Продукты сухой перегонки древесины и изделия из нее являлись предметами продажи сначала на внутреннем, а затем и на международном рынке1 [В 1859 г. было вывезено лесных материалов через балтийские морские и сухопутные границы на сумму 4,5 млн. руб., а через 10 лет эта сумма возросла до 15 млн. руб. [49]. В 1871 г. в Архангельск было доставлено около 100 тыс. бочек смолы, в Казань – 200 тыс. пудов смолы. В Англию ежегодно отправлялось 55 тыс. бочек смолы [72]]. "Отпуск лесного товара за границу поднялся с 5947 тыс. руб. в 1856 г. до 30153 тыс. руб. в 1881 г. и 39200 тыс. руб. в 1894 г., т. е. возрос в пропорции 100:507:659 [32, с. 526]. На внешний рынок поставлялась древесина из северных губерний (Архангельской).
      Чрезвычайно высокий спрос сохранялся на корабельный лес. За одно мачтовое дерево, привезенное из Игуменской лесной дачи (недалеко от Минска) в Ригу, лесопромышленник получал 230 руб., тогда как на месте он платил за него 55 руб.
      Длительное время производство и связанное с ним продолжительность оборота капитала делает лесоразведение невыгодным для частных владельцев. Поэтому дореволюционному периоду свойственно интенсивное истребление леса особенно в центральных и южных районах европейской части России. Развитие земледельческого и промышленного капитализма сопровождалось массовым передвижением сельскохозяйственных рабочих, уходом крестьян на "сторонние заработки". "Обилие свободных земель привлекало в степные окраины громадный приток переселенцев, которые быстро расширяли посевы". "Очерки из жизни Башкирии" Ремезова – живое описание того, как "колонизаторы" сводили корабельные леса и превращали очищенные поля в "пшеничные фабрики" [там же, с. 202, 253]. Перевод лесных площадей в сельскохозяйственные угодья в других районах страны имел место и в более позднее время (1880–1890 гг.). Так, например, в губерниях, где есть еще свободные земли (новины, участки, очищаемые от леса), льноводство особенно расширяется [там же, с. 280]. Процесс истребления лесов при хищническом хозяйстве лесопромышленников шел с громадной быстротой [там же, с. 529]. В "Лесном журнале" (1883 год) отмечалось: "Страшно, повсеместное истребление лесов на Руси из корысти, нужды, по неосторожности и неведению, а главнейшим образом попросту "зря", не заглядывая в будущее". По данным М. А. Цветкова, в южных и центральных районах европейской части России в течение XVIII в. было уничтожено 67 млн. га лесов, а восстановлено только 1,3 млн. га, или около 2 процентов территории [7].
      Интенсивному сведению лесов в центральных и южных районах страны способствовал быстрый рост промышленности. Так, например, доля Урала в выплавке чугуна составила в 1867 г. 65,1%, а в 1902 г. только 28,2%. Выплавка чугуна на Юге возросла с 0,3% в 1867 г. до 53,1% в 1902 г. "Хищнически первобытная эксплуатация природных богатств" имела место и на Урале [32, с. 488].
      Варварское уничтожение лесов наблюдалось не только в царской России, но и во всех странах мира. "Развитие культуры и промышленности вообще с давних пор сопровождалось настолько энергичным уничтожением лесов, что по сравнению с этим все, что было сделано ими для поддержания и новых посадок леса, представляет собой совершенно ничтожную величину" [38, с. 275]. Так, например, к началу XVIII столетия лесистость Великобритании снизилась до 12, а к началу текущего – до 5%.
      Массовое истребление лесов в южных и центральных районах России привело к недостатку древесины для местного потребления и завозу ее из многолесных районов.
      Цены на древесину на корню отражали эволюцию общественно-экономического строя помещичьего хозяйства в пореформенную эпоху, отражали процесс развития капитализма. "Цена на лес стала возрастать гигантскими шагами" [32, с 526]. Это особенно относится к южным районам России. Так, например, в 1871 г. десятина леса на корню на расстоянии 15–35, км от г. Харькова стоила по таксам от 50 до 400 руб.1 [При преобладающем выходе из него дров I сорта от 200 до 400 руб., мелко-дровяного леса от 150 до 200 руб., жердяного леса от 75 до 150 руб. и хворостяного – до 50 руб. Месячный оклад лесника составлял 6 руб. [64]]. А уже в 1879 году за ту же площадь, но худшего леса, платили по 450–490 руб.
      Потребность в древесине из года в год возрастала как в государственном, так и частном секторах хозяйства. В результате роста потребления древесины и спроса на нее создавались условия для получения от лесов большего дохода. Но начало XIX века характеризовалось беспорядочным отпуском леса, отсутствием научных основ ведения лесного хозяйства и бессистемностью составления лесных такс.
      Улучшению ведения лесного хозяйства способствовало совершенствование системы управления государственными лесами. В 1869 г. издается инструкция о порядке эксплуатации государственных лесов, по которой лес на корню отпускался как с торгов, так и без них: делянки стали отводиться по разработанной схеме, в которой отмечались места рубок и количество деревьев, подлежащих рубке. В целях содействия лесовосстановлению применялись чересполосные рубки, иногда на делянках оставлялись семенники; в обязанность лесозаготовителям вменялась очистка лесосек. В этой инструкции даны специальным приложением подробные правила составления лесных такс с учетом местных условий [17].
      С 1874 г. на страницах "Лесного журнала" стали рассматриваться теоретические вопросы составления лесных такс. Исходя из того, что рента имеет непосредственную связь с трудом и капиталом, П. Жудра [18] определяет ее из меновой стоимости товара следующим уравнением: "рента = меновая стоимость - (заработная плата = текущий + прошлый труд) - (прибыль = чистая прибыль + процент на капитал). Лесная такса выводится из данного уравнения по формуле
      P=(M-p)*a/100
      где: Р – рента, такса;
      М – меновая стоимость лесоматериалов;
      р – предварительная прибыль;
      а – процент прибыли, отчисляемой в пользу лесопромышленника на затраченный им капитал.
      Лесная такса рассматривалась как рента и соответственно определялась. Такса (рента), уплачиваемая лесопромышленником лесовладельцу, зависела от рыночной стоимости (цены) лесоматериалов. В итоге размер лесной таксы выводили из рыночной цены лесоматериалов за вычетом издержек по заготовке и вывозке леса и процента на вложенный капитал. Как свидетельствуют данные табл. 8, стоимость лесоматериалов на рынке была различной и зависела от их качества и размера, места и времени продажи. Рыночные цены на лесоматериалы колебались по годам, временам года, месяцам и даже не были едиными в течение одного дня. Поэтому лесные таксы были различными и постоянно менялись.
     
      Таблица 8
      Рыночные цены на древесные сортименты по отдельным районам в 1872-1973 гг., руб. и коп.
      а) Стоимость 1 куб. сажени относительно крупных дров на лесоторговом складе
     

Древесная порода

города

Пензенская губерния

Харьков

Воронеж

Тамбов

Казань

Киев

1873 г.

1972 г.

Дубовые

13-50

30-36

30-00

24-00

15-00

-

Березовые

12-00

22-00 (смеш.)

25-00

22-00

20-00

17-00

Сосновые

12-00

-

-

-

16-00

-

Осиновые

11-50

-

-

16-00

-

-

Ольховые

11-00

-

-

-

-

15-00


     
      б) Стоимость делового леса (бревен) с доставкой на дом в черте города (стоимость доставки – 25 коп. с бревна)
     

Наименование сортиментов

Длина в саженях

Толщина в отрубе в вершках

Стоимость бревна, руб. и коп.

Петербург

Кострома

 

 

Бревна сосновые

 

3

6

8

9

1-75

4-85

6-05

1-45

2-75

3-25

 

5

6

8

9

4-25

9-00

11-00

3-25

5-75

7-25

Бревна еловые

3

6

1-20

1-05


     
      Сложность составления такс вызывалась трудностью подбора рынка с наименьшим колебанием спроса и предложения, а также подбором сортиментов, рыночная стоимость которых могла бы лечь в основу расчета величины такс. При установлении таксы на деловой лес бралась в расчет рыночная стоимость одного или средняя стоимость группы сортиментов. Подробное деление такс в зависимости от выхода из ствола множества сортиментов не предусматривалось. Таксы устанавливались применительно к группам сортиментов, например на строевой лес, жердевой лес и т. д. Учитывался породный состав деревьев.
      Неравномерность развития капитализма и распределения лесов по отдельным районам России обусловили значительное колебание спроса и предложения и связанное с этим разнообразие форм оплаты за лес на корню. Леса в южных районах России были уже освоены, что нельзя сказать о северных районах страны. Северные районы служили внешним рынком, "не будучи внутренним рынком для России" [32, с. 596].
      Лес на корню чаще всего продавался на торгах. Стоимость десятины леса, продаваемого на сруб, зависела от его удаленности от сплавной реки и места потребления, сортиментности и крупности леса, породного состава деревьев и состояния путей сообщения. Общая таксовая оценка определялась с учетом рыночной стоимости сортиментов. Но предварительная оценка леса по таксам изменялась на торгах. Поэтому общая таксовая оценка леса на делянке практически устанавливалась с учетом результатов продажи леса на торгах прошлых лет. Лесосека (ограниченный участок леса – делянка) предварительно оценивалась в известную сумму, исходя из общего состояния насаждений, а затем на эту сумму подбирались материалы. Окончательная стоимость леса определялась результатами торгов. Поэтому точная таксация и оценка леса на корню особого значения не имела. Губернское Управление лесами проверяло оценочные ведомости на делянки, предъявляемые к торгам, и с учетом прежних торгов повышало общую сумму или понижало ее до размеров, необходимых для сбыта леса.
      Таксовая стоимость десятины хвойного леса в средней европейской части страны в этот период в ряде случаев доходила до 500 руб. и выше. Например, в Тульской губернии десятина леса продавалась с торгов по 600 руб. [55]. Стоимость десятины леса на торгах в Уманском лесничестве Киевской губернии колебалась от 133 до 1100 руб. [60]. Стоимость древесины на корню на торгах со временем повышалась.
      Кроме продажи леса на сруб, в этот период действовали такие формы оплаты за древесину на корню, как пошлина с изделий, акцизная система, плата за число пней от срубленных деревьев, за количество заготовленных материалов, за арендное содержание участков леса и т.д.1 [В конкретном районе России преобладала та или иная форма оплаты древесины на корню].
      Пошлина с изделий – это плата за древесину, использованную для производства продуктов сухой перегонки древесины, которая устанавливалась с количества полученных из древесины изделий на основе ранее установленных норм расхода древесины (сырья). Например, в 1871 г. норма расхода бересты для получения 1 пуда дегтя составляла 3,5 пуда. Пошлина с 1 пуда дегтя равнялась 21 коп. из расчета 6 коп. за пуд бересты [72]. В равной мере взималась пошлина за пни, корни, кору, используемых для той же цели. Зачастую деревья на корню подсачивались в целях повышения качества древесины (смолистости). Пошлина за подсоченный лес повышалась. Для определения количества потребленной древесины, изготовленные изделия освидетельствовались. Размер пошлины с изделий за использованную для их изготовления древесину показан в табл. 9 [72].
     
      Таблица 9
      Пошлина с единицы изделий
     

Наименование изделий

Единица измерения

Отпускная цена изделий на месте производства, руб.

Пошлина

с единицы изделия за древесину на корню, руб.

в % к отпускной цене изделия

Береста

пуд

0-16

0-06

37

Деготь

пуд

0-70

0-21

30

Смола

пуд

0-60

0-12

20


      Если учесть, что суточный заработок рабочего составлял 6–8 коп., можно сделать вывод, что пошлина в цене изделий занимала в то время большой удельный вес.
      При вывозке продукции на рынок и сплаве лесных материалов вносилась добавочная пошлина. Билеты на право сплава с освидетельствованием подлежащей к сплаву (перевозу) продукции, введенные в 1807 г., уточненные циркулярами Лесного Департамента от 31/Х-1864 г. и 26/IX-1875 г. [31], были отменены в 1898 г. и 1902 г. [48].
      При переработке одних изделий на другие, например смолы на скипидар, взыскивалась дополнительная пошлина за производство скипидара из смолы. Следовательно, пошлина с кубометра древесины возрастала по мере получения из древесины изделий более сложного производства. Так, пошлина за восьмипудовую бочку смолы, поставленную в г. Архангельск, доходила до 92 коп., что составляло 34% ее минимальной рыночной стоимости, равной 2 руб. 70 коп. [72]. Владельцы частных заводов Западной Сибири вносили пошлину за пользование лесом с пуда выплавленного металла [26].
      При акцизной системе назначается акциз (плата) с завода от количества сырья, которое он в состоянии переработать. Здесь пошлина взимается с материала, перерабатываемого на изделия, а не с изделий. В ряде мест такая плата называлась котельной (от размера котла). Освидетельствовались не изделия, а заготовленное сырье (древесина).
      При продаже леса на корню с учетом по числу пней, срубленных деревьев, такса устанавливалась за каждое дерево. В данном случае количество заготовленного леса после рубки не учитывалось [41]. В отдельных местах плата за рубку леса устанавливалась по наличию используемых топоров. Размер рубки леса в этом случае не ограничивался (так было в Царевококшайском уезде с 1826 по 1840 год)1 [В Ферганской области до ее присоединения к России (1876–1877 гг.) рубка леса никем не запрещалась. Лишь при продаже древесины на лесных базарах за нее вносилась определенная плата отдельно за верблюжий, лошадиный вьюк, арбу и др. В последние два года правления ханов (1875–1876 гг.) за рубку леса взималась особая плата [34]]. [30].
      При отдаче участков леса в арендное, или оброчное, содержание (в среднем сроком на 5–10 лет и более) арендная плата за древесину на корню назначалась исходя из возможности ее дальнейшей переработки для получения смолья или других изделий. Учет древесины на корню был приблизительный и выражался в кубических саженях предполагаемого сырья.
      С частных горных заводов плата за пользование казенным лесом взималась на льготных условиях в целом за год в размере средней стоимости лесосек, отведенных заводчику на ряд лет по договору. Величина такс по годам и в течение договорного периода была неизменной и не превышала местной таксы на хвойный дровяной лес.
      При отпуске леса с учетом количества заготовленных лесоматериалов освидетельствовалась заготовленная древесина, за которую начислялась попенная плата. Такой отпуск леса был широко распространен на Крайнем Севере для лесопильных заводов и местного населения [62].
      Местами велась хозяйственная рубка леса, при которой лесничества сами вели заготовку и отпуск лесоматериалов. Таксы в этом случае не применялись.
      И, наконец, в отдельных случаях лес на корню продавался в кредит. Например, в Казанской губернии такая продажа леса была организована в 1875 г. [58]. Льготный отпуск леса с отсрочкой платежа разрешался для крестьянских обществ, товариществ и отдельных крестьян.
      Лесное Общество не оставалось безучастным к нуждам крестьян, составлявшим большинство населения России. Его рекомендации по снижению цен на лесные материалы находили практическое применение. Так, в Тамбовской губернии беднякам и погорельцам лес отпускался по цене на 30% дешевле. В ряде губерний средней полосы нуждающемуся населению лесной материал отпускался по справкам Волостного Правления вдвое дешевле против существующих цен, а более бедные крестьяне и вдовы приобретали его почти даром. А на Севере задолго до 1883 г. лесной материал отпускался местному населению бесплатно, поскольку оно считалось бедным.
      Перечисленные правила отпуска древесины на корню и способы ее оценки относились в основном к европейской части России. В Сибири же, где лесов было значительно больше, местное население долгое время пользовалось ими бесплатно; денежный отпуск леса производился для огнедействующих заводов. Для Западной Сибири только в 1863 г. были разработаны временные правила отпуска леса на корню за плату для всех, примененные сначала для Томской и Тобольской губерний, а затем в Акмолинской и Семипалатинской [72, 73]. В том же году учреждены первые лесные таксы для заграничного отпуска древесины в Приморской области: такса за бревно длиной 4 сажени независимо от породы составляла 50 коп., до 6 саженей – 1 руб. и выше и более б саженей – 2 руб., за 1 куб. сажень дров – 1 руб. [18].
      В пореформенную эпоху государство извлекало значительные доходы не только от эксплуатации лесов, но и от побочных пользований лесом. Лесная площадь сдавалась в арендное содержание для сенокошения, посева сельскохозяйственных культур и других видов пользования. Такая операция приобретала наименование оброчных статей. Так, были земельные и водяные оброчные статьи, статьи по разработке в недрах земли и т. д. По сведениям А.Ф. Рудского [52], в 1866 г. значились следующие доходные статьи: 1) лесные пашни, не входящие в состав оброчных статей; 2) пастьба скота; 3) лесные плоды; 4) пустопорожние места, пригодные под распашку; 5) охота; б) пчельники; 7) заготовка песка, камня и др. В указе Правительствующего Сената от 06.01.1863 г. предусмотрен порядок отдачи в пользование земельных оброчных статей за плату (оброчная плата) посредством торгов [15]. Отдача лесных земель в арендное содержание производилась на условиях, отмеченных в указе Правительствующего Сената от 6 мая 1868 г. Плата за право сбора грибов и ягод в Засурском лесу вблизи Пензы была в размере 1 руб. в год [52]. За период с 1871 по 1882 г. получено 5279 руб. за предоставление права пастьбы скота в лесу [8]. Оброчная плата налагалась и на сборщиков кедровых орехов. Лишь только в бывшей Пермской губернии общая сумма взносов от сборщиков кедровых орехов достигала в год 3000 руб. Положением Комитета Министров от 24 декабря 1881 г. установлен порядок и срок сдачи в аренду казенных торфяных болот. Доход от оброчных статей входил в состав лесных доходов. По данным отчета Министерства государственных имуществ, которое управляло в то время и лесами, в 1870 г. получено дохода от всех перечисленных оброчных статей в сумме 424721 руб. Кроме того, за все прочие побочные пользования сумма дохода составила 183130 руб. в составе которой 66791 руб., поступивших за сенокошение и пользование лесными полянами и угодьями, не вошедшими в состав учтенных оброчных статей вследствие неустроенности лесов [15].
      Лесные таксы устанавливались исходя из измерений лесных сортиментов: длины в аршинах и толщины в вершках. Можно сказать, что это были побревенные таксы. Поскольку не было массовых таблиц, то трудно было оценивать лесосеку. Дерево дает бесконечное разнообразие сортиментов, продаваемых на рынке по разным ценам. Подбор нужного сочетания сортиментов на делянке и ее оценка делались на глаз (чаще всего по пробной площади). Иногда сортименты объединялись в группы, например, пильный лес, рыночная цена которого устанавливалась без учета объема. Соответственной была и общая таксовая оценка этой древесины на корню.
      Такое состояние учета и оценки древесины на корню могло быть допустимо только в лесоизбыточных районах и ни в коей мере не соответствовало условиям малолесных районов. Настоятельная необходимость учитывать и оценивать лесные сортименты и древесину на корню по их объемному содержанию (в кубических футах) не могла быть реализована из-за отсутствия массовых сортиментных таблиц. Их составлением стали заниматься только в 1871 г.; в этот период появились местные таблицы, сходные с баварскими. Но они не были совершенными и не могли применяться повсеместно. Лишь в 1883 г. были разработаны правила для составления массовых сортиментных таблиц, на основе которых в том же году появляется инструкция для оценки лесосек, единичных деревьев и насаждений в лесных дачах Министерства Государственных Имуществ, а также Наставление для составления такс на лесные сортименты [66,76]. Глазомерная таксация сменяется перечетом всего годичного отпуска деревьев, и вводятся таксы на хлысты, основанные на ценности кубического фута древесины на известном рынке.
      В Наставлении даны основные принципы составления такс. Определяется соответствующий данному сортименту объем древесного отрубка. Для каждой группы древесных отрубков устанавливается средняя продажная стоимость куб. фута древесины. Из-за отсутствия таблиц процентного содержания массы сортиментов в древесных отрубках рыночную стоимость одного кубического фута древесины в отрубках получали просто снижением на 25% цены сортиментов. Она определялась в среднем по группам древесных отрубков. В таксах учитывались расходы на заготовку и вывозку древесных отрубков (лесоматериалов) и прибыль в размере 30–60% от затраченного капитала.
      Таксовая оценка единицы объема древесины известного сортимента [72] определялась по формуле
      T=(P-(к+т)*1,0p)/1,0p
      где: Р – рыночная цена единицы меры древесины;
      к – издержки по заготовке древесины;
      т – издержки по вывозке древесины;
      р – процент на затраченный капитал.
      С появлением названных правил, инструкций и наставлений устанавливались единообразные действия в оценке леса, появилась возможность лучшего контроля, облегчалась и упрощалась работа по оценке, что позволило приблизить расчеты к действительным оценочным данным. Местные управления получали право, с одной стороны, понижать оценку на 15%, с другой, – неограниченно повышать ее.
      Следующим шагом в развитии лесных такс можно считать появление в 1896 г. новых правил для оценки лесных материалов. Правилами предусматривалась оценка лесосек путем исчисления массы всех сортиментов [47].
      Предусматривалось также обязательное определение древесного запаса на лесосеках и количества делового леса посредством сплошного перечета и лишь в порядке исключения – посредством перечета на пробных площадях. Размер тонкомерных деревьев, не подлежащих перечету, предписывалось устанавливать управлениям в зависимости от местных условий. Объем определялся по сортиментным таблицам. Деловая древесина подразделялась на крупную, среднюю и мелкую и в зависимости от этого оценивалась различно.
      В основу исчисления такс (Т) положена более совершенная формула Юдейха
      T=(P/(1+1,0p))-r-t
      где: Р – рыночная цена древесины;
      r – издержки по заготовке древесины;
      т – стоимость доставки древесины на рынок;
      р – процент на затраченный капитал.
      По этим правилам предусматривалось включение ухода за лесом в смету размера рубок при наличии спроса на древесину. Разрешалась продажа леса на лесосеках, отведенных с учетом по площади, сортиментами отдельным лицам. Таксу на фаутный лес, пни и древесину, оставленную заготовителями, разрешалось понижать до 50%.
      Наряду с новым применялся старый способ оценки лесосек по предварительно исчисленным ценам на целые деревья (хлысты). Но во всех случаях – таксы исчислялись в расчете на извлечение всей ренты. Поэтому определяющим элементом в построении лесных такс являлась цена на круглые лесоматериалы, точная величина которой была неизвестна. Отсутствие твердо установленной лесной таксы не позволяло точно определить сумму поступлений лесного дохода на уровне отрасли. В результате таксовая стоимость всего отпуска леса определялась, например, в 1881 г. в сумме 11202156 руб., а фактические поступления оказались равными 11861756 руб. [9].
      Следует отметить, что применяемая в дореволюционной России система оценок леса на корню и продуктов побочного пользования лесом, направленная на извлечение максимального нетрудового дохода – ренты, всегда обеспечивала лесному хозяйству достаточно высокую прибыль (табл. 10).
     
      Таблица 10
     

Годы

 

 

Доходы

Общий расход

общий

чистый

сумма

в % к общему доходу

1805

0,3

0,2

0,1

35,2

1862

3,3

1,4

1,9

56,2

1881

13,51

7,2

6,3

46,8

1909

66,7

45,9

20,8

31,2

1910

74,8

51,9

22,9

30,6

1911

83,9

58,6

25,3

30,2

1912

87,9

60,7

27,2

30,9

1917

96,2

64,2

31,9

33,2

      1 В том числе попенная плата 11,86 млн. руб.
     
      Средний ежегодный чистый доход, например в Игуменской лесной даче (вблизи Минска), составлял за ревизионный период (1888–1907 гг.) 1088 руб., т. е. в течение этого периода 1 дес. общей площади дачи давала 3 руб. 50 коп., а 1 дес. эксплуатируемой площади – 4 руб. 66 коп. дохода. Чистый доход, получаемый лесовладельцами, иногда достигал колоссальных размеров. Например, по Вязской лесной даче (Белоруссия) он составлял 80,5% от общего валового дохода или 9 руб. 04 коп. на единицу площади [42, 43]. Этой цели и была подчинена вся организация лесного хозяйства.
      Установленный порядок составления такс был нарушен в 1915 г. в связи с начавшейся в 1914 г. войной: таксы были понижены на 75%, и для общественных учреждений были установлены особые льготы.
      После Февральской революции в 1917 г. по причине падения покупательной способности рубля лесные таксы были повышены в 3–6 раз для местного населения и на 30% для промышленных предприятий.
     
      Эволюция лесного дохода и форм его изъятия
     
      После Октябрьской революции 1917 г. в организации лесного хозяйства произошли существенные изменения. Ведение лесного хозяйства приобрело новое, более интенсивное направление. Резко расширилось лесовосстановление.
      В первые годы Советской власти страна была охвачена жесткой хозяйственной разрухой. В переживаемый критический момент в целях избавления страны от топливного кризиса заготовка древесины велась в наиболее доступных районах неограниченно, непланово1 [Лишь постановлением СНК СССР от 31 июля 1931 г. "Об организации лесного хозяйства" предусматривалось ограничить размер вырубки леса годичным приростом древесины: в 1932 г. – на водоразделах бассейнов рек Волги, Дона и Днепра, а начиная с 1935 г. – на остальной территории лесокультурной зоны. Эти ограничения не относились к лесопромышленной зоне [50, с 472]]. Вводилась трудовая повинность по заготовке и вывозке древесины [50, с. 301; 51, с. 151]. По этим причинам предусмотренная декретом "О лесах" оплата за лес на корню не находила практического применения. До окончания гражданской войны таксы в отрасли почти не применялись.
      В период восстановления народного хозяйства бесплатное пользование лесом не отвечало принципам социалистического ведения лесного хозяйства, лишало эту отрасль возможности возмещать государству расходы на свое содержание и способствовало бесхозяйственному использованию лесосечного фонда. Кроме того, на первом этапе хозяйственного строительства важнейшей задачей Народного комиссариата финансов являлось "изыскание способов всемерного увеличения доходов народной казны", необходимых для восстановления народного хозяйства и индустриализации страны [50, с. 530]. "Развитие доходов от государственной промышленности, транспорта и торговли, сельскохозяйственных и лесных владений, эксплуатации недр, развитие концессионных доходов и арендных поступлений, – подчеркивалось в резолюции XI съезда РКП(б), – может и должно стать одним из путей оздоровления бюджета и ликвидации дефицита" [50, с. 303]. Поэтому декретом СНК РСФСР от 12 июля 1922 г. "Об установлении цен на древесину" была введена оплата леса на корню.
      Постановлениями IX и X Всероссийского съезда Советов, соответственно от 26 декабря 1921 г. и 27 декабря 1922 г. [50, с. 267, 329]. Народ-Комиссариат Земледелия обязывался "разработать вопрос о правильной постановке лесного хозяйства, в соответствии с интересами сельского хозяйства и с началами новой экономической политики", внести на ближайшую сессию Всероссийского Центрального Исполнительного Комитета Лесной Кодекс и предусмотреть в нем порядок отпуска древесины на корню из лесов государственного значения в целях поднятия их доходности. Лесной Кодекс был введен в действие в 1923 г.
      В постановлении II съезда Советов СССР от 2 февраля 1924 г. [50, с. 404], еще раз было отмечено, что в области увеличения поступлений неналогового характера необходимо обратить самое серьезное внимание, в частности, на "более быструю и правильную постановку лесного хозяйства".
      Применявшиеся в первое десятилетие советского периода довоенные таксы уровня 1914 г., направленные на содействие восстановлению народного хозяйства, поддержание нормальной работы общественных учреждений и помощь населению, неоднократно в директивном порядке, изменялись для отдельных групп потребителей. Так, древесина на корню для особо важных промышленных предприятий оценивалась по таксам дешевле, а для деревообрабатывающих предприятий – дороже [69, 85]. Такса понижалась на 1/3–1/2 своего размера на древесину, отпускаемую крестьянам. Для беднейших слоев населения она была еще ниже или вообще не применялась [78].
      Помощь крестьянскому населению предусматривалась постановлением IX Всероссийского съезда Советов от 28 декабря 1921 г., в котором было сказано: "Всеми возможными при настоящем состоянии государственных средств мерами должна быть оказана поддержка маломощным крестьянским хозяйствам" [50, с. 2б7].
      Льготный и бесплатный отпуск леса городскому и сельскому трудовому населению для удовлетворения его хозяйственных потребностей, а также и для общественных надобностей (школ, больниц и др.) производился по нормам, установленным статьей 17-й декрета "О лесах", и в последующем был предусмотрен Лесным Кодексом и другими постановлениями партии и правительства [50, с. 428]. Кроме того, согласно постановлению X Всероссийского съезда Советов от 27 декабря 1922 г. и постановления III съезда Советов от 20 мая 1925 г. в целях поднятия сельского хозяйства крестьянскому населению в 1923–1925 гг. передано в бесплатное пользование около 20 млн. га лесов местного значения [50, с. 634]. После передачи крестьянам лесов местного назначения бесплатный и льготный отпуск леса сельскому населению из лесов государственного назначения, начиная с 1923–1924 гг., сокращался. Уменьшилась и сфера его применения. И все же, несмотря на это, в 1926–1927 гг. из государственных лесов было отпущено бесплатно 2,7 млн. куб. м и льготно – 3,1 млн. куб м. древесины [29].
      Значение леса как источника государственного дохода еще более повысилось в период новой экономической политики. В обстановке развившихся рыночных отношений, при которых и госпредприятия в значительной степени также были переведены на коммерческие основания, и расширения экспорта, и в целях ограничения частнокапиталистического накопления, лес на корню (с 1925 по 1929 гг.) продавался на торгах. Это привело к резкому повышению корневых цен.
      Лесоматериалы продавались беспланово на рынке отдельным лесозаготовителям [24].
      В то время высокие цены были и на продукцию государственной и кооперативной промышленности. Так, например, в резолюции XIII съезда РКП(б) от 31 мая 1924 г. [50, с. 428] отмечалось, что в хозяйстве страны применяются недопустимые методы преувеличенного исчисления цен на продукцию государственной промышленности за счет потребителя, вызвавшие кризис сбыта этой продукции.
      Необходимость увеличения поступлений денежных средств от лесов была вызвана отчасти и наличием дефицита в государственном бюджете (в 1924 г. он еще сохранялся), пассивностью внешнеторгового баланса (1925–1926 гг.), снижением суммы сельскохозяйственного налога на 1925/26 гг. (35% крестьянских хозяйств по стране освобождались от сельхозналога) и тяжелым состоянием лесного хозяйства [50, с. 3б3, 409]. Наилучшим способом решить задачи улучшения лесного хозяйства, развития лесного экспорта и обеспечения полного и своевременного поступления доходов от эксплуатации лесов в тот период можно было путем продажи леса на торгах. Однако последние годы нэпа характеризовались завершением стадии отступления и переходом к наступлению на капитализм, усилением борьбы социалистических элементов против капиталистических классов и эксплуатации человека человеком. Продажа леса на торгах явилась орудием борьбы Советской власти против частного капитала, которому, "благодаря слабости распространения органов кооперации и госторговли", в значительной мере удалось захватить рынок в свои руки, в особенности в деревне [50, с. 420], и была приемлема и эффективна в условиях нерегулируемого государством рынка и колебании цен.
      На данном этапе развития нэпа главнейшей задачей хозяйственной политики являлись поддержка кооперации и развитие государственной торговли, отвоевание ими позиций у частного торгового капитала [50, с. 363]. Эта же политика была подтверждена и развита на XIII съезде РКП(б). В другой резолюции этого съезда от 31 мая 1924 г. [50, с. 504] говорилось, что партия, опираясь на национализированную промышленность и транспорт, на государственную организацию кредита, монополию внешней торговли и государственную организацию оптовой торговли, а также на развивающуюся кооперативную сеть "должна стремиться систематически и в возрастающей степени подчинять своему руководящему влиянию весь процесс рыночного товарооборота, снабжения и распределения". Там же было отмечено, что "одним из основных условий усиления наших позиций против частного капитала является политика цен" [50, с. 418]. Кроме того, в этот период партия считала "необходимым оказать поддержку развитию промысловой кооперации в целях противодействия росту, на основе кустарной промышленности, частного капитала и установления необходимой связи кустарной промышленности с госпромышленностью" [50, с. 386].
      Продажа леса на торгах не способствовала развитию лесной кооперации, государственной промышленности и усилению социалистических позиций на рынке, поскольку повышалась и без того высокая себестоимость лесной продукции. Последовавшая по этой причине отмена продажи леса на корню с торгов была синхронна с отменой сдачи местных промышленных предприятий в аренду с торгов. В этой обстановке на первых порах усилилась тенденция к расширению лесозаготовок и замене отпуска леса на корню отпуском лесоматериалов.
      Сложные условия социалистического строительства, имевшие место в первые годы Советской власти, обусловили разнообразие и несогласованность лесных такс по районам страны. В силу этого действующие таксы перестали отвечать изменившимся условиям и задачам хозяйственного строительства. Это подтверждено лесоэкономическим обследованием, начатым с 1924 г. [79]1 [К этому времени удалось достичь первых успехов и деле хозяйственного восстановления страны – увеличить и расширить производство государственной промышленности, усилить провозоспособность транспорта и поднять сельское хозяйство [50, с. 420]. В 1925 г, производство продукции промышленности и сельского хозяйства доведено почти до довоенного уровня, позиции социализма были укреплены как на международной арене, так и внутри страны [50, с. 514]. В резолюции XV конференции ВКП(б), 3 ноября 1926 г., было отмечено, что "восстановительный период может считаться в общих чертах законченным" [50, с. 553]. Расширились внешнеторговые связи при достижении в 1927 г. активного сальдо торгового баланса [50, с. 680]].
      В последующем соответственно этапам развития социалистической экономики строилась и политика цен в лесном хозяйстве. С развитием лесного хозяйства и ростом объема лесозаготовок возникла необходимость урегулирования и лесных такс. Они приводились в порядок с одновременным совершенствованием Отпуска леса с корня и реорганизацией лесного хозяйства вообще и системы лесозаготовок в частности. К этому времени в основном были приведены в порядок цены на лесоматериалы и изделия из древесины. Рыночные цены были в значительной мере подчинены плановому регулированию [50, с. 409,418]1 [Народному Комиссариату Внутренней Торговли согласно резолюции XIII съезда РКП (б) от 31 мая 1924 г. [50, с. 418] было предоставлено право регламентации всей внутренней торговли, установления твердых цен, наблюдения за их действительным проведением в жизнь и руководства в определении торговой политики всех организаций, в которые вложен государственный капитал]. Но проблема цен все еще оставалась нерешенной и в создавшейся хозяйственной обстановке требовала особого внимания партийных и советских органов.
      В стране заменялся обесценивающий совзнак на твердую валюту – червонец, который дополнялся затем казначейскими билетами в золотом исчислении [50, с. 409, 418]. С проведением (в основном в 1924 г.) денежной реформы [50, с. 452], создавались предпосылки для планового построения лесных такс, величина которых в основном не должна уже зависеть от конъюнктурной рыночной стихии. Возможность изменения лесных такс в результате торгов исключалась2 [В переживаемый период хозяйственного строительства "наряду с укреплением социалистических элементов хозяйства СССР происходит в то же время развитие частного капитала и связанное с этим частичное обострение конкуренции между социалистическими и капиталистическими элементами как в городе, так и в деревне" [50, с. 457,479]. Но рост частного капитала был абсолютным при относительном падении его роли, в особенности, частного торгового капитала [50, с. 504]]. Для исправления лесных такс нужны были новые методы и принципы построения. Установленные таксы должны были оставаться без изменения до нового пересмотра и соответствовать экономической политике партии, во главу угла которой была поставлена задача всемерного обеспечения победы социалистических хозяйственных форм над частным капиталом [50, с. 514]. В этой связи резолюцией XIV конференции РКП(б) от 29 апреля 1925 г. предусматривалось уравнять лесную кооперацию "в правах на получение лесосек с лесотрестами и пересмотреть попенную плату и тарифы на лесотовары". Одновременно усилилась тенденция к расширению лесозаготовок и замене, на этой основе, отпуска леса на корню отпуском лесоматериалов. Постановлением III съезда Советов, 20 мая 1925 г. [50, с. 472] в безлесных районах намечалось организовать государственные склады в целях снабжения крестьянства лесным материалом по доступной цене. Уже в 1925/26 гг. лес в готовом виде отпускается из сельских лесоскладов для крестьян. В целях поддержки кооперативного движения на селе, постановлением ЦК ВКП(б) от 30 декабря 1926 г. [50, с. 561] и постановлением ЦИК и СНК от 16 марта 1927 г. [50, с. 590] колхозам были предоставлены одинаковые с беднейшим населением льготы по пользованию государственным лесным фондом и право пользования лесами местного значения на одинаковых условиях с земельными обществами. Одновременно уделялось большое внимание совершенствованию лесных такс.
      Пересмотр лесных такс начался по всем губерниям РСФСР в 1925/26 гг. на основе инструкции по пересмотру такс, утвержденной ЭКОСО РСФСР 14 ноября 1925 г., и был окончен в 1927/28 гг. [42] на пороге перехода народного хозяйства от восстановительного к реконструктивному периоду. К этому времени в области финансов советским хозяйством достигнуто оздоровление всей денежной системы и осуществлено введение твердой валюты [50, с. 590,657,680,696].
      В 1926 г. появляется новая инструкция для отпуска леса из государственных лесов РСФСР, которая наряду с введением в действие новых такс, знаменует собой значительный шаг вперед в усилении планового начала руководства лесным хозяйством, рынком и деятельностью всей товаропроизводящей сети.
      Новые лесные таксы были приведены в соответствие с фактической ценностью древесины в каждом районе, повышались против такс 1914 г. в 1,6-1,8 раза и были введены в действие с 1928 г. Они составлялись на местах, утверждались в вышестоящих организациях и были различными по губерниям. Уделялось особое внимание соотношению такс по сортиментам. Благодаря введению новых такс лесной доход с 192 3/24 гг. возрос, с учетом увеличения объемов заготовки, с 53,5 млн. руб. до 272,2 млн. руб. и существенно пополнил общегосударственные накопления, столь необходимые для осуществления взятого XIV съездом партии (декабрь 1925 г.) курса на индустриализацию страны.
      На построение лесных такс и их уровень оказала влияние политика снижения цен, принятая на XIII съезде ВКП(б) [50, с. 418,428], а также система отпуска леса на корню. В это время функционировало множество лесозаготовителей. Основные заготовки велись ВСНХ, НКЗ, НКПС Учитывалась как низкая платежеспособность крестьянского рынка, так и высокая себестоимость продукции государственной промышленности, не находящей достаточного сбыта [50, с. 428]. По мере развития производительных сил и усиления руководящей роли государственной промышленности во всем народном хозяйстве продолжался и период формирования организационной структуры лесного хозяйства и, в частности, лесозаготовок. Так, 12 декабря 1929 т. СНК СССР издает постановление, предусматривающее порядок передачи лесозаготовительным органам ВСНХ и НКПС в долгосрочное пользование лесосырьевых баз по особым договорам с вложением на них некоторых обязанностей по лесовыращиванию и лесомелиорации. В 1929 г. произошло слияние лесной промышленности с лесным хозяйством и затраты на последнее покрывались за счет реализуемой продукции (лесоматериалов).
      По этим причинам, а также в связи с необходимостью перераспределения народного дохода в пользу индустрии, соблюдения режима строжайшей экономии в расходовании государственных средств, без чего невозможно в условиях капиталистического окружения и финансовой блокады осуществить индустриализацию страны и продолжить курс на удешевление промышленной продукции, строительства и снижение цен на промтовары и строительные материалы, постановлением ЦИК и СНК СССР от 2 сентября 1930 г. отменено взимание попенной платы за древесину, получаемую на корню учреждениями и организациями общественного сектора. Последующим постановлением СНК СССР от 31 июля 1931 г. лесные массивы СССР были разграничены на зоны лесопромышленного и лесокультурного значения1 [Зона лесопромышленного значения оставлена в ведении ВСНХ, а зона лесокультурного значения передана в ведение Народного Комиссариата Земледелия СССР (НКЗ)]: в первой зоне организовывались леспромхозы, во второй – лесхозы, которые независимо друг от друга на закрепленной за ними территориями осуществляли весь комплекс работ по лесному хозяйству – лесовыращиванию и лесоэксплуатации. Образовывается лесоснабсбыт.
      Принятые меры по совершенствованию управления лесного хозяйства способствовали его развитию и отчасти отвечали взятому партией курсу на социалистическую рационализацию производства и управления народным хозяйством. Но в последствии дали о себе знать и другие стороны этого процесса. В реконструктивный период из года в год увеличивающиеся размеры капитальных вложений в промышленность и народное хозяйство требовали во все возрастающем размере строительных материалов (лес, цемент и др.). Поэтому директивами к составлению второго пятилетнего плана развития народного хозяйства предусматривалось по лесной промышленности, имеющей исключительное значение для всего строительства, обеспечить должные темпы роста и проведение механизации.
      Рационализация в лесохозяйственном производстве по линии наиболее рационального использования лесных ресурсов особенно была необходимой в связи с обращением Совнаркома СССР, ЦК ВКП(б) и Центросоюза, 10 мая 1931 г. [51, с. 346], предусматривавшем отмену практики бронирования товаров (за исключением бронирования промтоваров по операциям: лесоразработки, лесосплав...) и продажи их по ордерам. Однако сложившаяся практика бесплатного пользования лесными ресурсами не отвечала указаниям XV съезда ВКП(б) о необходимости рационального ведения лесного хозяйства в целях правильного и более полного использования лесных богатств страны, не отвечала требованиям социалистической рационализации производства и управления народным хозяйством и развернувшейся по всей стране компании за осуществление "сурового режима бережливости, экономии..." [50, с. 530,696].
      Законы развития экономики и интересы лесного хозяйства требовали восстановления платного отпуска леса на корню. Это стало возможным в условиях, когда социалистический сектор экономики занял господствующее положение во всем народном хозяйстве [51, с. 279]. С 1 мая 1931 г. введена новая практика кредитования народного хозяйства – коммерческое (вексельное) кредитование заменялось прямым банковским кредитованием, осуществляемым через государственный банк [51, с. 301]. С 1 января 1932 г. на базе лесопромышленной зоны, находящейся в ведении ВСНХ, создается Народный Комиссариат лесной промышленности [51, с. 373] и вводится оплата за лес на корню для всех лесозаготовителей, кроме основных (НКЗ, Наркомлес, НКПС), и отменяется льготный и бесплатный отпуск древесины местному населению и для общественных надобностей.
      Эти меры частично объяснялись и тем, что прочие лесозаготовители, получая лесосечный фонд бесплатно, не несли расходов на лесное хозяйство и не возмещали их государству, которое, вследствие этого, несло убытки. Бесплатность отпуска леса на корню обогащала и частнокапиталистические элементы, что не отвечало интересам лесного хозяйства и государства.
      Отмена льготного и бесплатного отпуска леса для местного населения стала возможной по завершению восстановительного периода в промышленности и досрочного выполнения первого пятилетнего плана развития народного хозяйства (1929–1933 гг.) и повышения на этой основе материального благосостояния трудящихся: рост среднегодовой заработной платы рабочих и служащих крупной промышленности составил в 1933 г. по сравнению с 1928 г. 67% [51, с. 490]. V съезд Советов 28 мая 1929 г. объявил так же и об окончании периода восстановления сельского хозяйства [51, с. 207,279].
      К началу восстановления лесных такс в основном закончилась коллективизация сельского хозяйства в основных зерновых районах страны и более чем в 2 раза (по сравнению с 1929 г.) возросла площадь посева в совхозах [51, с. 215, 229, 284].
      Льготный и бесплатный отпуск леса на корню, наряду с другими мерами, служил значительным фактором помощи бедняцким и маломощным слоям крестьянства. С завершением сплошной коллективизации, приведшей к росту доходности коллективных хозяйств, отпала необходимость в использовании этого фактора [50, с. 657, 51, с. 279, 364]. Этому процессу способствовало снижение в 1931 г. на 30% коммерческих цен на товары [51, с. 368].
      По мере совершенствования форм организации лесного хозяйства продолжались поиски путей совершенствования лесных такс. Так, 27 января 1932 г. на основе ранее изданных постановлений утверждены правила отпуска, оценки и оплаты леса на корню, отпускаемого самозаготовителями из лесов государственного значения. Установленная система оценки леса на корню для самозаготовителей и право бесплатного лесопользования для основных лесозаготовителей действовали относительно долгое время – до 1949 г. Приостановка процесса совершенствования лесных такс и отпуска леса на корню была вызвана Великой Отечественной войной. За этот период в таксы на древесину на корню иногда вносились некоторые изменения.
      Практика бесплатного лесопользования основными лесозаготовителями не способствовала хозяйскому отношению к лесному фонду, позволяла перекрывать недостатки лесоэксплуатации за счет лесного хозяйства, поскольку прибыль от реализации лесоматериалов не зависела от лесного дохода (попенной платы).
      С развитием производительных сил к этому времени значительно повысился уровень технической оснащенности лесной промышленности и лесного хозяйства, изменились условия эксплуатации и лесовыращивания. Развитие лесного хозяйства в соответствии с действующими экономическими законами требовало восстановления платного отпуска леса на корню и для основных лесозаготовителей и создания лесных такс на принципиально новой основе, которые базировались бы на общих законах развития социалистической экономики.
      Дальнейшее урегулирование цен на лесоматериалы и изделия из древесины позволило нормализовать и лесные таксы. С 1949 г. отменяется бесплатный отпуск леса для лесной промышленности, и вводятся новые лесные таксы.
      Ежегодный лесной доход по этой методике устанавливается на уровне затрат на лесное хозяйство, прибыли и дифференциальной ренты местоположения. Лесные таксы рассчитываются по формуле
     Tсорт=D/M+(Smax-Sd)Kсорт/K
      где: Tсорт – такса конкретного сортимента;
      D – затраты на лесное хозяйство;
      M – ежегодный объем отпуска леса;
      Smax – транспортные расходы наиболее удаленного участка;
      Sd – транспортные расходы данного участка;
      Kсорт/K – частное от деления таксы сортимента на средневзвешенный коэффициент. Это ценностные коэффициенты сортиментов.
      На практике разность (Smax - Sd) не подсчитывалась. Учитывались лишь затраты на лесное хозяйство, которые дифференцировались по разрядам (группам расстояний). Это выражение было восстановлено лишь в таксах 1992 г.
      Таксы 1949 г. отличались от такс дореволюционного периода как своим построением, так и формой применения. Они были фиксированными и составлены в централизованном порядке для всей территории СССР и в зависимости от природно-экономических условий дифференцировались по зонам, разрядам (группам расстояний), древесным породам, сортиментам и категориям крупности деловой древесины с помощью коэффициентов. И хотя величина таксы была невысокой (1 руб. за 1 куб. м обезличенной древесины), тем не менее, после введения их в действие размер лесного дохода возрос.
      Методика исчисления коэффициентов рассматривается отдельно в последующих разделах.
      Отнесение попенной платы на себестоимость лесоматериалов, с одной стороны, и частичное перебазирование лесозаготовок в лесоизбыточные малоосвоенные районы, с другой, вызвали финансовые затруднения в большинстве предприятий лесной промышленности. В целях компенсации повышения себестоимости заготовленной древесины лесные таксы с июля 1950 г. были снижены на 53% и оставались на таком низком уровне в течение 17 лет – до 1 июля 19б7 г. Роль лесных такс как ценностного рычага данным актом была сведена к минимуму, они приобрели чисто символическое значение: в отпускной цене на лесоматериалы на попенную плату, исчисленную по таксам 1950 г., приходилось 4,8%.
      За период действия лесных такс 1950 г. затраты на лесное хозяйство резко увеличились, значительно превысив попенную плату. Уже в 1965 г. попенная плата лишь наполовину возмещала расходы на лесное хозяйство, составляя по основным лесозаготовителям (Минлесдревпрому СССР и Гослесхозу СССР) 49 коп. за 1 куб. м вывезенной древесины, или 6,3% ее себестоимости и 5,8% к отпускной (оптовой) цене, в то время как за рубежом попенная плата доходила до 40-60% отпускной цены.
      После сентябрьского Пленума ЦК КПСС в стране проводилась хозяйственная реформа, положившая начало новой системе планирования и экономического стимулирования. Для повышения рентабельности лесозаготовок, составлявшей в тот период 6,1%, до уровня, достаточного для перевода леспромхозов на новые условия работы, оптовые цены с 01,07.1967 г были повышены на 26,8%. В свою очередь, и лесные таксы 1950 г, были заменены новыми, повышенными до уровня затрат на лесное хозяйство – на 130% (в 2,3 раза) или до 1 руб. 20 коп, за 1 куб. м. Уровень попенной платы должен был повыситься в себестоимости лесозаготовок до 11% и в оптовой цене предприятий – 9%. Эти таксы более дифференцированы по ценообразующим факторам. В 1968– 1970 гг. средняя попенная плата по СССР составляла 1 руб. 14 коп. за 1 куб. м, а в 1975 г. – 1 руб. 08 коп.
      В 1974 г, соотношение такс на хвойную и мягколиственную древесину было изменено в пользу хвойных: таксы на древесину березы были снижены на 30% и осины на 50%, а на древесину сосны повышены на 20%. Тем не менее, таксы 1967 г. и 1974 г несмотря на более высокий их уровень, по сравнению с предыдущими, были далеки от совершенства. Они не возмещали расходов на лесное хозяйство, что являлось их основным недостатком. Они возмещали расходы на лесное хозяйство наполовину.
      В 1979 г. разработан новый прейскурант № 07-01 "Таксы на древесину основных лесных пород, отпускаемую на корню", который введен в действие с 1982 г. Общий размер попенной платы в 2 раза превышал попенную плату, сложившуюся в 1 976 г. Уровень лесных такс 1982 г. составлял 2 руб. 17 коп. Внесены изменения в ценообразующие показатели.
      В 1990 г. введены в действие новые лесные таксы, повышенные до 3 руб. 75 коп. Эти таксы предназначались в целом для СССР. Однако с 1 января 1992 г. введены в действие новые лесные таксы только для Российской Федерации.
     
      3
     
      ОСНОВНЫЕ ПРИНЦИПЫ И МЕТОДЫ ПОСТРОЕНИЯ БАЗОВЫХ ЛЕСНЫХ ТАКС КАК ОСНОВЫ ФОРМИРОВАНИЯ ЛЕСНОГО ДОХОДА
     
      Анализ формирования лесных такс при плановой экономике
     
      Рассматриваемые методы формирования лесных такс на древесину на корню в условиях плановой экономики представляет интерес для России с точки зрения построения базовых (стартовых, нижнего уровня) ставок при переходе к рынку.
      По вопросу совершенствования ценообразования в лесном хозяйстве при плановой экономике России было предложено несколько различных точек зрения.
      С целью усиления роли и значения такс В. К. Шкатов [77, 78] предложил строить их на основе полярных ставок, что, по его мнению, явится важным экономическим стимулом рационализации лесопользования и улучшения размещения лесозаготовительной промышленности, позволит в значительной степени решить проблему выравнивания рентабельности леспромхозов.
      Сущность полярных такс заключается в установлении положительных такс на древесину лучшего качества и заготовленную вблизи транспортных путей общего пользования и отрицательных лесных такс на древесину худшего качества и вывозимую из глубинных лесных массивов; в средних условиях они приобретают нулевое значение. Положительная дифференциальная рента как превращенная форма дифференциального дохода изымается у предприятий в бюджет, а отрицательные лесные таксы бюджет станет выплачивать леспромхозам. Сумма положительных лесных такс должна превышать сумму отрицательных на размер затрат на лесное хозяйство. При такой системе, по мнению автора, создаются одинаковые условия предприятиям, заготавливающим древесину в различных природно-географических условиях.
      Полярные таксы не влекут за собой повышения оптовых цен на древесину, а значит не вызывают необходимости пересмотра розничных цен на товары из древесины.
      Вместо единых такс Г. Н. Шаховым [74] предложены два вида платежей: 1) фиксированные, 2) плата за лес на корню по лесному тарифу. Фиксированные платежи вносятся лесозаготовителями, у которых в силу благоприятных природных и транспортных условий образуется дифференциальный доход. Затраты на лесное хозяйство должны возмещаться всеми лесозаготовителями в виде платы за лесосечный фонд, передаваемый в лесоэксплуатацию, по лесному тарифу. Все поступления за древесину на корню по тарифу должны сосредоточиваться в центральных органах страны и затем распределяться по республикам, краям и областям для покрытия расходов на лесное хозяйство.
      Экономическим механизмом, обеспечивающим полное изъятие дифференциального дохода и стимулирование полного и рационального использования лесосечного фонда, А. П. Петров [45] считает построение цен на базе замыкающих затрат у лесозаготовителей и изменение методов взимания попенной платы, вследствие чего вся прибыль, образующая на предприятиях, работающих в средних или лучших условиях, должна через механизм попенной платы изыматься в государственный бюджет. Позже (1990 г.) А. П. Петров предлагал определять попенную плату в условиях рынка как разницу между рыночной стоимостью конечной продукции деревообработки и соответствующими затратами на ее производство при определенном уровне рентабельности [46].
      Ф. Т. Костюкович [28] рекомендует положить в основу исчисления лесных такс себестоимость 1 куб. м запаса расчетной лесосеки.
      Чтобы попенная плата могла выполнять свои хозрасчетные и стимулирующие функции, 3. Г. Затеева [21] предлагает строить лесные таксы на уровне затрат на лесное хозяйство с дифференциацией их с учетом основных рентообразующих факторов методом последовательного решения системы уравнений с одним неизвестным. Дифференциация лесных такс предлагаемым методом должна обеспечить построение положительных лесных такс, дифференцированных от нуля и выше в том случае, если размер дифференциальной ренты будет равен средней попенной плате, установленной для каждого лесотаксового пояса или несколько ниже ее. Если же он превысит среднюю попенную плату, то в этих лесотаксовых поясах появятся полярные платежи в форме полярных лесных такс.
      Однако дифференциация лесных такс, построенных на базе необходимых издержек лесохозяйственного производства и плановых накоплений в этой отрасли народного хозяйства, по размерам древесины, породному составу, расстоянию вывозки, по мнению Ю. Ю. Туници [65, с. 70], затрудняет их применение для определения затрат лесного хозяйства, скажем, по какой-нибудь области или району.
      В последние годы плановой экономики в нашей стране и за рубежом появились фундаментальные работы по экономической оценке лесов [10, 67], включающей показатели эксплуатационной и средозащитной ценности лесов. Мы разделяем мнение К. Г. Гофмана, что экономические оценки природных ресурсов достаточно использовать пока на стадии планирования и проектирования в сфере природопользования, не затрагивая, таким образом, системы цен и финансовых взаимоотношений в народном хозяйстве [16, с. 62].
      В условиях перехода экономики России к рынку сложились благоприятные условия для обогащения опыта научной разработки и практики применения лесных такс в каждой стране. Освещение опыта применения лесных такс за рубежом и, в частности, в бывших социалистических странах, позволит нам выяснить, что нового внесено этими странами в организацию оплаты древесины на корню и что можно взять из этого опыта для использования у нас.
      Попенная плата применяется в Болгарии, Румынии и Венгрии. Одно время она применялась и в ГДР. В Польше лесные таксы не применяются, но там разработана методика оценки древесины на корню, представляющая некоторый интерес.
      В этих странах лесовыращивание и лесоэксплуатацию осуществляли одни и те же предприятия, которые по характеру своей деятельности соответствовали комплексным предприятиям России и лесхоззагам на Украине.
      В бывшем ГДР [70] плата за пользование лесом была введена с 1969 г. и поступала в фонд лесовыращивания. Ставки платы за пользование лесом в расчете на 1 куб. м заготовленной древесины были едиными для всей республики и дифференцируются по породам и качеству сортиментов. Плата за пользование лесом выполняла три функции.
      Первая функция – финансовое обеспечение воспроизводства лесных ресурсов.
      Общая формула расчета платы за пользование лесом следующая:
      P=S – (Q3+R),
      где Р – норматив платы за пользование лесом на 1 куб. м заготовленной древесины;
      S – оптовая цена 1 куб. м древесины;
      Q3 – признанная себестоимость заготовки 1 куб. м;
      R – валовая прибыль, рассчитанная по утвержденной норме (r) в отношении к себестоимости 1 куб. м древесины.
      R= r(Q3 + Oл)
      где Ол – признанная себестоимость лесохозяйственных работ в расчете на 1 куб. м вырубленной древесины.
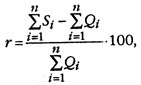
      Среднеотраслевой норматив валовой прибыли на 1 куб. м древесного сырья рассчитывается по формуле
     
      где Si,.– сумма выручки предприятия от реализуемой лесопродукции;
      Qi – сумма признанной себестоимости лесовыращивания и лесозаготовок в предприятии;
      n – количество лесных предприятий.
      Величина платы за пользование лесом равна фонду выращивания лесов.
      Вторая функция оказывает стимулирующее влияние на улучшение лесных ресурсов и снижение себестоимости их воспроизводства. В этих целях плата за пользование лесом дифференцируется по сортиментам и сортам заготавливаемого древесного сырья, а внутри сортиментных групп – по породам (в разрезе хвойных и лиственных).
      Третья функция – изъятие дифференциального дохода и его перераспределение между предприятиями лесного хозяйства. Дифференциальный доход исчисляется по формуле
     
      где ΔР – величина дифференциального дохода (убытка) предприятий;
      S – сумма выручки от реализации заготовленной древесины;
      Q3 – затраты на лесозаготовки;
      Qл – затраты на лесовыращивание;
      Rл – норматив платы за пользование лесом на 1 куб. м заготовленной древесины;
      R3 – нормативная прибыль;
      Qу – затраты на лесоустройство.
      По данной формуле получаемый результат в зависимости от естественных условий может быть положительным (дифференциальная прибыль) или отрицательным (дифференциальный убыток), поскольку действующие цены на лесопродукцию в ГДР базировались на средних естественных условиях. Предприятия с дифференциальным убытком получали дотацию за счет дифференциальной прибыли других предприятий.
      В результате перераспределения дохода все предприятия становятся рентабельными.
      Попенная плата в Болгарии устанавливалась на уровне расходов на выращивание лесных насаждений до спелого возраста.
      Tср=(P+H)/п
      где Тср – средняя обезличенная попенная плата за 1 куб. м древесины;
      Р – расходы по воспроизводству леса;
      Н – средства для социалистического накопления;
      п – размер годового пользования древесиной в куб. м.


К титульной странице
Вперед
Назад