Нельзя не упомя- нуть о влиянии на производительность пасеки селекци- онной работы. С одной стороны, путем селекции посто- янно улучшают поголовье пчел, с другой - выводят межрасовых и межлинейных гибридов, которые все чаще встречаются сейчас на пасеках.
В сельском хозяйстве нет отрасли, где не велась бы селекционная работа для улучшения качеств исходного материала. Увеличивается нескость кур, выводятся молочные и мясные породы крупного рогатого скота и т. д. Изме- нения свойств поголовья добиваются постоянной селекцией и отбором. Селекция возможна бла- годаря индивидуальной изменчивости особей, проявляющей- ся в том, что потомство одних родителей не бывает иден- тичным. Это позволяет выбирать для дальнейшей селекции те особи, которые больше соответствуют нашим хозяйс- твенным требованиям. Так возникло уже много родов и ли- ний пчел, значительно отличающихся от исходных популя- ций. От сильно склонного к роению подвида краинской пчелы выведены значительно менее ройливые породы Скле- нарка, Троисецк, Песхец (Австрия), Татранка (Чехия), от подвидов итальянской и кипрской пчелы - золотистая аме- риканская, от расы среднеевропейской пчелы происходит большинство наших селекционных линий. По мнению ученых, селекция и отбор в течение хотя бы нескольких лет дают в итоге селекционный материал с более однородными мор- фологическими характеристиками. Можно предположить, что унификация внешних характеристик сопровождается все большим генетическим единообразием этих линий, то есть селекционная ценность маток, происходящих из этих ли- ний, с каждым годом возрастает. Билаш, который сравнивал производительность семей разного происхождения в Рязанской области, отметил, что группа, выведенная путем селекции (пчела среднерусская) превышает по производительности не только исходную по- пуляцию (на 59%), но и гетерозис-ный гибрид среднерусс- кой и кавказской пчел (на 22%). Упомянутый гибрид давал во время трехлетних исследований на 25-35% больше меда, чем неселекциониро-ванная среднерусская пчела. По срав- нению с гетерозис-ными гибридами селекционированные матки имеют то преимущество, что передают положительные черты молодым маткам и трутням и таким образом способс- твуют постоянному улучшению поголовья на пасеках. Пче- ловоды-практики используют это, воспитывая маток из ма- териала, происходящего из лучших семей. Производитель- ность пасек в этом случае постоянно растет, превышая как правило, производительность соседних пасек, где се- лекционная работа не ведется.
В зависимости от качества пчел, можно выбрать один из трех методов улучшения их поголовья:
1) проводить селекционную работу над собственным
материалом;
2) улучшить качества имеющихся пчел чертами
другой популяции (линии, расы), из этого материала
провести отбор и вести дальнейшую селекционную работу;
3) приобрести новых пчел с определенными потре-
бительскими качествами и дальнейшую работу базиро-
вать на них.
Первый способ может применяться на любой
пасеке, где часть семей отличается постоянными
хорошими характеристиками, высокой производитель-
ностью меда и воска, малой склонностью к роению, хо-
рошим соотношением пика размножения со сроками ме-
досборов и т. д.
Постоянная работа по исключению наихудших маток и
замена их матками, воспитанными в лучших семьях, уже
через три-четыре года заметно повышает производитель-
ность пасеки. Как пример эффективности селекционной ра-
боты приведем результаты, полученные Рутнером: от ис-
ходной матки, которая дала 115% продукции по отношению
к среднепасечной, воспитали маток первого поколения F1,
с производительностью 162%. Второе поколение F2 дало
продукцию 133-146%. В лучшей семье воспитали матки по-
коления F3, которые повторили результат в 146% по отно-
шению к среднепа-сечному. В приведенном примере замена
всех маток на пасеке на дочерние от исходной матки, ко-
торая, как оказалось, хорошо передает высокую медовую
производительность потомству, подняла производство меда
на пасеке примерно на тридцать процентов. При этом воз-
росла селекционная ценность маток, поскольку все или
почти все матки генетически передавали дальнейшим поко-
лениям черты высокой производительности.
Второй способ применяется тогда, когда пчеловод же-
лает облагородить собственный исходный материал ка-
кой-либо дополнительной чертой или чертами, отсутствую-
щих у его пчел. "Облагораживание" происходит через од-
но-двухкратную замену собственной матки маткой из ли-
нии, отличающейся желаемыми характеристиками или же че-
рез осеменение собственных маток трутнями соответствую-
щей линии. Дальнейшую селекционную работу нужно вести
на скрещенном материале. Этот способ требует больше
времени для выравнивания качеств пчел, но дает большие
возможности выбора из разнообразного материала.
На полную замену поголовья можно решиться в случае,
если пчелы на пасеке не имеют никаких положительных
черт. Проще всего сделать это, в течение ряда лет при-
меняя на пасеке маток из выбранной линии. Спустя нес-
колько поколений они и их дочери обновят все поголовье.
Селекцию проводят, выбирая для исходной группы наиболее
типичных для данной линии маток.
Явление гетерозиса В селекции животных применяют межрасовое скрещи- вание, в селекции растений - межсортовое. В пчело- водстве, где понятие расы очень широко, применяют еще межлинейное скрещивание. Некоторые гибриды демонс- трируют явление гетерозии (усиление гибридов), которое имеется в первом поколении гибридов и не повторяется в последующих. У пчел гетерозис проявляется, среди проче- го, в увеличении продолжительности жизни, лучшем разви- тии семьи и большей медовой производительности. Генети- ческий механизм гетерозиса до конца не изучен. Мы лишь знаем, что суть его в соединении в первом поколении различных характеристик родителей. Если, к примеру, матка из чистой линии "Л", получившая от матери и отца черты АБВГ была скрещена с трутнем линии "К", с чертами ДЕЖЗ, полученными от отца и от матери, то первое поко- ление F1 гетерозисных гибридов будет обладать чертами АБВГДЕЖЗ. Но в дальнейших поколениях этот набор черт проявляться не будет. Матка первого поколения гибридов будет производить шестнадцать типов различных по- гене- тическому коду яиц - все возможные варианты соединений черт отца и матери: АБВГ, АБВЗ, АБЖЗ, АЕЖЗ, ДЕЖЗ, ДЕЖГ, ДЕВГ, ДБВГ, АЕВЗ, ДБЖЗ, АЕВГ, ДБЖЗ, АБЖЗ, ДЕВЗ, АЕЖГ, ДБВЗ. Столько же будет производиться и типов трутней. В сумме во втором поколении будет 16х16 = 256 различных комбинаций генетического кода черт, которые, как мы предположили, обуславливают гетерозис. Но такая комби- нация, как в F1, которая дала высокую производитель- ность первого поколения, возможна только в одном случае из 256, то есть лишь одна из 256 маток будет так же производительна, как в F1; остальные будут обладать различным набором черт, в ряде случаев неценных. Так выглядела бы вероятность получения ценной особи во вто- ром поколении F2, если бы высокую производительность обуславливали четыре пары генов. Но производительность зависит от значительно большего их числа и различных дополнительных факторов. Например, при семи парах генов только одна из 2401 маток была бы генетически такой, как в F1 (49х49 комбинаций и черт); однако неизвестно, сколько именно этих генов, возможно, их намного больше. В F3 наступает дальнейшее расщепление генов и получить их полезное сочетание еще труднее. На пасеках, где никогда не вводился посторонний ма- териал, определенный, хотя и неравномерный уже гете- розис может удержаться еще и во втором поколении, вследствие новых скрещиваний местных пчел (трутней) с матками чужой расы (линии). Равномерное, прогнози- руемое увеличение медовой производительности в пер- вом поколении F1 получаем только в случае скрещива- ния генетически чистого материала (чистые линии, ра- сы) с проверенным эффектом гибридной силы. Скрещива- ние выбранных случайным образом особей может не дать гетерозиса вообще или давать в F1 материал весьма неравномерный. Возможно, некоторые семьи окажутся высокопроизводительными, но, вместе с тем, будет много семей низкой производительности и хозяйственной ценности. В третьем поколении F3 в лю- бом случае наблюдается резкое уменьшение производи- тельности семей, как правило, ниже среднего местного уровня. Об этом упоминают многие исследователи. К примеру, Драгер (Германия), исследуя продуктивность гибридов, полученных скрещиванием местных пчел с краинской, отме- тил следующие производительности (100% - местный уро- вень): F1 - 155-182 %, F2 - 128-147%, F3 -меньше 100%. Рутнер скрещивал линию Скленар с местной австрийской пчелой. Первое гибридное поколение дало 196% средней продукции с пасеки, F2 - уже только 116%, а F3 - 69%. По данным Боярчука, медовая производительность дальней- ших поколений межрасовых гибридов понижается у нас до 1/3-1/5 производитель- ности местных пчел. Из этого краткого обзора следу- ет, что использование на пасеках гибридных маток, обеспечивающих гетерозис пчел, - операция временного эффекта, не дающая перспективы длительного улучшения ценности поголовья, и даже грозящая понижением производительности пчел вследствие дальнейшего неконт- ролируемого скрещивания следующих поколений. При этом следует помнить, что понижение производительности сле- дующих поколений гибридов заденет не только пасеку, на которой используются гибриды, но и все соседние. Даль- ние полеты маток, трутней и роев в очень скором времени приводят к "смешению" рас. Первоначально это может даже поднять производительность пасеки (когда чужие трутни соединяются с местными матками, давая поколения гибри- дов). Но через два-три поколения общая производитель- ность пасек упадет ниже средней для того периода, когда в округе не было чужих рас. Это неизбежно при нынешнем уровне пасечного хозяйства и замене маток при помощи роевых или самосменных маточников. А ведь 90% пчелово- дов меняют маток именно так. Следствие перекрещивания поголовья - невозможность сохранить чистый генетический материал для селекции. Через несколько лет его не останется ни на одной пасеке в округе. Возвращение к местной пчеле с известными свойствами станет для пчеловодов невозможно. Увеличение производительности пасеки при помощи гиб- ридов - очень сложное дело, которое требует плановой селекции на уровне региона, которая давала бы чистые расы (линии) чужих пчел, а также предотвращала бы их стихийное скрещивание с местной пчелой. Межрасовые гибриды
Сегодня уже не подлежит сомнению,
что использование на пасеках некоторых межрасовых
гибридов в определенных регионах может обеспечить
серьезное повышение производительности семей. Речь
идет о пчеле высокогорной кавказской (серой горной
грузинской)
- Apis mellifica caucasica Gorb и о пчеле краин-ской -
Арis mellifiса саrniса Ро11., скрещенных с различными
линиями местных пчел. Опыты проводились на опытной па-
секе в Пугавах (Польша) и показали следующее. Средняя
продукция меда в группе кавказских маток, осемененных
местными трутнями, была вдвое выше, чем в контрольной
группе местных маток, осемененных местными трутнями. В
группе местных маток, осемененных кавказскими трутнями,
значительного увеличения собранного меда не наблюда-
лось. Состав медосборов: сады, озимый рапс, гречиха,
красный клевер. Таранов приводит пример, характерный
для медоносно-климатических условий средней России:
производительность гибридов серой горной пчелы с мест-
ными на 44% выше производительности местных пчел. Дра-
гер (Германия) скрещивал краинку с местной пчелой, по-
лучая производительность гибридов первого поколения,
равную 155-182% производительности местных пчел.
Однако в некоторых отношениях гибриды местной и кав-
казской пчел оцениваются негативно, в основном, в реги-
онах, где длинные зимы, преимущественно весенний медос-
бор, и нет красного клевера. Для этих мес-тностей боль-
ше подходят либо гибриды местной пчелы и краинской, ли-
бо раса местных пчел (соответствующие линии или их гиб-
риды). На практике лучшие результаты дает скрещивание
матки кавказской или краинской пчелы с местным трутнем,
нежели обратное, причем
характеристики пчел-гибридов приближены к материнской
расе. Пригодность к скрещиванию отдельных селекцион-
ных линий местных пчел также разная. Первое поколе-
ние гибридов пчелы высокогорной кавказкой имеет сле-
дующие достоинства: они легко переключается на новые
источники медосбора, слабо роятся, трудолюбивы, дол-
го живут, незлобивы, держатся на сотах и - главное!
- имеют длинный хоботок,
позволяющий брать нектар с цветов, недоступных местной
пчеле. Подобные же черты имеют и гибриды краинки с
местными линиями, они отличаются более ранним разви-
тием, лучше переносят длительную зимовку. Однако
прежде чем решиться завести на пасеке межрасовых
гибридов, нужно учесть несколько фактов, которые мо-
гут повлиять на экономическую целесообразность по-
добного шага. Прежде всего, матки чужих рас очень
неохотно принимаются семьями местных
пчел, что грозит пчеловоду дополнительными заботами.
Помимо этого, пчелы часто "самовольно меняют" многих из
этих маток еще до зимовки или в самом начале следующего
сезона. В регионах с длинной зимой гибриды кавказкой
пчелы могут плохо переносить зимовку, часто гибнут мат-
ки, очень трудно сохранить их "расовую чистоту".
По данным Губина и других авторов, подвиды пчелы ме-
доносной - кавказская и краинская, а также их гибриды с
пчелами среднеевропейской расы мало устойчивы к нозема-
тозу. Кавказская пчела неустойчива к гнильцу. Обе расы
и гибриды от кавказских маток отличаются склонностью к
воровству, а, кроме того, матки этих групп легко прони-
кают через разделительную решетку. При некоторых медо-
носно-климатических условиях гибриды кавказских и мест-
ных пчел трудно подготовить к ранним медосборам (рапс,
акация); плохо используется вереск и совсем не исполь-
зуется падь. Запасы накапливаются прежде всего в гнез-
де, поэтому ограничивается размножение. Отсюда следует,
что для использования длительных (перекрывающихся) и
интенсивных медосборов эти гибриды не совсем пригодны.
Брат Адам, известный в Польше монах-пчеловод, утвержда-
ет, кроме того, что кавказские пчелы плохо застраивают
соты (с мостиками, перегородками и т. д.), залепляют
воском все свободные пространства, что сильно затрудня-
ет уход за ними. В Красной Поляне (Россия) проводилась
селекционная работа по улучшению таких важных черт кав-
казской высокогорной пчелы, как способность к хорошей
зимовке и интенсивность развития, и увенчалась заметны-
ми положительными результатами.
Что касается краинских пчел, то следует обратить
внимание, что они прерывают размножение, как только
прерывается медосбор. Это в наших условиях опасно, осо-
бенно осенью и тогда, когда взятки следуют один за дру-
гим с большими или меньшими перерывами. Пчел в таких
случаях нужно сразу же подкармливать. Некоторые популя-
ции краинской пчелы и их гибриды проявляют довольно
значительную склонность к роению.
Считаясь с особенностями самих кавказских и краинс-
ких пчел, пчеловод не может не считаться и с некото-
рыми чисто техническими моментами, связанными с
обеспечением пасек гетерозисными гибридами и их ис-
пользованием. Чтобы поддерживать повышенную гетеро-
зисом производительность, нужно постоянно менять на
пасеке маток так, чтобы не появились гибриды F3, а
еще лучше и F2. Это означает, что каждый год нужно
покупать половину требующегося для замены количества
маток или через год покупать все необходимые для замены
матки, и, кроме того, иметь некоторое количество "про
запас" (для замены маток "самовольной смены", роевых и
запасных из второго-третьего поколений). Вместо
плодных маток нужных подвидов или рас можно обзавес-
тись неосемененными. В этом случае добавляется еще
риск, связанный с осеменением. Пчеловоду нужно обес-
печить чистый отцовский материал не только в данный
момент, но и в последующие годы, а
это год от года труднее. Там, где в течение нескольких
лет используют гибриды Р, продукция заметно падает
именно в связи с отсутствием чистого отцовского ма-
териала. Тот же эффект неизбежен и при третьем воз-
можном выходе, которым охотнее всего пользуются пче-
ловоды: при покупке чистых в расовом отношении пле-
менных маток чужих рас. Пчеловод воспитывает от них
дочерних маток и осеменяет на собственной пасеке. В
ближайшем будущем ему придется покупать исходные матки
местных пчел и воспитывать трутней, а также организовы-
вать контроль за осеменением. Кто знает, не дешевле ли
обойдется уже упомянутая покупка достаточного количест-
ва плодных маток F1? Уже сегодня высокоспе-циализиро-
ванные пасеки пользуются этим способом.
Таранов рекомендует для сильных и обособленных пасек
в центральных и южных районах России несколько иной
способ. В первый год неосемененные кавказские матки
осеменяются местными трутнями из лучших семей - в от-
водках, чтобы не нести потерь в продукции меда. Этими
осемененными матками заменяются все матки на пасеке. В
следующем году гибриды производят мед. Все трутни после
кавказских маток в течение двух лет уничтожаются.
В следующие два года делается обратное скрещивание.
Поскольку все трутни на пасеке будут кавказскими, вос-
питываются местные матки, их осеменяют на пасеке и за-
меняют ими маток на всей пасеке. Затем двухлетние циклы
повторяются. Условия успеха - точное сохранение тож-
дественности маток, соблюдение сроков, обособленность
пасеки или точная координация действий с соседними.
Межлинейные гибриды
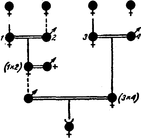
Местные пчелы всегда лучше прис- пособлены к местным условиям. Благодаря изменчивости из них можно отобрать линии, отличающиеся генетичес- кой структурой. Соответствующим образом подобранные линии могут дать гетерозис. Это более безопасный и менее дорогостоящий путь. Межлинейное скрещивание не ведет к сильному разбросу характеристик, поскольку основывается на более однородном материале, приспособившемся к нашим погодным условиям. Поэтому опасаться таких неприятных последствий, как при использовании межрасовых гибридов, не приходится. В США этот метод широко применяется на практике. Для усиления эффекта там проводится двойное скрещивание, когда гибридами являются и матка (увеличенный засев), и пчелы-работницы (более интенсивная работа пчел-сбор- щиц). Исходный материал дает 4 соответствующим образом подобранные чистые линии. Пчеловод покупает: маток ли- нии 1 х трутней линии 2, маток линии 3 х трутней линии 4. После скрещивания 1х2 воспитывает маток-дочерей, ко- торые являются гибридами F1 линии 1х2. После скрещива- ния 3х4 получает маток-гибридов по линии 3х4 и воспиты- вает от них трутней для осеменения предыдущих маток (гибридов 1х2). Пчелы-работницы от этих маток будут двойными гибридами (1х2) х (3х4), что графически ил- люстрировано на рис. 38. Скрещивая чистые линии, всегда получаем более ровную производительность, чем при производстве гиб-

Рис. 38. Образование двойных гибридов у пчел (по Дж. Войке).
ридов из отдаленных географически рас, сос-
тоящих из неоднородных популяций. Пример: средняя
производительность гибридов среднерусской и неодно-
родной по морфологическим признакам кавказской пче-
лы, по Таранову, составляет 144%. Скрестив чистую
краинскую линию Скленар с местной пчелой, тоже краинс-
кой, Рутнер получил пчел F1, показывавших производи-
тельность в 196%. Последний гибрид предпочтительнее и с
той точки зрения, что по округе расходится материал, не
влияющий негативно на производительность соседних па-
сек.
Линии, селекционируемые в течение ряда лет, гаранти-
руют, что материал однороден, и производительность ма-
ток будет колебаться вблизи среднего значения. Однако,
в связи с постоянным родственным скрещиванием, может
наблюдаться слабое развитие некоторых семей, проявляю-
щееся в том, что матка откладывает в пчелиные ячейки
трутневые яйца. Пчелы съедают появляющихся из них личи-
нок, вследствие чего расплод не скомпонован в опреде-
ленном месте, а разбросан по соторамке. Это типичная
картина последствий родственного скрещивания. В случае
появления на пасеке таких маток можно попытаться обра-
титься на соседнюю пасеку, если там в течение ряда лет
также велась селекция местных пчел. Несколько маток с
соседней пасеки осеменяют на своей пасеке или же посы-
лают своих маток для осеменения на пасеку соседа. Влия-
ние соседней линии будет больше в первом случае. После
одноразовой замены материала проводится соответствующая
селекция и отбор. Если линии дали заметное и ровное по-
вышение производительности, из них можно получить гете-
розисных гибридов.
X. ЗАМЕНА МАТОК НА ПАСЕКЕ
В современном пасечном
хозяйстве пчеловоду приходится контролированно заме-
нять маток, не допуская их стихийной замены, которая
делает невозможной регулировку срока, возраста, ка-
чества и числа сменяемых маток. В естественных усло-
виях замена матки в
пчелиной семье происходит или через роение, или путем
воспитания молодой матки в присутствии старой ("само-
вольная смена"). Отрицательное воздействие этого на ре-
зультаты хозяйствования уже были оговорены в разделе V.
Здесь следует упомянуть об опасности селекционирования
пасеки в сторону увеличения рой-ливости, которое неми-
нуемо, если постоянно использовать маточники роящихся
семей. "Самовольная смена" имеет место, если находящая-
ся в улье матка старая, изнуренная, больная или искале-
ченная и не обеспечивает семье развития или сохранения
до следующего сезона. У хорошего хозяина до "самоволь-
ной смены" дело никогда не доходит, плохую матку своев-
ременно заменяют молодой, воспитанной под руководством
пчеловода.
Частота замены маток зависит от биологических особенностей пчел, качества медос- бора, климата и, наконец, методов пасечного хозяйс- тва. В естественных условиях матки живут от двух до шести лет, а иногда и дольше. Этот факт используется по отношению к сортовым маткам, после которых пчеловод хочет иметь как можно больше дочерних маток. Однако вообще в пасе- ке, производящей мед, не стоит содержать маток дольше, чем два года. Это имеет свое обоснование, как хозяйс- твенное, так и биологическое. В течение жизни средняя пчеломатка может произвести около 500 тысяч яиц. Матка с максимальной носкостью 2000 яиц в день в течение се- зона откладывает 200 тысяч штук. Простой подсчет пока- зывает, что в третьем сезоне откладка яиц понижена. Кроме того, молодые матки обеспечивают семье лучшее ве- сеннее и осеннее развитие, сильнее реагируют на проти- вороевые мероприятия, откладывают меньше трутневых яиц, влияют на лучшую зимовку семьи и сами лучше зимуют. Старые матки производят меньше яиц и маточного вещест- ва, чаще гибнут зимой или ранней весной, иногда вследс- твие нехватки в семяприемнике сперматозоидов дают к концу жизни некомпактно расположенный, "горбатый" за- сев. Матка изнашивается тем быстрее, чем интенсивнее кла- дет яйца. Если медосбор богатый и длительный, или если стоит неблагоприятная погода, пчелы-сборщицы гибнут ча- ще. Поэтому необходимо поддерживать высокий уровень носкости, чтобы обеспечить воспитание новых отрядов пчел. В период максимальной яйцекладки вес яиц больше веса тела матки. Этот период может длиться довольно долго, и матка стремительно изнашивается (исчерпывает свои биологические возможности). Возникает необходи- мость ежегодной замены маток. Ежегодно маток меняют в хозяйствах, интенсивно использующих медосбор и где нуж- но постоянно поддерживать силу семей на высоком уровне. Возраст матки влияет на производство меда: в семье с трехлетней маткой меда производится почти на треть меньше, чем в семье с маткой-однолеткой.
Сроки замены маток могут определяться
по различным параметрам:
1) по оптимальному сроку воспитания полноценных маток;
2) по сроку наилучшего приема пчелами новых маток;
3) по периоду,когда легче всего найти старую матку,
предназначенную для замены;
4) по сроку, соотнесенному с медосборными условиями
и методами хозяйствования.
Оптимальное время для воспитания маток - период роевого
настроения (биологическая зрелость семей), а также
наличие умеренного медосбора (корма). Если этот пе-
риод также подходит для данной операции с точки зре-
ния используемых методов
хозяйствования, с заменой не стоит мешкать. В это время
пчелы-работницы охотно принимают маток, поскольку в пи-
ке своего развития сами готовятся к их замене. Также
благоприятное для замены маток состояние семей отмеча-
ется во время хорошего медосбора. В обоих случаях в
семье уже прошел период массового прибывания пчел, ког-
да основное внимание было обращено на матку. Кроме то-
го, во время медосбора большинство летных пчел работает
в поле, а молодые пчелы всегда принимают чужую матку
более благожелательно. Матки принимаются хуже, когда
семья еще не закончила биологического развития, но уже
сильная. Весной и в конце августа-начале сентября, ког-
да в семье преимущественно молодые пчелы, матки прини-
маются легко. Осенью, однако, замена маток производится
лишь в исключительных случаях; большинство семей должны
получить их как можно раньше, чтобы семьи готовили к
зиме уже молодые матки.
Пчеловоды, как правило, очень не любят отыскивать
старых маток - очень уж это трудоемкое занятие. Особен-
но много времени оно занимает в сильных семьях. Это,
пожалуй, основная причина, из-за которой пчеловоды от-
тягивают замену маток до окончания медосбора и частич-
ного ослабления семей. Однако матки в это время прини-
маются менее охотно, а если медосбор полностью отсутс-
твует, то требуется много дополнительных операций (под-
кормка семей, изоляция маток в клеточках и т. д.) - в
итоге трудоемкость всего процесса не уменьшается.
Чаще всего срок замены маток диктуется характером
медосбора и методом его использования. Любая замена
влечет за собой перерыв в откладке яиц на несколько (до
десятков) дней. Следует стремиться, чтобы этот перерыв
как можно менее затруднял медосбор. Если медосборы
краткие (две-три недели), то молодую матку дают за
семь-восемь дней до его начала. При длительном медосбо-
ре (пять-шесть недель), лучшее время для замены матки -
через 2,5-3 недели после его начала. Если имеются нес-
колько очередных взятков, замену маток следует произ-
вести в начале цветения последнего растения или нес-
колько раньше. Сроки даны в расчете на неосемененных
маток (или маточники), когда перерыв в яйцекладке длит-
ся около двух недель. Если взамен старых давать плодные
матки, то влияние операции на производительность пасеки
будет меньше, поскольку яиц в семье не будет только
три-четыре дня. В этом случае срок замены "привязывают"
к периоду, благоприятствующему воспитанию маток.
Помимо массовой замены маток на всей пасеке, по мере
надобности в течение всего сезона, производится за-
мена (из числа запасных маток) больных, увечных,
плохо откладывающих яйца маток.
Как правило, пчеловоды не покупают
маток на специализированных пасеках, а воспиты-
вают нужное в хозяйстве количество сами.
Племенные семьи и семьи-воспитательницы Племенными семьями называются семьи, в которых матки дают материал для воспитания дочерних маток и трутней. Племенные матки - самые лучшие, отобранные по результатам двух сезо- нов "работы" на пасеке (то есть по крайней мере двухлетние), очень ценные. Чтобы обеспечить им как можно более долгую жизнь, с третьего сезона их содержат в пяти-семирамоч- ных отводках. Здесь матка по необходимости откладывает немного яиц и изнашивается не так быстро. Чтобы воспре- пятствовать роению так тесно содержащейся семьи, улей в полдень ставят на другое место, всегда рядом с ка- кой-либо семьей или отводком, чтобы вызвать отлет лет- ных пчел (операция проводится, когда в отводке появля- ются роевые маточники). Материал (личинки), изымаемый из племенных семей для воспитания маток, должен быть одного возраста, посколь- ку пчеловод должен знать, когда маточники будут запеча- таны, когда нужно изолировать одновременно выходящих маток, на какое время готовить отводки или нуклеусы. Лучше всего сделать так: в специальный проволочный изо- лятор помещают кусочек светлого сота и закрывают в изо- ляторе матку. На следующий день проверяют откладку яиц и выпускают матку или же оставляют ее еще на несколько часов, если яиц слишком мало. Кусочек сота в изоляторе оставляют в улье, пока из яиц не выйдут личинки и не достигнут соответствующего возраста. Через 2,5-3 дня после выхода первых личинок его переносят в семью-вос- питательницу. Если практикуется вывод матки из личинок, личинки отбирают как можно более молодые. Возраст личинок оказывает сильное воздействие на ка- чество воспитанных из них маток. Решающим фактором фор- мирования организма матки или пчелы-работницы является получаемый личинками корм. Поэтому чем дольше личинка остается в пчелиной ячейке, тем дольше получает несоот- ветствующее формированию матки питание. Помимо материнских семей в селекционной группе куль- тивируются и семьи отцовские. Воспитание ценных трутней очень важно. В семьях, отличающихся высокой медовой производительностью, трутней немного. В то же время для осеменения каждой матки требуется, в среднем, десять трутней. Желая обеспечить определенный их избыток (для селекции), на каждые сто маток следует предусмотреть одну-две соторамки трутневого расплода. На развитие трутня (от яйца до половой зрелости) требуется не менее 33 дней. Кроме того, определенное время требуется на засев трутневых сотов. Поэтому на воспитание большого числа трутней следует отвести около шести недель. Поскольку матки будут готовы к осеменению через 21-24 дня, к воспитанию трутней следует присту- пить на десять - двенадцать дней раньше (см. табл. 11). Семьи, которые ухаживают за отданным им племен- ным материалом, называются семьями-воспитательницами. Если от селекционных семей требуется лишь обеспечение соответствующего происхождения маток и передачи им нуж- ных черт, то семьи-воспитательницы призваны обеспечить будущим маткам как можно лучший уход, дать им хорошее физическое развитие. Поэтому семьи-воспитательницы должны быть очень сильными, в них должно быть много производящих молочко кормилиц, в семье должны иметься большие запасы меда (семь-восемь килограммов) и пыльцы (два-три сота), которыми питаются молодые пчелы, выде- ляющие молочко. Семьи-воспитательницы должны находиться в стадии полной биологической зрелости. Если медосбор отсутствует, их нужно постоянно подкармливать. Перед тем, как давать личинок на воспитание, в семье-воспитательнице следует обеспечить нужную степень тесноты (пчелы не помещаются на рамках). В семье должен преобладать печатный расплод, которым эти семьи можно даже усиливать. В улье Дадана пчелы должны занимать двенадцать-четырнадцать сотов (в том числе девять-де- сять с расплодом), а в великополь-ском стояке - оба яруса. Структура гнезд в семьях-воспитательницах зависит от метода хозяйствования и типа улья. В гнезде всегда должно находиться несколько рамок открытого расплода, который будет свидетельствовать об уровне производства молочка в семье. Наличие открытого расплода - гарантия обильного кормления селекционных личинок с момента их поступления. Пчелы отстраивают маточники, когда ощущают недоста- ток маточного вещества, информирующего семью о наличии матки. При искусственном выведении маток практикуется изъятие матки на четыре-пять часов перед подачей в улей селекционной рамки. За это время семья ощутит сиротс- тво, но еще не сумеет отстроить маточники и охотно за- ложит их на специально приготовленных ячейках. Селекци- онную рамку (или две) с личинками помещают в середину гнезда, между сотами с открытым расплодом, где скапли- ваются пчелы-кормилицы. Исследования, однако, показали, что наилучшие матки получаются в семьях, где матка не изымается, а изолиру- ется от пчел, чтобы контакт пчел-работниц с маточным веществом был затруднен. Этот метод можно применять только в очень сильных семьях и во время хорошего ме- досбора. Гнезда при этом составляют как показано на рис. 39. Этот метод не способствует нормальному использованию семьей медосбора. В случае возникновения роевого наст- роения в части улья с маткой, следует временно отобрать матку или перенести запечатанные селекционные маточники в другую безматочную семью.

Рис.39. Структура гнезд семей-воспитательниц при воспитании в присутствии матки: а-в стояке; б-в лежаке
Самые простые методы - не требующие перекладыва- ния личинок. Рамки с трехдневными яйцами или с од- нодневными личинками из изолятора селекционной семьи дугообразно подрезают, а на половине высоты сота вы- резают прямоугольник 4х20 см; в сумме это даст место примерно для двадцати маточников. Чтобы избежать двойной отстройки маточников, на верхнем краю надреза с одной стороны сота оставляют каждую третью личинку, а на противоположной стороне удаляют все личинки на двух-трех рядах ячеек. Нужно также сделать ячейки напо- ловину мельче - тогда пчелам будет легче переделать их в маточники. В мастерской, где проводится эта операция, должна быть температура 25-30?С и большая влажность воздуха. Так подготовленную рамку помещают в середину гнезда семьи-воспитательницы. Через два дня нужно ос- мотреть все рамки, чтобы ликвидировать маточники, отс- троенные на неселекционных личинках и провести отбор принятых на воспитание селекционных личинок. Спустя во- семь-девять дней гнездо осматривается еще раз, нежела- тельные маточники ликвидируются, а селекционные - изо- лируются в клеточках или используются для замены маток. Подобным образом можно давать личинок на воспитание на полосках вощины, приклеенных воском к поперечным планкам пустых рамок, ячейками вниз. При этом также ос- тавляют только одну из трех личинок. Чтобы стимулиро- вать отстройку пчелами маточников и подачу личинкам свойственного для откорма маток молочка, обратным кон- цом карандаша несколько расширяют ячейки, в которых ос- тались личинки. Для изоляции в обоих случаях используют клеточки Мейера
Рис. 40. Маточниковая клеточка Мейера
(с колечком),
см. рис. 40. Ликвидация "диких" и изоляция племенных
маточников за два дня до выхода маток обязательны,
так как первая вышедшая матка ("дикие" могут быть
заложены раньше) уничтожит всех остальных. Вырезка
маточников из сота
выполняется подогретым ножом. В клеточки помещают нем-
ного сахарно-медового теста и по три-четыре пчелы,
которые помогут матке прогрызть маточник и выбраться
наружу. Улучшенная разновидность метода состоит в
вырезании из засеянного сота единичных ячеек и нак-
лейке их на пробки, прикрепленные воском к планкам
рамки. Ячейки делают более мелкими и расширяют, как
в предыдущем случае; в окружающих (разрезанных)
ячейках не должно быть ни личинок, ни яиц. Для изоляции
пробку отламывают вместе с маточником и помещают в
клеточку Зандера (рис. 41), куда, как и в предыдущем
случае, помещают также сахарно-медовое тесто и
пчел-опекунов. Лучшим методом, обеспечивающим обиль-
ное кормление помещенного в семью племенного материала,
Рис. 41. Маточниковая клеточка Зандера
является воспитание маток в искусственных маточниках с двойной перекладкой личинок. Восковые мисочки изготавливают из разогретого чистого воска (без примеси оконной замазки). В воск несколько раз (с каждым разом мель- че и мельче) погружают деревянную палочку диаметром восемь-девять миллиметров. Перед первым погружением палочку всякий раз окунают в вазу, чтобы воск легче отставал от шаблона. В искусс- твенные заготовки маточников, которые крепятся к рам- кам, помещают любых личинок (затем они будут убраны). Предварительно, однако, на дно каждой мисочки помещают капельку (величиной с просяное зерно) молочка, которое следует приготовить предварительно, временно осиротив какую-либо семью. Личинок переносят специальными метал- лическими ложечками, доставать их удобнее из наполовину укороченных ячеек. Конец ложки подводит под личинку со стороны спинки и поднимают с личинкой вверх. Затем об- ратным движением помещают личинки в мисочку, на каплю молочка. Этой простой манипуляции следует научиться за- ранее, чтобы работа над племенным материалом длилась не более 20-25 минут. При этом в комнате должно быть тепло и влажно. Через день рамки вынимаются и переносятся в мастерскую, вынимаются положенные накануне личинки, и в мисочки, которые пчелы обильно снабдили молочком, кла- дутся как можно более молодые селекционные личинки.
Таблица 11. Стадии развития матки и трутня

Таблица 12. Календарь воспитания маток из однодневных личинок

Чтобы облегчить планирование работ, связанных с вос- питанием маток и трутней, в табл. 11 приведены сроки отдельных стадии развития матки и трутня, а также при- мерный календарь воспитания матки (табл. 12) самым простым способом: в безматочной семье, среди открытого расплода, без перекладывания личинок. Если подобран ценный селекционный материал, и хорошо подготовлена семья-воспитательница, то даже самым простым методом можно получить больших, производительных маток.
Большая часть методов замены маток связывается
с необходимостью предварительного изъятия
старой матки. Отыскать матку легче в слабой семье, в
то время, когда большая часть пчел находится вне
улья; легче найти ярко помеченную матку, хорошо
откладывающую яйца и медленно движущуюся по сотам. Пче-
ловод должен вести себя правильно: эту работу нужно
проводить очень осторожно и почти без дыма. Матка чаще
всего находится на сотах с расплодом, напротив летка.
Поэтому лучше всего начинать осмотр не с медового мага-
зина, а с защитного сота (сота прикрытия), расположен-
ного у противоположной стены. По возможности тихо сни-
мают маты, затвор, затем отодвигают или вынимают край-
ний сот, на котором матки, скорей всего, не окажется,
затем осматривают следующие. Вынув сот, нужно осмотреть
открытую поверхность следующего, и только потом осмат-
ривать вынутый. Если осмотр проводится умело, матка
обычно отыскивается на третьем или четвертом соте. Пос-
кольку матка прячется от света, перед осмотром можно
снять межрамочную прокладку
с последней (или двух последних) улочки, чтобы не дать
матке уйти в другой конец улья. Если после осмотра
всех сотов матка не найдена, придется провести пов-
торный осмотр гнезда. Чтобы было лучше видно, из
тесных ульев часть сотов вместе с пчелами временно
помещают в емкость для транспортировки. Несколько
раз осматривать гнездо не
рекомендуется - среди потревоженных пчел отыскать матку
будет все труднее, поскольку она может передвигаться не
только по сотам, но и по стенкам, дну, матам. Поэтому,
если двукратный осмотр не принес результата, лучше от-
ложить поиск матки до следующего дня. В исключительных
случаях можно пчел со всех сотов просеять через разде-
лительную решетку, помещенную на часть улья. Если в
распоряжении матки два корпуса, лучше всего быстро раз-
делить их, чтобы лишить и матку, и работниц возможности
переходить из корпуса в корпус. Матка обычно находится
в верхнем корпусе и именно с него следует начинать ос-
мотр.
Найденную на соте матку накрывают колпачком, а затем
переселяют в клеточку. При определенной сноровке лучше
всего просто брать ее рукой. Если, однако, матка сумеет
вырваться, снова найти ее будет очень трудно. Вокруг
убегающей матки работницы могут образовать клубок.
После того, как матка изъята, нужно дать работницам
почувствовать сиротство, и через четыре-семь часов
впустить в улей новую матку.
Способ временного изолирования маток от работниц при помощи клеточек (колпачков) наиболее распространен. Клеточку, в зависимости от конструкции, подвешивают в центре гнезда или вправ- ляют в сот, вырезав кусочек вощины. Можно поместить клеточку на срединной планке рамки-"индикатора", перенесенной в центр гнезда. Под планкой соберется много молодых пчел, которые охотно примут матку; легко контролировать, при- нята ли матка для чего достаточно поднять подвижную верхнюю планку; в этом случае нет нужды беспокоить всю семью. Если семья спокойна, имеется хороший медосбор, а в семье много молодых работниц, то дверцу клеточки можно заменить куском вощины или даже куском сахарно-медового теста. Если матка очень ценная, безопаснее продержать ее под колпачком в течение суток, и, только убедившись, что работницы кормят ее через сетку и настроены благо- желательно, заменить дверцу на вощину (тесто). Если пчелы хватаются за сетку усиками, облепливают клеточку своими телами, пытаются залепить воском, значит, семья не принимает матку. Нужно внимательно осмотреть гнездо и уничтожить отстроенные пчелами маточники. Матку еще на день оставляют под колпачком. Если семья упорно не желает признавать "чужачку", поступают так: изъятую из семьи матку в клеточке на сутки помещают в семью, а затем в той же клеточке, на то же место ставят новую матку. Практики считают этот способ безотказным. Не столь хлопотна, но так же надежна подсадка новой матки при использовании 95-процентного спирта. Матку запирают в клеточке лю- бого типа, отверстие, через которое пчелы должны ее выпустить, залепляют сахарно-медовым "замком". На дно улья помещают небольшое плоское блюдечко с клочком ваты и спиртом. Количество спирта зависит от величины гнезда: на восемь великопольских рамок достаточно 1,5 чайной ложки, на восемь дадановских рамок - две чайные ложки. В отводках и слабых семьях спирта используют меньше. На блюдечко помещают проволочную сетку, чтобы обезопасить пчел (топящиеся сразу гибнут). Клеточку с маткой помещают на дне или недалеко от дна (вправляют в сот или подвешивают на проволоке), на определенном расстоянии от испаряющегося спирта. В многокорпусном улье клеточку с маткой и спирт помещают на верхние планки нижнего корпуса (это легко сделать, вынув од- ну-две рамки верхнего корпуса). Спирта берут только в расчете на объем верхнего корпуса. Описанным способом можно подсаживать матку как не- посредственно после изъятия старой, так и позднее. Он может оказаться неэффективным только в том случае, если безматочная семья уже стала отстраивать маточники. Поэ- тому, как и в описанных случаях, нельзя затягивать пе- риод сиротства более семи часов (через сколько времени пчелы начнут отстраивать мисочки для собственного расп- лода, зависит от многих факторов, в том числе от инди- видуальных особенностей семей). Для введения в семью маток других рас, очень ценных или же в неблагоприятных условиях используются колпачки из сетки или же изоляторы на всю рамку. Это делается для того, чтобы новая матка находилась в окружении мо- лодых пчел-работниц, а с остальной частью семьи столк- нулась только после формирования вокруг нее благожела- тельной свиты. Под колпачком должно находиться несколь- ко ячеек с медом (нектаром). Матку нужно выпустить из клеточки на сот и сразу же накрыть колпачком, который следует крепко вжать в сот. Колпачок снимают спустя два-четыре дня; часто случается, что к этому времени пчелы уже сами выпускают матку, перегрызя вощину. Еще более надежна изоляция сеткой всего сота с пе- чатным расплодом, на котором в момент подачи матки не должно находиться ни одной пчелы. Изоляцию снимают (сот помещают на то же место) только тогда, когда на соте появятся яйца, то есть через три-пять дней. На этом же принципе основана подача маток при помощи отводков, образованных из печатного расплода, готового к выходу, и пчел-работниц. Отводок формируют, когда уже имеется матка. К вечеру, когда в отводке останутся только молодые пчелы, им дают матку в клеточке, закры- той тестом, а если стоит хорошая погода и нет воровс- тва, выпускают прямо на сот. Когда матка начнет отклад- ку яиц, соты из отводка вместе находящейся на них мат- кой и пчелами переносят в середину гнезда (гнездовые рамки предварительно раздвигают). Делают это вечером, обе семьи опрыскивают ароматизированным жидким сиропом.
Временная изоляция маток всегда трудоемка и требует из- вестной сноровки. Матка будет принята в том случае, если "пропитается" запахом данного улья и "приучит" работниц к своему присутствию. Но можно давать маток в семью непосредственно через леток или на сот, основываясь на том, что матки всегда ведут себя в новой семье спокойно. Матку, предназначенную для введения в семью, помещают на сорок-пятьдесят минут в коробку от спичек, чтобы она проголодалась. Спустя это время на матку дуют: если она пытается взлететь - зна- чит, голодна. Можно воспользоваться и клеточкой, но на стенках ее могут остаться следы корма, вследствие чего матку требуется выдерживать в ней дольше. Вечером, ког- да семья уже спокойно сидит в улье, тихо подходят к не- му и, согнав пчел с летка небольшим количеством холодного дыма, прямо из рук, держа матку за туловище, выпускают ее в улей. Можно приложить (бесшумно) к летку спичечный коробок. Когда матка войдет в улей, выжидают несколько секунд, и уже энергичнее выпускают внутрь несколько клубов дыма. При- мерно через одну минуту осматривают леток, чтобы убе- диться, что матка не убежала из улья (это случается только в случае ее чрезмерной активности). Этим спосо- бом вводят как неосемененных, так и плодных маток, при любых погодных и медоносных условиях. Залог успеха - спокойное поведение матки и осторожные действия пчело- вода. В течение трех-четырех дней после введения матки семью нельзя беспокоить осмотрами, стуком и т. д. В противном случае матка может испугаться и убежать, а пчелы ее оклубят (собьются вокруг нее в клуб). Нельзя также рисковать, давая семье матку через леток, если период сиротства длится дольше семи-восьми часов. Опти- мальный срок подачи - через три-пять часов после изъ- ятия предыдущей. В этом случае старых маток приходится отыскивать сразу после полудня. Также нетрудоемка подача маток прямо на сот. Прово- дится в любую пору дня. Обязательное условие: хоро- шая погода и обильный медосбор. Вам гарантирован стопроцентный успех, если на пасеке такие условия, что вы сможете работать без дыма и сетки. Проголо- давшуюся матку помещают на вынутый из улья сот с нектаром. Голодная матка либо сама склоняется над ячейкой, либо ее сразу же начинают кормить находя- щиеся на соте кормилицы. Сот осторожно ставят на место и тихо закрывают улей. Этот метод удобен при подаче ма- ток отводкам с нелетными пчелами. Неосемененные матки, даже голодные, днем могут пытаться взлететь с сота. Плодные матки, которые введены через леток или на сот, как правило, на третий день приступают к откладке яиц. Через леток и на сот можно подавать не только местных пчел, но и краинских и кавказских, однако обе эти поро- ды начинают откладку яиц несколько позже.
Если на вашей пасеке не практикуется метка маток, а матки даются семьям нео- семененными, можно посоветовать давать крытые маточ- ники, откуда вскоре должна выйти матка. Маточник вправляют в отверстие в центральном соте несколько наискосок, чтобы матке было легче прогрызть его. Можно прикрепить маточ- ник к тоненькому деревянному клинышку и вбить клинышек у края одного из центральных сотов. Улочку рядом с этим сотом расширяют на три-четыре миллиметра. В безматочной семье работницы всегда принимают маточник.
На больших пасеках, владельцам которых время более
дорого, чем несколько десятков неплодных маток или
маточников, практикуется замена маток без изъятия
старой. Это не самый лучший способ, так как:
1) дает низкий процент принятия маток;
2) не обеспечивает полного контроля за поведением маток
на пасеке;
3) при использовании маточников не дает возможности
метить маток и проводить их селекцию;
4) ведет к гибели определенной части маток при осеменении;
5) ограничивает сроки замены только периодами
хорошей погоды и высоких сборов.
Молодую матку дают не в гнездо, а в медовый мага-
зин: в лежаке - это самый дальний от разделительной ре-
шетки сот, в комбинированном улье - надставка,
в стояке - верхний ярус. Матку выпускают вечером в меж-
сотовую улочку. Если есть возможность, в той части
улья, куда будет выпущена матка, открывают запасной ле-
ток. Если имеется хороший медосбор, а заменяемые матки
старше двух лет, то процент приема маток вполне удов-
летворителен.
Эффективность метода можно увеличить, если дать мо-
лодую матку в клеточке, затвор которой спустя один-три
дня, когда становится ясно, что пчелы настроены к матке
благожелательно, заменяется тестом. Следить за клеточ-
кой несложно, поскольку она устанавливается на краю ме-
дового магазина.
Матки, даваемые этим методом, должны быть как можно
более молодыми, одно-трехдневными. Вместо молодых
маток можно давать зрелые маточники, защищенные ме-
таллической или пластмассовой сеткой или без защиты.
Процент приема такой же, как и молодых маток. Способ
не позволяет метить маток и контролировать, которая
из маток осталась в улье. Более надежный способ -
замена маток на плодных при помощи временных отвод-
ков. У запасного лотка или в улье (корпусе), уста-
навливаемом рядом с семьей, матку которой нужно за-
менить, образуют отводок и ему дают молодую неосеме-
ненную матку
(маточник). Когда матка начинает откладку яиц, запасной
леток закрывают, а отводок соединяют с семьей. Этот
способ легче применить в стояках. Корпус с отводком ус-
танавливается на улей, корпуса разделяются газетной бу-
магой. Ночью обе группы пчел объединяются, а поскольку
все летные работницы будут выходить через главный ле-
ток, старая матка будет трактоваться ими как чужая и,
скорее всего, погибнет.