомерному ее повышению по сравнению с таксой на древесину на корню смежного района. Объем лесозаготовок незначителен, а затраты по лесовыращиванию велики. Например, затраты на восстановление леса сверх площади сплошных рубок составили на 1 куб. м лесозаготовок (при стабильных ценах, до перехода к рынку) в Калмыцкой республике – 180 руб., в Ростовской области – 34,27 руб., в Курской области – 14,28 руб., в Тамбовской – 1,19 руб. Такие затраты не подлежат учету в себестоимости выращивания поступающего в рубку леса на корню в данном районе.
      Известно, что расширение производственных мощностей осуществляется за счет централизованных источников финансирования или прибыли предприятия. Прибыль на капитальные вложения предусмотрена в цене. Аналогично этому затраты на расширенное воспроизводство в лесном хозяйстве (на восстановление леса сверх площади сплошных рубок леса), связанное с увеличением продуцирующей лесной площади, следует предусмотреть в равной мере в таксе каждого кубометра отпуска леса на корню. Лесная такса должна включать в себя все элементы цены, расходы по ведению расширенного воспроизводства и т. д.
      Затраты на расширенное воспроизводство в целом по стране получаются суммированием таких затрат по областям, краям и республикам. Непосредственная разница между восстановлением леса искусственным путем (посевом, посадкой и содействием естественному возобновлению) и его рубкой в целом по России не выражает фактической величины расширенного воспроизводства, так как при таком вычитании искусственное лесовосстановление сверх площади текущих рубок леса, осуществляемое в отдельных районах, относится к простому воспроизводству, поскольку оно засчитывается вместо естественного возобновления леса в других районах страны. Например, в Псковской области в границах текущих рубок леса в 1993 г. на площади 3,8 тыс. га государственных лесов осуществлено искусственное возобновление леса, а на площади 0,6 тыс. га произошло естественное его возобновление. Одновременно в Ленинградской области восстановлено леса сверх площади сплошных рубок леса в размере 4,1 тыс. га. Неправомерно относить в Ленинградской области искусственное восстановление леса сверх площади рубок леса в размере 4,1 тыс. га к простому воспроизводству. Естественное возобновление должно учитываться в составе общей площади лесовосстановления. Следовательно, в Псковской области вся площадь лесовосстановления (искусственного – 3,8 тыс. га и естественного – 0,6 тыс. га) будет отнесена к простому воспроизводству, а в Ленинградской области вся площадь лесоразведения сверх площади текущих рубок леса составит расширенное воспроизводство. Примером расширенного воспроизводства лесных ресурсов в Гослесфонде России и отдельных районов могут служить данные табл. 11.
     
      Таблица 11
     
      Соотношение площадей сплошных рубок леса и лесовосстановления в целом по стране и отдельным областям в Гослесфонде России за 1994 год, га
     

Административные районы

 

 

Рубки главного пользования и лесовосстановительные рубки

Лесные культуры

 

 

Содействие естественному возобновлению

Итого искусственного восстановления (гр. 3 + гр. 4)

всего

в том числе сплошно-лесосечные

Россия

764225

645914

389280

1106328

1495608

в том числе области:

 

Вологодская

25164

23556

10594

30964

41558

Курская

122

122

600

600

Иркутская

52010

51413

16904

99767

116671


     
      Но не все затраты на восстановление и разведение леса сверх площади сплошных рубок имеют непосредственное отношение к расширенному воспроизводству лесного хозяйства на территории гослесфонда. Значительная часть лесных культур создается на нелесных площадях сельскохозяйственных формирований. Так, в 1991 г. в России такие культуры созданы на площади 33,7 тыс. га, в 1992 г. – 30,5 тыс. га и в 1994 г. – 25,3 тыс. га на оврагах, балках, песках и других неудобных землях (исключая создание полезащитных полос). А лесовосстановление в лесах государственного значения составило в-1991 г. – 815,0 тыс. га, в 1992 г. – 890,98 тыс. га, а в 1994 г. – 1495,6 тыс. га.
      Затраты на лесоразведение вне площади гослесфонда должны возмещаться аналогично возмещению затрат на создание полезащитных лесных полос – за счет сельскохозяйственных формирований.
      Лесные таксы должны обеспечивать возмещение фактических расходов на выращивание леса и образование прибыли (20-25%).
      Известно, что леса России, занимая большие пространства, отличаются разнообразием породного состава, условий произрастания и эксплуатации. Условия произрастания (комплекс действующих на растительность природных, климатических и почвенно-гидрологических факторов) обусловливают различия в росте и развитии деревьев.
      При построении лесных такс следует учитывать особенности природных и экономических условий. Вследствие их разнообразия в лесном хозяйстве, как и в отраслях добывающей промышленности и в сельском хозяйстве, образуется дифференциальный доход (рента) по местоположению, качеству и плодородию. Дифференциальная рента является непременной составляющей мировых цен на топливо, энергию и сырье (к которому относится и древесина). Когда ресурсосбережение в условиях хозрасчета и самофинансирования лесного хозяйства (и тем более в условиях рынка) превращается в главный источник экономического роста, сохранение "безрентных", а значит и низких лесных такс становится экономической предпосылкой растительного использования лесных ресурсов. Введение в хозрасчетные (рыночные) отношения полновесной цены на древесные ресурсы будет способствовать рациональному их использованию, а учет в лесных таксах дифференциальной ренты и ее изъятия в доход государства обеспечат выравнивание экономических условий работы лесозаготовительных предприятий. Выравнивание рентабельности – одна из наиболее актуальных проблем ценообразования в лесозаготовительной промышленности и лесном хозяйстве. Для ее решения, по мнению Е.Я. Липина [33], прежде всего необходимо более точно и полно учитывать в ценообразовании природно-географический фактор через попенную плату, включаемую в себестоимость заготовленной древесины. Под полновесной ценой понимается такой уровень попенной платы, при котором лесозаготовителю будет невыгодно допускать потери древесины при лесозаготовках и транспортировке.
      Действующие до 1992 г. лесные таксы были построены на уровне расходов на лесное хозяйство и, естественно, не содержали всего дифференциального дохода (ренты). При построении лесных такс к затратам на лесное хозяйство необходимо дополнительно прибавлять дифференциальный доход.
      Особенности природных и экономических условий находят свое выражение в том, что древостой, поступающие в рубку, отличаются по многим признакам и находятся на разном расстоянии от путей транспорта и складов.
      Условия и расстояния вывозки древесины влияют на результаты хозяйственной деятельности лесозаготовительных предприятий: с увеличением этого расстояния транспортные расходы и, следовательно, ее себестоимость, повышаются. Разница в затратах по вывозке древесины к транспортным путям общего пользования составляет дифференциальный доход (ренту) по местоположению. Поэтому при оценке дре-востоев необходимо учитывать не только их качество, но и местоположение, т. е. расстояние до конечных пунктов вывозки древесины и потребления. С увеличением расстояния вывозки древесины таксы должны понижаться. Между снижением лесных такс и ростом транспортных издержек в этом случае должна сохраняться прямая зависимость. Если прямые расходы на вывозку древесины на расстояние, например 47 км (по нашим подсчетам) повышаются в 5 раз, то соответственно в 5 раз должны снижаться и таксы.
      Выравнивание рентабельности предприятий в зависимости от расстояния вывозки древесины с лесосек должно осуществляться не за счет дифференциации по разрядам затрат на выращивание леса (как это практиковалось до 1992 г.), а путем увеличения последних в каждом разряде на величину дифференциальной ренты по местоположению.
      Потребность в древесине и возможность удовлетворения спроса по районам страны не совпадают с исторически сложившимся территориальным размещением лесов, характеризующимся понижением лесистости в направлении с севера на юг. Так, на Севере, в Сибири и на Дальнем Востоке древесины заготавливается больше, чем ее требуется для данных регионов. В южных же районах страны объем лесозаготовок незначителен1 [В 1992 г. заготовлено древесины: в Архангельской области – 16,3 млн. куб. м, а в Белгородской области – 85 тыс. куб. м.], и потребность в древесине удовлетворяется в основном за счет завоза ее из лесоизбыточных районов. Основная масса древесной продукции транспортируется в южном направлении, и ее себестоимость в местах потребления соответственно повышается. Поэтому лесные таксы должны стимулировать вовлечение в эксплуатацию отдаленных лесных массивов и содействовать продвижению лесозаготовок в лесоизбыточные и глубинные пункты, удаленные от транспортных путей. Естественно, что ценность древостоев, удаленных на значительное расстояние от мест потребления, значительно ниже подобных древостоев, расположенных ближе к местам потребления. Перечисленные обстоятельства обуславливают необходимость дифференциации лесных такс по поясам.
      Известно, что действующие в разные периоды лесные таксы дифференцируются по поясам с учетом комплекса таких экономико-географических факторов, как лесистость, плотность населения, степень обеспечения лесом, транспортные пути (железные дороги и крупные сплавные реки), тяготение лесов к промышленным центрам, соотношение между вывозом и завозом древесины в данном районе, географическое положение района, рельеф местности, перспективы развития лесной промышленности в ближайшее пятилетие и группа лесов.
      Известно также, что в лесодефицитных районах отдельным потребителям выделяются как древесина в заготовленном виде (местной заготовки и привозная), так и лес на корню и притом не только в местных лесах, но и в отдаленных лесоизбыточных районах. В условиях рынка потребители сами приобретают такую древесину. Приобретение древесных сортиментов в заготовленном виде или посредством самозаготовок не обеспечивает их потребителям равной прибыли, поскольку в стоимости заготовленной древесины имеет место неравенство издержек производства. Значительное влияние в этом случае оказывают транспортные расходы.
      Представляется целесообразным посредством лесных такс выровнять рентабельность предприятий, получающих древесину из разных источников. Такая необходимость вытекает из характера процесса производства древесины и одинаковой потребительной стоимости продукции, получаемой потребителями из разных источников. При отпуске древесины на корню, как и при отпуске заготовленной древесины, преследуется одна цель – обеспечение потребителей лесоматериалами. И хотя лес на корню отпускается потребителям по лесным таксам, процесс производства древесных сортиментов от этого не меняется и заготовленные сортименты реализуются по единым оптовым, а сейчас рыночным, ценам независимо от того, выполняются ли отдельные операции процесса производства древесины одними и теми же или разными исполнителями. Потребители древесины в этом случае сами доводят производство продукции до готового к потреблению состояния.
      Круглые лесоматериалы желательно отпускать потребителям в заготовленном виде, а не на корню. Но когда потребитель, исключая леспромхозы, сам осуществляет заготовку,. трелевку, вывозку из лесосек и транспортировку древесины, ему следует возместить понесенные им затраты на доведение процесса производства до стадии завершения.
      Это практикуется при отпуске древесины рубок промежуточного пользования. Указанная древесина в лесодефицитных районах распределяется местными органами власти среди местных потребителей в заготовленном виде. В лесоизбыточных районах такая древесина реализуется лесхозами самостоятельно. Но многие лесхозы своими силами не обеспечивают своевременную ее заготовку. Поэтому местные потребители древесины нередко ведут ее заготовку (особенно дров) самостоятельно на делянках промежуточного пользования. Им в этом случае возмещаются затраты на заготовку (путем начисления заработной платы рабочим предприятия-потребителя на самозаготовку), а заготовленные сортименты оцениваются и отпускаются тем же потребителям по оптовым, а в условиях рынка – по договорным ценам.
      При отпуске леса на корню по главному пользованию потребителям также возмещаются затраты на доведение процесса производства до получения готовой продукции. Это достигается понижением лесных такс по сравнению с оптовыми или договорными ценами.
      Если древесина на корню выделяется потребителю в лесоизбыточном районе, то она должна оцениваться по разнице между оптовой (рыночной) ценой промышленности лесодефицитного района и затратами на лесоэксплуатацию и транспортировку древесины. Другое дело, когда потребитель получает лесосечный фонд или заготовленную древесину в своем районе и освобожден от необходимости транспортировать древесину на дальнее расстояние. В этом случае таксы на древесину на корню следует строить с учетом возмещения потребителю затрат на заготовку, трелевку и частично вывозку древесины и отразить в них разницу в издержках производства ввозимой древесины и древесины местной заготовки.
      Перечисленный комплекс факторов, учитываемый в поясных ценах (таксах), находит свое концентрированное выражение в изменении уровня общественной стоимости потребляемой в лесодефицитном районе древесины.
      Задача выравнивания рентабельности предприятий, получающих древесину из разных источников (привозную и местной заготовки), решается регулированием среднего уровня лесных такс по поясам с помощью поясных надбавок (скидок), формирование которых подробно описано ниже. Учет в лесных таксах дифференциального дохода по местоположению (включая поясную надбавку, скидку) позволит привести к единому эквиваленту влияние географического фактора.
      Изменение такс по разрядам и поясам связано в основном с наличием в лесном хозяйстве дифференциального дохода по местоположению. Но насаждения различаются между собой не только по местоположению; запас насаждений из различных пород (например, дуба и осины) не равноценен еще и по качеству. Изменение породного состава с 100% хвойных до 100% лиственных пород приводит к изменению рентабельности с +13,6 до 23% [59].
      Зависимость продуктивности и качества выращиваемых насаждений от таких природных факторов, как естественное плодородие почв, определяет возникновение в лесном хозяйстве и дифференциального дохода по плодородию. Поскольку в таксах предусмотрено учитывать дифференциальный доход по местоположению, то правомерно учитывать в их составе и дифференциальный доход по плодородию. Изъятие его в доход государства с помощью лесных такс позволит выровнять рентабельность лесозаготовительных предприятий и будет способствовать усилению вовлечения в производственную эксплуатацию насаждений мягколиственных пород и худших классов бонитета и товарности. Повышенные лесные таксы за древесину на корню более ценных древесных пород и лучшего качества будут стимулировать выращивание таких насаждений, которые позволят повысить доходность лесного хозяйства и полнее удовлетворять потребности народного хозяйства в качественной древесине.
      Стимулирующее влияние на улучшение лесных ресурсов, полное и рациональное их использование и выравнивание условий работы лесозаготовительных предприятий достигается также дифференциацией такс с помощью коэффициентов по древесным породам, деловой древесине, в зависимости от категорий ее крупности, и дровам. Такая дифференциация должна строиться с учетом особенностей производства, распределения и потребления древесной продукции, ее качества и других ценообразующих факторов.
      Коэффициенты для дифференциации такс по древесным породам и категориям крупности деловой древесины определяются на основе затрат на их выращивание и дифференциального дохода. Соотношение коэффициентов деловой и дровяной древесины устанавливается по их потребительной стоимости. С помощью коэффициентов исчисляется относительная стоимость древесины на корню в зависимости от ее качества.
      Расчет лесных такс сводится к определению средней таксы за обезличенный кубометр древесины и коэффициентов ее дифференциации по поясам, древесным породам, категориям крупности деловой древесины и дровам. Исчисление лесных такс на древесину на корню, состоящих из трех элементов: издержек производства, процента прибыли и дифференциального дохода (ренты), характеризуется своеобразной особенностью методического и технического характера. При этом лесные таксы нельзя рассматривать как раз и навсегда установленные на чрезмерно длительный период. Периодически их необходимо корректировать, учитывая происходящие количественные и качественные изменения в отпуске леса, затратах на лесное хозяйство, изменения в экономической жизни, прогресс науки и техники.
      Изложенные основные принципы построения лесных такс конкретизированы и развиты выводом математических формул по определению общественно необходимых затрат по воспроизводству леса, дифференциального дохода (ренты), расчетами коэффициентов дифференциации такс по ценообразующим параметрам и других данных. Это приведет к повышению такс, вследствие чего:
      значительно возрастет для лесозаготовителей ценность древесины на корню;
      будут созданы условия для получения средств, направляемых на развитие лесного хозяйства;
      сузится сфера неэффективного употребления древесины.
     
      Определение средней лесной таксы
     
      Такса за 1 куб. м обезличенной древесины, построенная с учетом основных принципов ее формирования, определяется по следующей общей формуле
      Тср = С + П+Д, (1)
      где: Тср – средняя такса за 1 куб. м обезличенной древесины на корню;
      С – себестоимость выращивания древесины, руб/куб. м;
      П – прибыль, руб/куб. м;
      Д – дифференциальный доход, руб/куб. м. Обезличенную лесную таксу желательно первоначально исчислять для каждой области, края, республики или пояса. Это облегчает расчеты и обеспечивает большую точность определения коэффициентов для дифференциации средней таксы по поясам страны. В целом по стране исчисляется в этом случае средневзвешенная такса.
     
      Определение отраслевой (поясной) себестоимости выращивания обезличенной древесины на корню
      Известно, что на выращивание и сохранение лесов в нашей стране ежегодно затрачивается во все возрастающем размере средства. Указанное обстоятельство выдвигает на первый план проблему стоимостного учета растущего леса. Однако на практике до сих пор производится только натуральный учет лесов при лесоустройстве, себестоимость выращивания древесины на предприятиях не определяется; стоимостный, денежный учет растущего леса не ведется. Оценивается по таксам лишь отпускаемая древесина на корню. Это обусловлено тем, что в нашей стране леса относятся к природным ресурсам, а объектом планирования являются сами природоохранные мероприятия, но не их результаты. Сейчас крайне важно научиться измерять общественную полезность природной среды как потребительного блага, и леса не являются исключением [16].
      Вопрос о необходимости определения себестоимости выращивания леса на корню ставился еще с 1941 г. Ф. Т. Костюковичем [27].
      Отсутствие стоимостного учета древесины на корню не исключает необходимости правильного учета в лесных таксах затрат на выращивание древесины. При рассмотрении процесса выращивания леса как непрерывного и рубки главного пользования как ежегодно повторяющейся оценка леса на корню по текущим затратам на лесное хозяйство, по мнению Ф. Т. Костюковича [28], отражает себестоимость выращивания 1 куб. м древесины.
      Решение этой задачи облегчается тем, что капитальные вложения в лесное хозяйство, операционные затраты и рубка леса осуществляются в относительно равной пропорции по годам пятилеток.
      Методики исчисления восстановительной себестоимости выращивания леса на корню разработаны в довольно приемлемой форме рядом авторов: И. В. Ворониным [ 12], М. М. Трубниковым [63] и др.
      Базой для лесных такс служат не индивидуальные, а общественно необходимые затраты труда в целом по отрасли. В качестве этих затрат принимаются действительные издержки лесовыращивания (термин О. Н. Анцукевича [6]), под которыми следует принимать текущие ежегодные расходы на лесное хозяйство, состоящие из операционных затрат и амортизационных отчислений по основным фондам лесного хозяйства1 [В настоящее время амортизация на основные фонды лесного хозяйства не начисляется].
      Расходы на лесное хозяйство, учитываемые в лесной таксе, определяются по формуле
      Р = О3+Ам, (2)
      где Р – расходы на лесное хозяйство;
      О3 – операционные затраты;
      Ам – амортизационные отчисления по основным фондам лесного хозяйства.
      При расчете лесной таксы следует учесть, что в ряде административных районов выполняется большой объем лесокультурных работ сверх площади текущих рубок леса: на не возобновившихся ранее лесосеках, осушенных площадях, не покрытой лесом лесной площади, нелесных площадях гослесфонда и сельскохозяйственного землепользования. Затраты на восстановление и разведение леса сверх площади текущих рубок леса, связанные с расширенным воспроизводством, входят в состав операционных затрат, но их не следует смешивать с затратами на поддержание процесса простого воспроизводства древесины на корню. Поэтому расходы на лесное хозяйство распределяются на основные и дополнительные
      Р = Ро + в, (3)
      где Ро – основные издержки на ведение лесного хозяйства (расходы на лесное хозяйство, за вычетом затрат на восстановление и разведение леса сверх площади сплошных рубок леса);
      в – дополнительные издержки на лесное хозяйство (затраты на восстановление и разведение леса сверх площади сплошных рубок леса).
      Следовательно, расходы на лесное хозяйство складываются из операционных затрат и амортизационных отчислений и делятся на основные и дополнительные.
      Для последующих расчетов необходимо из формулы (3) вывести основные издержки на лесное хозяйство:
      Ро = Р- в (4)
      Установленная по данной формуле доля расходов в лесном хозяйстве на кубометр древесины на корню превышает себестоимость ее выращивания на сумму мобилизации собственных средств. В процессе лесовыращивания проводятся рубки промежуточного пользования с получением ликвидной (товарной) древесины, которая реализуется по оптовым ценам. Часть посадочного материала отпускается на сторону за плату, поступают средства за работы по полезащитному лесоразведению и за услуги на строну. Следовательно, расходы на лесное хозяйство частично возмещаются суммой мобилизации собственных средств. Затраты на производство данной продукции и услуг на сторону следует вычитать из суммы расходов на лесное хозяйство, как возмещаемые от реализации товарной продукции. Но там, где эти затраты не возмещаются выручкой от реализации продукции и услуг на сторону (а это наблюдается, за редким исключением, повсеместно и по всем видам работ), из расходов на лесное хозяйство вычитается стоимость возвратных отходов – сумма мобилизации собственных средств. Если из расходов на лесное хозяйство не вычесть сумму мобилизации собственных средств, то это приведет к завышению стоимости древесины на корню.
      Уменьшенные расходы на лесное хозяйство на сумму мобилизации собственных средств составляют основные издержки по выращиванию древесины.
      к = Р – в - м; или к = Ро - м, (5)
      где к – основные издержки по выращиванию древесины1 [Понятие "основные издержки по выращиванию древесины (к)" отличается от понятия "основные издержки на ведение лесного хозяйства (Ро)". По составу эти издержки различаются на сумму мобилизации собственных средств. Первые – это непосредственные затраты, связанные с выращиванием древесины, вторые связаны с ведением лесного хозяйства в широком плане] (расходы на лесное хозяйство за вычетом затрат на восстановление и разведение леса сверх площади сплошных рубок леса и суммы мобилизации собственных средств);
      м – сумма мобилизации собственных средств (или себестоимость продукции, если ее реализация обеспечивает возмещаемость издержек производства и дает прибыль).
      Затраты на восстановление и разведение леса сверх площади текущих рубок леса распадаются на затраты, производимые в гослесфонде и вне площади гослесфонда: на облесение оврагов, балок, песков и других неудобных земель2 [Затраты на создание полезащитных лесных полос остаются в составе основных затрат и возмещаются соответствующей частью суммы мобилизации собственных средств].
      в = г + вс, (6)
      где г – затраты на восстановление и разведение леса сверх площади текущих сплошных рубок в гослесфонде;
      вс – затраты на разведение леса вне площади гослесфонда: на облесение оврагов, балок, песков и других неудобных земель, учитываемые в затратах на лесное хозяйство.
      Работы по облесению оврагов, балок, песков и других неудобных земель, выполняемые вне площади гослесфонда, должны финансировать за счет средств заказчика (землепользователя). Поэтому расходы на это облесение лесными таксами не должны учитываться.
      Затраты на восстановление и разведение леса сверх площади сплошных рубок в гослесфонде данного района (г), относящиеся к затратам на расширенное воспроизводство в лесном хозяйстве и имевшие место по отдельным областям, краям и республикам в составе РФ, суммируются в целом по стране и распределяются по районам (поясам) пропорционально затратам на выращивание древесины.
      Действительные издержки лесовыращивания (С) состоят из основных (к) и дополнительных (гср) издержек. Поскольку расходы на ведение лесного хозяйства возмещаются путем реализации древесины на корню, то частное от деления суммы этих расходов на объем отпуска леса на корню по главному пользованию, лесовосстановительным и прочим рубкам1 [За вычетом прочих рубок в зоне затопления] составляет величину действительных издержек на лесовыращивание.
     
      где С – действительные издержки на выращивание 1 куб. м древесины;
      гср – дополнительные издержки по выращиванию древесины2 [Дополнительные издержки на ведение лесного хозяйства (в) и дополнительные издержки по выращиванию древесины (гср) имеют разное содержание].
      С увеличением или уменьшением объема лесозаготовок соответственно увеличиваются или уменьшаются расходы на лесное хозяйство. Чем больше окажется площадь вырубок, тем больше потребуется средств на восстановление леса и отвод лесосечного фонда. Здесь имеется прямая связь между рубкой леса и его восстановлением, между объемом лесозаготовок и расходами на лесное хозяйство.
      Распределение расходов на лесное хозяйство, на объем расчетной лесосеки, вместо фактического объема лесозаготовок, приведет к несоответствию попенной платы расходам на лесное хозяйство. В ряде лесодефицитных районов размер рубок может превышать расчетную лесосеку, что ведет к занижению такс. При перерубе расчетной лесосеки уменьшается доля расходов на лесное хозяйство на кубометр заготовленной древесины. И, наоборот, при недорубе расчетной лесосеки таксы повышаются, поскольку увеличивается доля расходов на лесное хозяйство на 1 куб. м лесозаготовок.
      По формуле Ф. Т. Костюковича [27] расходы на лесное хозяйство, уменьшенные на сумму мобилизации собственных средств, делятся на расчетную лесосеку главного пользования.
      Формулой построения лесных такс, предложенной Н. П. Анучиным, предусматривается деление расходов на ведение лесного хозяйства на средний годичный прирост насаждений.
      Очевидно, что таксы, построенные на этой основе, не возместят расходов на лесное хозяйство, поскольку в целом по стране годичный прирост древесины превышает размер отпуска леса на корню. Годичный общий прирост древесины составляет по России 830 млн куб. м (1993 г). Было заготовлено по главному пользованию в 1993 г. 174,2 млн куб. м.
      То же самое можно сказать и относительно расчетной лесосеки, составившей в 1993 г. 529,6 млн куб. м.
      Подставив в формулу (1) выражение, полученное для С, получим:
     
      Затраты на выращивание обезличенной древесины подлежат распределению по древесным породам, что и предусматривается в следующем разделе1 [Распределение затрат на лесное хозяйство по древесным породам необходимо в целях определения дифференциального дохода (ренты) по плодородию и исчислении коэффициентов для дифференциации такс по породам].
     
      Определение себестоимости выращивания отдельных древесных пород
     
      Период созревания древесины колеблется от 40 до 120 лет и более в зависимости от породы насаждений и условий местопроизрастания. Этим объясняется и разные возрасты рубок (у твердолиственных пород – 100 лет и более, у хвойных – 80–120, у мягколиственных – 40–70 лет). Долевое участие древесных пород в искусственном возобновлении леса неодинаково. Так, мягколиственные породы и граб искусственным путем, как правило, не разводятся и в процессе их выращивания уход за ними менее интенсивен. Поэтому затраты на выращивание древесных пород до возраста их рубки различны. Для мягколиственных пород они ниже, чем для хвойных и твердолиственных.
      Поскольку на практике себестоимость выращивания древесных пород не определяется, расходы на лесное хозяйство можно распределить по древесным породам с помощью коэффициентов.
      Коэффициенты, отражающие соотношение расходов на лесное хозяйство по древесным породам, рассчитываются тремя способами:
      по удельному весу лесозаготовок;
      по удельному весу прироста древесины;
      комбинированным способом.
      Для исчисления коэффициентов из операционных расходов выделяются затраты на восстановление и разведение леса, состоящие из прямых (затраты на лесокультурные работы и расход семян) и косвенных (соответствующая доля общепроизводственных затрат и затрат на содержание лесхоза). Затраты на восстановление и разведение леса распределяются по древесным породам пропорционально их удельному весу в составе лесных культур и относятся ко всему объему заготовленной древесины данной породы (площадь рубок леса по древесным породам, а также объем лесозаготовок определяют размер лесовосстановления (табл. 12, 13).
     
      Таблица 12
      Распределение операционных затрат на две группы расходов (1990 г.), тыс. руб.
     

Всего затрат на лесное хозяйство

В т. ч. затраты на лесовосстановление (прямые и косвенные)

Затраты на лесное хозяйство за вычетом затрат на лесовосстановление

976047

271071 (27,8%)

704976 (72,2%)

     
      Таблица 13
      Распределение затрат на лесовосстановление по древесным породам (1990 г.)
     

Древесные породы

Удельный вес в лесных культурах, %

Расходы на лесовосстановление

Сосна

34,9

111957

Кедр

6,0

19248

Лиственница

3,1

9945

Ель, пихта

34,5

110674

Дуб, ясень, клен

3,7

11869

Бук

0,4

1283

Береза, ольха черная, граб, ильмовые, липа

1,4

4491

Осина, ольха белая, осокорь, тополь

0,5

16,04

Итого

84,5

2710711


      1 Эта сумма распределена по древесным породам по их удельному весу в произведении.
      Такой порядок распределения затрат на лесовосстановление по древесным породам, принимается для всех способов исчисления коэффициентов. Остальные операционные расходы распределяются по древесным породам следующим о разом. При исчислении коэффициентов по удельному весу лесозаготовок эти расходы распределяются по древесным породам пропорционально возрасту их рубки и объему заготовки. Объем заготовленной древесины по каждой древесной породе умножается на возраст ее рубки. Полученное для каждой породы произведение указанных величин выражается в процентах от суммы произведений (табл. 14). По этим процентам остальные операционные затраты распределяются по древесным породам и суммируются с затратами на лесовосстановление. Частное от деления полученной по каждой породе суммы на соответствующий объем лесозаготовок составляет размер затрат на выращивание 1 куб. м древесины данной породы (табл. 15). Последующим делением полученных для каждой древесной породы частных на средневзвешенные затраты на выращивание 1 куб. м древесины находим коэффициенты для древесных пород.
      При определении коэффициента для дуба принят средневзвешенный возраст рубок высокоствольного и низкоствольного хозяйства1 [К высокоствольному хозяйству относятся искусственные насаждения, а к низкоствольному – деревья естественного происхождения]. Для высокоствольного хозяйства он составляет 100 лет, для низкоствольного – 56 лет.
      Метод определения коэффициентов для древесных пород по удельному весу прироста древесины предусматривает распределение операционных затрат, за вычетом затрат на лесовосстановление, по приросту древесных пород. Затем определяются операционные затраты в целом на кубометр прироста древесины по каждой древесной породе и исчисляются коэффициенты (табл. 16).
      При комбинированном способе определения коэффициентов для древесных пород операционные затраты на лесное хозяйство, за вычетом затрат на лесовосстановление, отнесены на покрытую лесом площадь по древесным породам, а через нее – на прирост древесины. Операционные затраты на лесовосстановление отнесены на объем лесозаготовок. Определяются суммарные затраты на выращивание 1 куб. м древесины по древесным породам, независимо от того, относится ли эта древесина к приросту или объему лесозаготовок. Коэффициенты для древесных пород определяются по суммарным затратам на выращивание 1 куб. м обезличенной древесины по древесным породам, ее удельному весу общего среднего прироста или объема лесозаготовок. В обоих случаях получаются идентичные коэффициенты (табл. 17).
     
      Таблица 14
      Распределение операционных затрат, за вычетом затрат на лесовосстановление по древесным породам (1990 г.)
     

Древесные породы

Возраст рубки, лет

Объем заготовки, тыс. куб. м

Произведение объема заготовки на возраст рубки (гр.2 х гр. 3)

Удельный вес произведения, %

Операционные затраты, за вычетом затрат на лесовосстановление, тыс. руб.

1

2

3

4

5

6

Сосна

110

88265

9709150

27,7

195278

Кедр

140

3984

557760

1,59

11209

Лиственница

122

32362

3948164

11,27

79451

Ель, пихта

123

120914

14872422

42,45

299262

Дуб, ясень, клен

84

5414

454776

1,3

9165

Бук

141

1340

188940

0,54

3807

Береза, ольха черная, граб, ильмовые, липа

 

60

51462

3087720

8,81

62108

Осина, ольха белая, осокорь, тополь

54

41119

2220426

6,34

44696

Итого

 

344860

35039358

100

7049761


      1 Эта сумма распределена по древесным породам по их удельному весу в произведении.
     
      Таблица 15
      Определение коэффициентов по удельному весу лесозаготовок для распределения расходов на лесное хозяйство по древесным породам (1990 г.)
     

Древесные породы

Объем лесозаготовок, тыс. куб. м

Операционные затраты на лесовосстановление, тыс. руб.

Операционные затраты, за вычетом затрат на лесо-восстановление тыс. руб.

Итого операционных затрат

Коэффициенты

 

 

 

 

всего, тыс. руб. (гр.3 + гр..4)

на 1 куб. м лесозаготовок (гр.5: гр.2)

Сосна

88265

111957

195278

307235

3-48

3,48:2,83 = 1,23

1

Кедр

3984

19248

11209

30457

7-64

7,64 : 2,83 = 2,70

2

Лиственница

32362

9945

79451

89396

2-76

2,76 : 2,83 = 0,98

00,8

Ель, пихта

120914

110674

299262

409936

3-39

3,39:2,83 = 1,2

00,98

Дуб, ясень, клен

5414

11869

9165

21034

3-88

3,88:2,83 = 1,37

11,11

Бук

1340

1283

3807

5090

3-80

3,80 : 2,83 = 1,34

11,09

Береза, ольха черная, граб, ильмовые, липа

 

51462

4491

62108

66599

1-29

1,29:2,83 = 0,46

   0,37

Осина, ольха белая, осокорь, тополь

41119

1604

44696

46300

1-13

1,13:2,83 = 0,33

 

0,33

Итого

344860

271071

704976

976047

2-83

 

 


     
      Таблица 16
     
      Определение коэффициентов по удельному весу прироста древесины для распределения расходов на лесное хозяйство по древесным породам (1990 г.)
     

Древесные

породы

Общий

средний

прирост, млн куб. м

Удельный вес, %

Операционные затраты на

лесовосстановление тыс. руб.

Операционные затраты за вычетом затрат на лесовосстановление, тыс. руб.

Итого операционных затрат

Коэффициенты

 

 

всего, тыс. руб. (гр.4+гр.5)

на 1 куб м

прироста, руб.,

коп. (гр. 6:гр.2)

Сосна

192,6

21,5

111957

151570

263527

1-37

1,37 :1,09 = 1,26

1

Кедр

42,9

4,8

19248

33839

53087

1-24

1,24:1,09 = 1,14

00 ,9

I

Лиственница

232,1

26,0

9945

183294

193239

0-83

0,83 :1,09 = 0,76

00,6

Ель, пихта

130,4

14,6

110674

102926

213600

1-64

1,64:1,09 = 1,5

11,19

Дуб, ясень, клен

26,1

2,9

11869

20444

32313

1-24

1,24:1,09 = 1,14

00,9

Бук

6,4

0,7

1283

4935

6218

0-97

0,97:1,09 = 0,89

00,71

Береза, ольха

черная, граб, ильмовые, липа

197,8

22,1

4491

155800

160291

0-81

0,81 .1,09 = 0,74

00,59

Осина, ольха

серая, осокорь, тополь

 

65,7

7,4

1604

52168

53772

0-82

0,82:1,09 = 0,75

00,6

Итого

 

894

100

271071

7049761

976047

1-09

 

 


      1 Эта сумма распределена по древним породам по их удельному весу прироста.
     
      Таблица 17
     
      Определение коэффициентов для распределения расходов на лесное хозяйство по древесным породам комбинированным способом на примере данных по сосне и ели
     

Древесные породы

Покрытая лесом площадь, тыс. га

Общий средний прирост

Операционные затраты, за вычетом затрат на лесовосстановление распределяются на покрытую лесом площадь

Объем лесозаготовок

Операционные затраты, за вычетом затрат на лесовосстановление распределяются на объем лесозаготовок

Коэффициенты (сумма граф 7+11) делится на полученный результат для сосны

Произведение коэффициента на удельный вес

Ценностные коэффициенты, исчисленные по удельному весу

млн. куб. м

Удельный вес, %

Всего, тыс. руб.

1 га руб. коп.

На 1 куб. м.

Всего, тыс. куб. м.

Удельный вес, %

Всего, тыс. руб.

На 1 куб. м.

Прироста древесины (гр.4хгр.12)

Объема лесозаготовок (гр.9хгр.12)

Общего среднего прироста

Объема лесозаготовок

1

2

3

4

5

6

7

8

9

10

11

12

13

14

15

16

Сосна

1222000

192,6

21,5

129366

1-06

0-67

88265

25,6

111957

1-27

1,94:1,94=1

21,5

25,6

1:0,826=1,21

1:0,768=1,30

Ель, пихта

97177

130,4

14,6

102876

1-06

0-67

120914

35,1

110067

0-92

1,71:1,94=0,88

12,85

30,89

0,88:0,826=1,06

0,88:0,768=1,15

 

 

 

 

 

 

 

 

 

 

 

 

 

 

 

 

 

 

 

 

 

 

 

 

 

 

 

 

 

 

Средневзвешенные коэффициенты

 

 

 

 

 

 

 

 

 

 

 

8,57

76,75

 

 

 

 

 

 

 

 

 

 

 

 

 

 

0,826

0,768

 

 


К титульной странице
Вперед
Назад