Беда в том, что все эти документы, сохраняющие отраслевое значение, между собой и с реалиями страны должным образом не увязаны и остаются декларациями, а не руководством к действию. Взаимоувязка их потребовала бы другого характера работы над ними и выработки соответствующего механизма реализации, который связал бы названные выше составляющие НТП в единое целое, при этом не применительно к той или иной отрасли в отдельности, а к лесному сектору в целом. Следует подойти к понятию самого лесного сектора, которое в сознании соотечественников и даже специалистов должным образом еще не прижилось.
На протяжении многих десятилетий в нашей стране сохранялось отраслевое управление с раздельными ведомствами. По ним были разделены производственные предприятия, научные и проектные организации, раздельно велось и их планирование, благодаря чему формировались ведомственное мышление и образ действий. По инерции это сохраняется в сознании до сих пор. Между тем проблемы и способы решения тех или иных задач в отраслях чаще всего лежат за их границами, а по существу – на стыке отраслей. Ведь странным может показаться то, что предприятия ЦБП в лесоизбыточных районах испытывают хронический недостаток в древесном сырье, в то время как расположенные рядом лесопильные заводы затоварены отходами, а лесозаготовительные предприятия не имеют условии для сбыта мелкотоварной древесины, пригодной на балансы. Последнее, в свою очередь, обрекает лесное хозяйство на экстенсивный характер развития. В соседней Финляндии подобных противоречий не существует, ибо все взаимосвязанные вопросы решаются при подготовке программы, объединяющей не только все лесные отрасли, но и смежные (транспортные, энергетические, информационные, правовые и др.), обеспечивающие их развитие. Эти взаимосвязанные звенья объединяются в так называемый лесной кластер, который, по словам Pertii Laine, вице-президента федерации лесной промышленности Финляндии, включает лесное хозяйство, ЦБП, лесозаготовки, предприятия по производству бумаги, упаковочного материала, древесных плит, лесного машиностроения, энергетических нужд, консультаций, а также научно-исследовательские институты и вузы. Лесной кластер базируется на лесах Финляндии, но учитывает и экспортно-импортные операции. В подготовке стратегических программ по такому объединению участвуют все партнеры, связанные с лесом, включая в обобщенном виде государство, бизнес и общественность. Разработана и постоянно совершенствуется технология подготовки таких программ на корпоративной основе.
Финляндия, как США и ряд других стран, отрабатывала технологии подготовки стратегических программ на протяжении всей второй половины XX в. и с ними вошла в XXI в., ставя перед собой задачу прежде всего стратегического прорыва в инновационных направлениях.
Россия за последние 15 лет перестроечного периода так и не подошла к такому уровню планирования развития НТП, не связала в единое целое названные выше основные его составляющие. Причина одна. Главенствующим в запуске инновационного механизма должно быть государство в лице его исполнительной власти, которое обязано завоевать доверие у основных участников процесса развития (включая бизнес и население), быть инициатором, главным координатором и заинтересованной стороной. К сожалению, до такого уровня планирования, какой есть в промышленно развитых странах, наша исполнительная, да и другие ветви власти еще не дошли.
Подобная задача (судя по многочисленным выступлениям бывшего Президента России В.В. Путина) ставится: сделать власть эффективной, нацеленной на решение стратегических задач. Но для этого власть должна кардинально перестроиться, на что по замыслу и задуманы были проводимые административные реформы. Например, 5 сентября 2005 г. Президент огласил, наконец, новый стратегический курс, в котором приоритет отдавался социальному блоку, в том числе образованию. В числе ряда мер создается инвестиционный фонд развития, с его помощью государство будет пытаться активно влиять на развитие инфраструктуры страны. Хотелось бы надеяться, что все это будет способствовать активизации роли государства.
До сих пор в обсуждаемых реформах науки, образования и их связи с производством в направлении инновационного вектора развития чаще всего преобладали декларативные призывы, игнорирующие реальное положение составляющих, которые определяют развитие НТП (исследовательского и производственного потенциалов, а также социально-экономического состояния самой страны), и их существующего в нынешней практике, а не мнимого взаимодействия. Эти составляющие представляют далеко не отрадную картину, которую нельзя не замечать, строя планы инновационного развития. В порядке анализа рассмотрим состояние каждой из них, а затем и характер их нынешнего взаимодействия.
В главе 2 был уже дан анализ исследовательского потенциала лесного сектора России, из которого было видно, что потенциал отраслевой науки лесопромышленного комплекса основательно подорван и требует кардинальных мер по созданию практически заново прежде всего головных НИИ и их экспериментальной базы, которая оказалась напрочь утраченной.
В значительно лучшем, хотя отнюдь не в должном положении находятся НИИ по проблемам леса и лесного хозяйства. Их численность за последние 15 лет сократилась в среднем в 2 раза. От большего обвала их спасли статус государственных учреждений и доминирующее финансирование из госбюджета. Но и они лишились опытных хозяйств и ряда лесных опытных станций (ЛОС) с их стационарами, без которых немыслимо проводить проверку и внедрение научных рекомендаций.
Образцом для НИИ лесохозяйственного профиля может служить ВНИАЛМИ – институт в ведении Россельхозакадемии. Он сохранил свою численность. Здесь хотя и снизилось число кандидатов наук, но заметно повысилось число докторов наук. Сохранилась и сеть ЛОС и опытных хозяйств.
Конечно, общим недостатком в отраслевых НИИ является старение кадров и отсутствие заметного притока молодежи по причине унизительно низкого уровня оплаты труда. Как-то в одном из интервью Президент заметил, что ему стыдно было узнать, сколько получает старший научный сотрудник. Но и после этого заявления ничего не изменилось.
Произошедшие деформации резко снизили научно-исследовательский потенциал, особенно отраслей ЛПК. Для последних под большим вопросом стоит вообще его способность решать проблемы стратегического прорыва. Можно даже констатировать, что преждевременный уход государства из этой сферы науки и проведенный курс на акционирование и приватизацию обрекли по существу на ликвидацию когда-то весьма дееспособные научные учреждения, которые до произошедшего развала из-за непродуманных реформ давали эффективные разработки. На них держалась отечественная лесная промышленность. От некоторых учреждений остались только вывески.
Однако в заключение для оценки научного потенциала мы не рассматривали ту его часть, которая находится в лесных вузах. Для сравнения используем только данные по МГУЛу. Обращает на себя внимание тот факт, что в одном этом Университете по всем лесным профилям кандидатов и докторов наук столько же, сколько в НИИ ЛПК и лесного хозяйства, вместе взятых. Между тем финансирование для научных исследований здесь используется почти на порядок меньше, чем в названных лесных НИИ. Данный перекос характерен для всего научного сектора лесных вузов страны, что резко снижает потенциальные возможности его использования. Как исправить этот изъян отечественной лесной науки, мы рассмотрим после анализа производственного потенциала.
В настоящее время производственный потенциал находится в незавидном положении. Известные всем причины (в том числе непродуманная поспешная тотальная приватизация) привели к разрыву экономических и технологических связей, отбросили лесную промышленность на много десятилетий назад, по большинству хозяйствующих субъектов так и не выявили эффективных собственников и привели к бесконечному переделу собственности, превратившемуся в так называемые лесные войны. За весь перестроечный период в большинстве предприятий амортизационные отчисления использовались не по назначению, не обновлялись основные фонды, что привело к критической черте их износа и, как следствие, к продолжающему свертыванию производственных мощностей. На плаву пока находятся предприятия ЦБП, построенные в 80-х годах, но и они требуют модернизации, особенно в экологическом отношении. Беда в том, что ЦБК, которые должны быть для государства стратегическими объектами и под неусыпным его оком, за бесценок распроданы иностранным субъектам, а они, как правило, были заинтересованы в ограничении конкурентной способности предприятий на международных лесных рынках, нежели в реконструкции и расширении их производственных мощностей.
Нынешний характер большинства собственников, озабоченных лишь в быстром выкачивании из своих предприятий прибылей и не заинтересованных в их использовании для инвестиционных целей, особенно с длительными сроками окупаемости, привел к тому, что за последние 15 лет не было построено ни одного крупного предприятия и не была (да и не могла быть по крупному счету) востребована наука для форсированной модернизации всего производственного потенциала. Имеющиеся хозяйственные договора с отдельными субъектами существенно не повлияли на развитие производственного компонента.
Как же вел себя третий, наиболее значимый компонент рассматриваемой триады для развития НТП – государственная власть? Она, по признанию даже политиков верхнего ранга (СМ. Миронов), все эти годы так называемой перестройки находилась в роли «пожарной команды» и до решения стратегических задач, к числу которых относится НТП, у нее руки не доходили. Поэтому неудивительно, что до сих пор не выработана и не принята на государственном уровне стратегическая политика ни в одном из секторов народного хозяйства, как и для государства в целом. Все, в чем проявила себя власть, особенно в наиболее важном социально-экономическом блоке, так это подготовка очередного (на каждый год) бюджета в рамках краткосрочного (до 3-х лет) прогноза, нацеленного лишь на подавление инфляции во избежание очередного дефолта. В таких годовых бюджетах науке и образованию должного места до сих пор не отводилось. Будем надеяться, что провозглашенный Президентом России новый курс станет поворотным пунктом, хотя для его реализации нужна четкая система мер, которая на правительственном уровне еще не просматривалась. Какими из этой системы наиболее значимыми могли бы быть меры, особенно в инновационном направлении? Остановимся на отдельных из них.
Было бы наивно полагать, что активизация в развитии НТП возможна лишь мерами преобразования только в сфере науки и образования. Как бы они ни были важны, для реальных подвижек требуются прежде всего структурные преобразования производственного потенциала, причем путем активного воздействия государственной власти с помощью формирования адекватной для этого институциональной инфраструктуры. Отсутствие последней главным образом и тормозит реализацию рыночных реформ. На это указывает в ежегодных обзорах и Мировой банк. Именно в этом проявляется слабость нынешней государственной власти.
Главным направлением в преобразовании производственного потенциала, в том числе и лесного сектора, должна быть его корпоратизация, т. е. объединение хозяйствующих субъектов, связанных между собой технологическими цепочками, в вертикально интегрированные структуры (ВИС). Для лесного сектора формирование таких корпораций обозначилось на базе кооперации хозяйствующих субъектов ЦБП, лесопильно-деревообрабатывающей, лесозаготовительной промышленности и лесного хозяйства. Прообразы их видны, например, в Братском, Усть-Илимском, Сыктывкарском и других ЛПК, хотя до совершенного вида им еще далеко. Не входя в детали процесса корпоратизации, скажем лишь, что в этом деле Россия намного отстала от промышленно развитых стран, в том числе и от ближайших скандинавских соседей, контролирующих западно-европейский лесной рынок. Запаздывание с форсированием данного процесса опасно в связи с предстоящим вступлением в ВТО, которое может смыть, как «цунами», нынешние «утлые лодчонки» нашего хилого ЛПК.
Заметим, что лишь крупные лесные корпорации способны выстоять в жесткой конкурентной среде. Только в их рамках возможна гармонизация отношений малого, среднего и крупного бизнеса (каждый из них занимает свои ниши). В рамках таких ВИС в большей степени предоставляются возможности маневрирования имеющимися экономическими ресурсами и их использования для быстрейшей модернизации производственного капитала и наиболее полного использования научных достижений. Однако корпоративное движение требует активного участия всех уровней государственной власти путем гибкой системы регулирования отношений между работодателями, наемной рабочей силой и населением, в среде которого будут формироваться новые производственные блоки, преобразующие социально-экономические отношения.
Власть стояла в стороне от этого архиважного для реализации магистрального направления, безучастно взирая на «корпоративные войны» недозволенными силовыми методами, полагая, что конфликтующие хозяйствующие субъекты сами разберутся в своих спорах в судебных инстанциях, которые до сих пор остаются недееспособными. Власть по существу отошла и от формирования трудовых соглашений и контроля за их исполнением. Это приводит к социальной напряженности и нередким вспышкам массовых недовольств.
Процессу корпоратизации мешает сложившееся в результате неупорядоченной приватизации недоверие не только между хозяйствующими субъектами, но и между последними и самими органами государственной власти. Поэтому начинать надо с формирования более совершенного корпоративного законодательства, которое упорядочило бы отношения между хозяйствующими субъектами внутри корпораций и между конкурирующими на лесных рынках корпорациями, положив конец «корпоративным войнам». Для реализации этого неотложного и главного направления государственная власть должна повернуться к нему лицом и считать первейшей задачей упорядочивание структуры и отношений между хозяйствующими субъектами лесного сектора. Пока должных усилий с ее стороны не проявлено. Показательно, что в принятом Правительством распоряжении об основных направлениях развития лесной промышленности на ближайшие 15 лет нет даже упоминания о ВИС в лесном секторе и о лесных корпорациях на их базе.
В вышеизложенном пришлось (и это крайне необходимо) сделать особый акцент на процессе корпоратизации в лесном секторе, ибо без него о существенных сдвигах в НТП говорить не придется, какие бы преобразования в сфере науки и образования ни проводились.
Вернемся к научно-исследовательскому потенциалу. Для создания условий к переходу российской экономики на путь инновационного развития Минобрнаукой разработана Концепция участия Российской Федерации в управлении государственными организациями, осуществляющими деятельность в сфере науки [3]. Эта концепция опубликована и широко обсуждалась. Хотя она официально и не принята в окончательном виде на правительственном уровне, тем не менее по всем имеющимся признакам уже реализуется. Согласно этой концепции в реестре федеральных государственных учреждений предполагается сохранить лишь крупные научные центры и научно-образовательные комплексы, занимающиеся фундаментальными и приоритетными прикладными исследованиями, значимыми для перевода российской экономики на инновационный путь развития. Все остальные организации этой сферы подлежат разгосударствлению путем превращения их в разного рода акционерные общества, а также приватизации. Приоритетным считается создание научно-образовательных центров федерального значения и научно-производственных комплексов смешанной собственности. Но при этом отмечается, что организации высшей школы проявляют низкую активность в выполнении научных исследований, причем подобная ситуация имеет тенденцию к ухудшению. Лишь в 40 % российских вузов научная деятельность финансируется (свыше 20 млн руб.), но из них только 17 % зарегистрировано в государственном реестре научных организаций.
На примере отраслевых институтов ЛПК мы проследили путь их преобразования в ОАО со всеми вытекающими для них последствиями. Чтобы их активизировать, потребовалась бы реструктуризация в обратном направлении. Но для многих произошедшее с ними может быть уже необратимым.
На примере МГУЛа и других лесных вузов видно, что в рамках лесного сектора только в них сохранился еще значительный научный персонал, хотя (судя по объемам финансирования) он задействован весьма слабо в научно-исследовательской деятельности. При таком сложившемся к настоящему времени исходном положении переход к научно-образовательным центрам крайне важен, но для осуществления его пока нет необходимых условий, а подготовка их является, безусловно, неотложной. Что в данном случае мы имеем в виду?
Чтобы не увлекаться декларациями, которыми полны и официальные документы, и официальные выступления в печати, надо прежде всего решать насущные вопросы жизнеобеспечения научного сообщества. Причиной оттока молодежи и препятствием для их притока в сферу науки и образования является весьма низкая оплата труда, не обеспечивающая даже минимально прожиточный уровень для занятых в этой области, а тем более для образования новой семьи и пропитания ее членов. Обещание главы государства поднять оплату до 30 тыс. руб. в месяц было, конечно, хорошей мерой, но она не дошла до отраслевых НИИ и ВУЗов.
Второе обстоятельство, парализующее научную деятельность в вузах, – недопустимо высокая учебно-педагогическая нагрузка. При ссылке на зарубежные вузы, с которыми на отдельных примерах многие знакомы, надо иметь в виду, что там эта нагрузка на порядок ниже, не говоря уже о значительно большей разнице в оплате труда даже по сравнению с тем, что обещано сделать для наших интеллектуалов в перспективе. Нынешнее же соотношение преподавателей к студентам (1:8 и даже 1:10) сохраняет массово-поточный метод подготовки кадров, при котором дифференцированно индивидуальный подход вообще исключен. Между тем инновационное обучение кадров требует «поштучной» подготовки их с учетом особенностей каждого из обучающихся.
Итак, раскрепощение педагогических кадров от нелепо высокой нагрузки и достойная оплата труда, чтобы педагоги не навешивали на себя для дополнительного заработка других побочных нагрузок, – первые и крайне важные условия. Только снятие этих ограничений позволит осуществить должный подбор научно-педагогических кадров, совмещение ими научной и педагогической деятельности и систематическое повышение их квалификации.
Что же касается форм интеграции науки и образования и необходимых мер для их реализации, то они могут быть самыми разнообразными в зависимости от условий и места функционирования вузов и НИИ. Важно не увлекаться формой, а преследовать существо. Что же касается последнего, то не стоит забывать, что в сфере интеллектуальной деятельности все или почти все определяется личностью, ее складом, характером, одаренностью. И личность в этой области не должна подавляться требованиями той или иной шаблонно рекомендуемой формы организации научного производства, иначе она должным образом не проявит себя. Так, Норберт Винер говорил, что он счастлив, что не работал на большой научной фабрике и имел свободу выбора в характере своих действий.
Возвращаясь к исходной ситуации, можно отметить, что в составе вузов уже сегодня, например, имеют место внутри-университетские НИИ. Но если быть самокритичными, то надо признать, что из-за недостатка финансирования многие из них напоминают простаивающие в доке корабли. Наиболее эффективно проявляют себя в научной деятельности отдельные кафедры, если заведующий ею «фанат» и, несмотря на ограничения, самоотверженно находит время для научного поиска и связи его с конкретным производством. Но таких немного, да и в данном случае еще не значит, что остальные его кафедралы совмещают так же, как и он, научные исследования с педагогической деятельностью при наличии тех ограничений, о которых мы писали выше.
К тому же надо иметь в виду, что крупные открытия, обеспечивающие стратегический прорыв, рождаются на стыке наук, ибо проблемы обычно носят комплексный, межотраслевой характер и потому требуют интегрированного, междисциплинарного подхода. Не случайно В.Н. Вернадский, основатель теории ноосферы, говорил, что мы специализируемся не по наукам, а по проблемам. Такой комплексный подход к решению тех или иных проблем требует, с одной стороны, широко образованного руководителя, умеющего обобщать данные разных наук, с другой – объединения его с различными деятелями, т. е. создания своего рода комплексных творческих групп. Эти условия – отнюдь не простые для организации проблемных решений на практике. Во-первых, «первопроходцы» на дороге не валяются, во-вторых, организация органической стыковки специалистов разных профилей – дело не из легких. Лауреат Нобелевской премии американский физик-теоретик Юджин Пол Вигнер, рассматривая «пределы науки», писал, что «большинство из нас, ученых, слишком индивидуалистично для того, чтобы принимать всерьез коллективные исследования» [1]. Добавим, что никакие официальные учреждения сами по себе не создадут эффективно действующие комплексные творческие рабочие группы, если ученые не найдут друг друга, не объединятся без подталкивания их со стороны и не притрутся друг к другу. Тот же Н. Винер говорил, что кибернетика родилась не за официальным, а за обеденным столом, при том и за ним не каждый мог высидеть.
Вот об этих наиболее значимых для науки неформальных вещах официальные столпы, предписывающие, как организовать науку, обычно не задумываются, полагая, что достаточно предписать, а дальше уломать, несмотря на то, что результат будет тот же, как в басне Крылова, когда медведь пытался гнуть дугу из оглобли через коленку. Возвращаясь к интеграции науки и образования, отметим, что вся российская наука, особенно лесная, началась с учебных заведений. Возможно, и крайне необходимо в перспективе развить эту интеграцию, сняв названные выше ограничения и создав условия для творчества. Не последнюю роль при этом играет и верхний уровень управления интеграцией науки и образования. Казалось бы, он слит в самом названии существующего Министерства, не благозвучного по сокращенному его названию – Минобрнауки. Но в этом Министерстве наука и образование разделены по разным агентствам, действия которых ничем по существу не отличаются от ранее существовавших раздельных ведомств по науке и образованию. То из них, которое курирует науку, в центре внимания имеет в основном академическую ее часть. Отраслевая наука, несмотря на приоритетность, отдана на откуп отраслевым ведомствам. Например, МПР России (ныне МСХ РФ) курирует лишь НИИ лесного хозяйства, Минпромэнерго – НИИ ЛПК. Плохо или хорошо они курируют – это другой вопрос. В их обязанности не входит ответственность за финансирование вузовской науки. Можно даже сказать, что они не просто не замечают, а сознательно игнорируют и не привлекают широкомасштабно к решению отраслевых проблем эту науку, используя различные поводы для оправдания.
Так, вузовская лесная наука оказывается ни в сфере фундаментальных исследований, финансируемых Минобрнаукой, ни в сфере прикладных, финансируемых названными выше другими министерствами.
Пример выхода из данного положения показал Минтранс, создающий транспортный (всех видов) комплекс и объединяющий в составе его все учебные и научные учреждения в этой области, подобно «кластеру», создаваемому на примере Финляндии и других стран. Что же касается лесного сектора, подобного лесному кластеру, то в России ни одно из ведомств целиком за него не отвечает. Потому нет и государственной лесной политики.
Минобрнаука и другие министерства по примеру Минтранса должны найти и принять согласованные решения по широкому привлечению вузовской науки как к фундаментальным, так и к приоритетным прикладным исследованиям, а также по обеспечению их должного финансирования. В перспективе бизнес при условии его консолидации тоже может поддержать сферу науки и образования через фонды, создаваемые крупными корпорациями при объединении их в ассоциации. Например, в США до 20 % финансирования инновационных направлений обеспечивается крупными корпорациями. Только при тесном партнерстве государства и бизнеса (роль первого – ключевая) можно перейти от призывов к практической реализации в области интеграции науки и образования, что является, безусловно, необходимым и самым эффективным направлением перехода к инновационному развитию.
Что же касается приоритетных направлений в области лесного дела, то наряду с теми приоритетами, которые определены отраслевыми НИИ по каждой отрасли (мы их здесь не перечисляем), для лесного сектора в целом важны постановка и разработки теории стратегического многоуровневого кластерного планирования, а также разработка мезо-экономических стратегий по крупным экономическим регионам (КЭР) или федеральным округам. В их рамках формируются крупные региональные лесные рынки, что обеспечит стыковку между микро- и макроэкономикой. При этом крупные научно-образовательные комплексы могли бы и должны по каждому КЭР быть основными разработчиками таких стратегий, которые связали бы инновации с экономикой каждого региона в рамках национальной экономики. Эта задача является самой приоритетной для нашей страны на данном этапе ее развития, когда она движется без научно обоснованных ориентиров среди «бесчисленных айсбергов».
Актуальная задача образовательной сферы состоит в подготовке и формировании научной элиты, способной не только ориентироваться на мировом уровне, но и быть в числе достойных представителей элиты. Наша страна, безусловно, должна занимать и прочно удерживать достойное место в мировой лесной науке. Заметим, что элиту возможно воспитывать лучшим образом именно в рамках научно-образовательного комплекса, когда в одном лице ученый и педагог вовлекает в процесс своей деятельности молодых последователей. Тут важен личный пример исследователя-педагога как воспитателя, отвечающего нравственным критериям. Заслуживают внимания размышления классиков об образовании, которое квинтэссенцией выражается в следующем афоризме: «Профессор высшей школы должен быть Ученым, Философом, Артистом, Воспитателем, Человеком» [4].
Из вышесказанного следует, что инновационный вектор как главный фактор развития лесного сектора возможно реализовать лишь при активном участии государственной власти в направлении организации заинтересованного взаимодействия исследовательского и производственного потенциалов. При этом необходимы условия и стимулы на основе взвешенной стратегической политики и сформированных на ее базе долгосрочных программ, объединяющих лесные отрасли в один лесной сектор наподобие «лесного кластера» зарубежных стран.
Литература
1. Вигнер Ю. П. Пределы науки // Экология и жизнь.
2. Дубовский С. В. Нестационарный научно-технический прогресс (НТП) в глобальном моделировании / Процессы глобального моделирования и анализ М., 1984.
3. Ливанов Д. О развитии государственного сектора науки (доклад директора Департамента государственной научно-технической и инновационной политики на коллегии Минобрна-уки 6 мая 2005 г.) // Газета «Поиск». № 21 (1835), 2005, 27 мая.
4. XI академические чтения «Образование и наука: проблемы и перспективы развития» (тезисы докладов межд. конф.). Улан-Батор, 2005. 189 с.
10. Методические рекомендации по организации лесного хозяйства и устойчивого управления лесами
Введение
Переход лесного сектора России к рыночной экономике совпал с необходимостью организации устойчивого управления лесами и введения лесной сертификации. Цель создания лесной сертификации – обязать всех партнеров, связанных с лесом, строго подчиняться правилам экологически ориентированного лесного хозяйства, обеспечивая неистощительное использование и воспроизводство лесных ресурсов, сохранение ресурсного потенциала и биоразнообразия.
Организации устойчивого управления лесами были посвящены многие международные и национальные конференции. В решениях Конференции ООН по окружающей среде и развитию, состоявшейся в Рио-Де-Жанейро 3-14 июля 1992 г., подчеркнута ключевая роль лесов для устойчивого жизнеобеспечения и сформулированы лесные принципы, послужившие основой для последующих международных переговорных процессов (Хельсинский, Европейский, Монреальский процессы). В ходе этих процессов были определены основные критерии и индикаторы устойчивого управления лесами.
Указом Президента Российской Федерации от 01.04.96 № 440 утверждена Концепция перехода Российской Федерации к устойчивому развитию. Принципы устойчивого управления лесами закреплены статьей 2 Лесного кодекса Российской Федерации (1997 г.) и статьёй 1 Лесного кодекса Российской Федерации 2006 г. На IV Всероссийском съезде лесничих 25 июня 1998 г. была одобрена, а 31 июля 1998 г. постановлением коллегии Рослесхоза утверждена Концепция устойчивого управления лесами. Приказом Рослесхоза от 05.02.98 № 21 были также утверждены Критерии и индикаторы устойчивого управления лесами Российской Федерации.
Принятые на международном и национальном уровнях критерии и индикаторы предназначены для обеспечения контроля за состоянием лесов, как объекта хозяйственной деятельности и управления, и в этом назначении они полезны. Но в них нет ответа на вопрос, как организовать устойчивое управление лесами и регулировать его с учетом динамики спроса и предложения на ресурсы и услуги леса для обеспечения устойчивого социально-экономического развития всего лесного сектора. Вопрос этот в течение последнего десятилетия широко обсуждается на всех уровнях. При этом признано, что он решаем в рамках вырабатываемой на государственном уровне лесной политики и с учетом ее разрабатываемых на разных уровнях (федеральном, региональном и местном) программ использования и воспроизводства лесных ресурсов, которые должны быть согласованы между собой. Центральным звеном таких программ должен быть экономический механизм организации пользования и управления лесами.
Исключительное разнообразие природных, экономических условий и особенностей лесов в различных частях обширной территории России требует системного подхода к организации лесного фонда, его использованию и рассмотрение лесного хозяйства, как целостного объекта управления для обеспечения его устойчивости и соответствия экономическим, социальным, природоохранным и культурным требованиям нынешних и будущих поколений. Системный подход предполагает: районирование лесов, деление их по целевому назначению, видам собственности и правам пользования, типам леса и лесорастительным условиям, формам организации хозяйства, с соответствующим экономическим обоснованием выбора наиболее эффективных из них. В числе организационных форм наибольшее внимание уделяется региональным системам лесохозяйственных мероприятий (далее РСЛХМ), образованным на зонально-типологической основе с учетом целевого назначения лесов и обеспечивающим воспроизводство используемых ресурсов и, таким образом, устойчивое управление лесами.
Для лесного хозяйства РСЛХМ представляют целостную совокупность соответствующих экономическим условиям, природе леса и его назначению, взаимообусловленных и сбалансированных между собою мероприятий, включая способы рубок, возобновления, ухода за лесом, защиты от вредителей и болезней, охраны от пожаров и другие меры, обеспечивающие воспроизводство планируемых ресурсов, сохранность и устойчивость лесов к неблагоприятным антропогенным, техногенным и стихийным факторам окружающей среды.
Исключение из такой системы любого мероприятия не позволяет достигнуть поставленной в лесном хозяйстве цели, т.е. запланированного конечного результата. Существенным недостатком лесного хозяйства на практике является несбалансированность проводимых мероприятий, недостаток их, ненадлежащее качество или несвоевременность. Известно, например, что гибель лесных культур нередко обусловлена недостатком мер по уходу за ними, Охране от пожаров и защите от вредителей и болезней.
Научными учреждениями и вузами страны под методическим руководством ВНИИЛМа проведены научные и экспериментальные работы, на основе которых разработаны и обоснованы системы мероприятий по ведению лесного хозяйства на зонально-типологической основе для отдельных регионов Европейской части России, Сибири и Дальнего Востока. С учетом этих систем разработаны основные положения и региональные правила рубок и лесовосстановления. В рамках их по каждому мероприятию определяются технологии, технические средства, расчетно-технологические карты и системы технико-экономических показателей, необходимых для экономического обоснования принимаемых решений по управлению лесами.
Однако, РСЛХМ обеспечивают масштаб простого воспроизводства лесных ресурсов как необходимого условия, гарантирующего устойчивое управление лесами. Масштаб же расширенного воспроизводства в лесном хозяйстве обеспечивается с помощью соответствующего комплекса мероприятий (далее КМРВ) путем повышения продуктивности лесов (например: реконструкция лесов, осушительная мелиорация) или создания лесов на землях, где их раньше не было (например: защитное лесоразведение), а также освоения резервных лесов, на что требуются капитальные вложения, которые нельзя смешивать с текущими затратами для осуществления РСЛХМ.
Региональные и местные программы использования и воспроизводства лесных ресурсов, а также составляемые при лесоустройстве проекты организации и ведения лесного хозяйства на ревизионный период по структуре должны представлять совокупность РСЛХМ и КМРВ. Первые обеспечивают поддержание объекта управления на достигнутом уровне, вторые направлены на воспроизводство дополнительных лесных ресурсов, на которые возрастает потребность. Назначение программ на региональном и местном уровнях лесоуправления сводится к тому, чтобы обосновать основные и наиболее эффективные направления и мероприятия по сбалансированию спроса и предложения на ресурсы и услуги леса для обеспечения устойчивого социально-экономического развития хозяйствующих субъектов и общества в целом.
В рамках программ на региональном и местном уровнях необходимы расчет размера неистощительного пользования лесом с определением его экономически доступной части, а также экономическое обоснование принимаемых хозяйственных решений на основе рентного подхода. При этом должны определяться затраты на проведение РСЛХМ и чистый доход (лесная рента), которые в общей совокупности должны определять платежи за ресурсы леса. Коллегией МПР России 20.12.2000 была одобрена предложенная нами Концепция платежей за пользование участками лесного фонда, которая используется в данных методических рекомендациях.
Подготавливаемые на основе эффективных РСЛХМ и КМРВ программы представляют надежный инструмент для устойчивого управления лесами с учетом всего комплекса целей, поставленных перед лесным хозяйством.
Представляемые Методические рекомендации по организации лесного хозяйства и устойчивого управления лесами предназначены для научно-исследовательских, проектных, производственных организаций и органов управления лесным хозяйством. Они являются методологической основой при разработке нормативных и правовых документов, регламентирующих ведение лесного хозяйства, в том числе для составления правил, наставлений, лесоустроительных проектов и региональных программ использования и воспроизводства лесных ресурсов.
10.1. Общие положения
Организация и ведение лесного хозяйства в стране с большим разнообразием природных и экономических условий, биологических особенностей и целевого назначения лесов должны базироваться на системном подходе с учетом требований устойчивого управления лесами и перехода к рыночной экономике.
Для реализации этого подхода на основе районирования, деления лесов по народнохозяйственному значению и их типологической классификации разрабатывается территориально-хозяйственная организация лесного фонда, включающая образование хозяйственных частей и хозяйственных секций (ХС), применительно к которым формируются РСЛХМ и КМРВ, составляющие вместе программы использования и воспроизводства лесных ресурсов.
РСЛХМ – совокупность объединенных целями хозяйства взаимообусловленных мероприятий, которые соответствуют лесоводственным особенностям лесообразующих пород, составу образуемых ими насаждений, группам типов леса, природным и экономическим условиям каждого района и обеспечивают воспроизводство лесных ресурсов, а так же непрерывное, неистощительное пользование лесом (далее ННПЛ). Выбор эффективного варианта РСЛХМ для каждой отдельной хозяйственной секции определяется на основе экономического обоснования (п.9). С изменением экономических условий, уровня интенсивности лесного хозяйства, техники и технологии одна РСЛХМ заменяется другой, более эффективной.
Для каждой хозяйственной секции применительно к ее РСЛХМ определяется возраст спелости (а) по максимальной лесной ренте, период возобновления лесов (в), а с учетом их оборот рубки (и = а ± в), который служит одним из важнейших оснований для определения размера ННПЛ. Для выборочной системы хозяйства аналогом оборота рубки является оборот хозяйства. Экономически доступная часть ННПЛ по каждой хозяйственной секции определяется на основе лесной ренты (Рл). Для экономически доступной части ННПЛ Рл
> 0. Для временных хозяйственных секций, в общей совокупности образующих реконструктивный фонд лесов, не соответствующих целям
хозяйства, для замены их в перспективе, независимо от срока исполнения, на постоянные хозяйственные секции разрабатываются комплексы мероприятий по расширенному воспроизводству лесных ресурсов интенсивным или экстенсивным путем. Интенсивный путь предполагает повышение продуктивности уже освоенных лесов посредством замены их состава или улучшения лесорастительных условий (осушительные и другие виды мелиорации). Экстенсивный путь расширенного воспроизводства включает комплекс мероприятий по созданию лесов при лесоразведении и на освоение резервных лесов. Затраты на проведение отмеченных выше мероприятий интенсивным и экстенсивным путем относятся к капитальным вложениям с длительными сроками окупаемости, а потому требуют отдельного учета от текущих затрат, требуемых для РСЛХМ, и экономической оценки их с учетом фактора времени (п. 9). Для выбора наиболее эффективных вариантов организации использования лесов и ведения лесного хозяйства с учетом динамики спроса и предложений на ресурсы леса разрабатываются соответствующие региональному и местному уровням программы, которые являются необходимым руководством для устойчивого управления лесами. Региональные программы используются для обоснования наиболее эффективных стратегических направлений по использованию лесов с учетом динамики спроса и предложений на формирующихся региональных и более удаленных лесных рынках, в сфере влияния которых находятся леса в регионе (субъекте Российской Федерации), и структурных изменений лесного фонда под влиянием хозяйственных воздействий в целях организации устойчивого управления лесами.
С учетом региональных программ в лесоустроительных проектах обосновывается местная программа развития и размещения лесопользования и лесного хозяйства, с учетом деятельности конкретных хозяйствующих субъектов.
10.2. Районирование лесного фонда
Для организации лесного хозяйства и управления лесами используется лесохозяйственное районирование, т.е. деление территории лесного фонда на части по различию природных и экономических условий с ясно выраженными особенностями ведения лесного хозяйства. Оно осуществляется на основе лесорастительного и лесоэкономического районирования путем их взаимной накладки. Дробность лесохозяйственного районирования зависит от его целей, размера объекта управления, разнообразия природных и экономических условий.
Территория России первоначально разделяется на крупные части или макрорегионы (Европейская часть Российской Федерации, Сибирь, Дальний Восток), а в пределах их – на лесохозяйственные области, представляющиеся относительно однородными природно-территориальными комплексами со сходными геоморфологическими и другими условиями, обуславливающими распространение лесообразующих пород и определяющими общий подход к ведению хозяйства на данной территории.
В пределах лесохозяйственных областей выделяют лесохозяйственные округа, характеризующиеся в своих границах сходными климатическими и почвенными условиями, определенной типологической структурой, составом и уровнем производительности лесов, относительной общностью экономических условий, с учетом которых на территории округов могут применяться определенные системы лесохозяйственных мероприятий. Например, лесохозяйственные округа равнинных лесов Европейской части Российской Федерации совпадают с соответствующими подзонами лесорастительного районирования (например, северо-, средне-, южно-таежные леса).
Лесохозяйственные округа подразделяются на лесохозяйственные районы, отличающиеся однородными лесорастительными условиями, типологическим и породным составом лесов и уровнем интенсивности хозяйства в них.
В горных районах осуществляется более дробное районирование, с выделением высотно-поясных комплексов, которым свойственны определенные климатические условия, почвы, типологический состав лесов и их производительность, что обуславливает необходимость осуществления соответствующих систем ведения лесного хозяйства.
Количество уровней лесохозяйственного районирования для каждого из субъектов Российской Федерации зависит от разнообразия условий. Например, Красноярский край охватывает несколько лесохозяйственных округов. Московская область находится в пределах одного округа.
Для организации устойчивого управления всем комплексом природных ресурсов (лесных, водных, земельных) на нижних уровнях лесохозяйственного районирования (округа и районы, а для горных лесов – высотно-поясные комплексы) должны учитываться границы водосборов соответствующего порядка гидрографической сети и соответствующие им типы ландшафтов, в рамках которых должно обосновываться оптимальное сочетание разных видов землепользования.
10.3. Типологическая классификация лесов
Перевод лесного хозяйства на зонально-типологическую основу базируется на региональных классификациях лесов, которые разрабатываются и утверждаются для каждой лесохозяйственной области.
В пределах лесохозяйственной области, по лесохозяйственным округам и районам, покрытые лесной растительностью земли разделяются на группы типов леса, а непокрытые – на типы лесорастительных условий.
Для выделения групп типов леса используют минимальное число характерных признаков: положение в рельефе, почва, почвообразующая порода, характер увлажнения, класс бонитета, сопутствующие породы, подлесок, живой напочвенный покров, тенденции лесообразовательных процессов.
В региональных классификациях все многообразие типов леса и лесорастительных условий для одной лесообразующей породы объединяются обычно в несколько групп, в пределах которых могут применяться определенные системы лесохозяйственных мероприятий.
В горных районах типологические классификации лесов разрабатываются с учетом особенностей высотно-поясных комплексов.
10.4. Территориально-хозяйственная организация лесного фонда
Территориально-хозяйственная организация лесного фонда представляет собой определенный пространственный порядок его размещения, с учетом районирования, целевого или народнохозяйственного назначения, зонально-типологического разнообразия, тяготения к рынкам сбыта и форм пользования ресурсами леса, что все вместе предопределяет выделение хозяйственных частей, а в пределах их – хозяйственных секций, обуславливающих режим пользования лесами и соответствующие системы хозяйства в них.
Хозяйственная часть (хозчасть) представляет собой территориально целостную совокупность насаждений и других категорий земель лесного фонда, объединенных общностью целей и тяготением к рынкам сбыта или пунктам примыкания транзитных путей транспорта. Выделяемые хозчасти могут представлять: участки лесного фонда, предназначенные для передачи в аренду, концессию, безвозмездное пользование или уже закрепленные за лесопользователем, для которых должен быть составлен по Кодексу (2006 г.) «проект освоения лесов», который должен представлять план рубок или проект организации рубок главного пользования и ведения лесного хозяйства; лесные массивы, выделенные для местного потребления и организации продажи древесины на корню на лесных аукционах; леса защитные и особо охраняемые; резервные леса.
Хозяйственные части могут совпадать с границами лесничеств, быть частью их или выходить за пределы их в случае аренды крупных лесных массивов.
В отдельные хозяйственные части объединяются:
Леса всех категорий защитности, в которых разрешаются различные способы рубок главного пользования лесом;
Леса тех категорий защитности и особо защитных участков, где могут проводиться только рубки промежуточного пользования.
В пределах хозчастей формируются хозяйственные секции (ХС), объединяющие лесные участки, покрытые и не покрытые лесной растительностью, территориально хотя и разобщенные, но однородные по составу лесов, их целевому назначению, типам леса или лесорастительным условиям с соответствующей им общей системой лесохозяйственных мероприятий и возрастом спелости. ХС является первичной организационно хозяйственной единицей для планирования лесопользования и лесного хозяйства и подготавливаемых решений по управлению лесами.
Хозяйственные секции для каждой хозчасти образуются в пределах основных лесообразующих пород, на типологической основе с различной степенью дробности: от хозяйственно однородных групп типов леса в условиях интенсивного хозяйства до объединения близких групп типов леса в условиях экстенсивных хозяйства. В составе ХС могут выделяться подсекции, дифференцированные по способам рубок и возобновления.
Для каждой ХС проводятся обоснования хозяйственно целесообразной структуры насаждений на разных возрастных этапах древостоев. В литературе применяются синонимы «эталонные», «целевые леса», что по Г.Ф. Морозову означает «идеал хозяйственного леса». По соответствию ХС составу и целевому назначению лесов в практике лесоустройства их издавна подразделяли на постоянные и временные. Первые удовлетворяют требованиям хозяйства, вторые требуют замены, независимо от сроков их исполнения, и образуют реконструктивный фонд лесов.
Для проведения необходимых расчетов по использованию и воспроизводству лесных ресурсов сводный материал по учету лесного фонда должен представляться в виде сложных таблиц классов возраста по каждой из хозчастей и входящих в них ХС. Именно на основе этих таблиц рассчитывается размер ННПЛ и обосновывается программа воспроизводства лесных ресурсов на ревизионный период, с оценкой их последствий на оборот рубки.
10.5. Региональные системы лесохозяйственных мероприятий (РСЛХМ)
РСЛХМ разрабатываются для каждого лесохозяйственного округа или района применительно к соответствующим хозяйственным секциям, образованным на типологической основе с учетом целевого назначения лесов. Для каждой РСЛХМ характеризуются: способы рубок главного пользования, лесовосстановительных мероприятий, включая способы естественного и искусственного возобновления и ухода за формирующимися молодняками и насаждениями на разных этапах лесовыращивания, предотвращающие смену пород; мероприятия по охране лесов от пожаров и защите от вредителей и болезней; способы неистощительного пользования недревесными ресурсами; специальные работы для лесов социального и защитного целевого назначения. Степень дифференциации мероприятий в составе РСЛХМ зависит от интенсивности лесного хозяйства и степени разнообразия применяемых на практике способов рубок и лесовосстановления. Например, при сохраняющемся пока доминировании сплошных рубок в лесах II и III групп более дробными должны представляться технологии лесосечных работ, очистки лесосек, способы возобновления как естественного (сохранение подроста, содействие естественному лесовозобновлению), так и искусственного (способы подготовки почвы, густота культур, способы ухода за ними). Характеристики РСЛХМ по каждой ХС могут представляться как в табличной так и в описательной форме.
С учетом РСЛХМ, влияющих на характер роста и развития лесов по каждой ХС, определяется возраст спелости лесов, период лесовозобновления и оборот рубки.
10.6. Комплексы мероприятий по расширенному лесовоспроизводству лесных ресурсов
Для каждого субъекта Российской Федерации и входящих в его состав лесхозов с учетом динамики долгосрочного межотраслевого лесного баланса, лесистости и характера лесного фонда обосновывается соответствующий комплекс мероприятий по расширенному воспроизводству лесных ресурсов (КМРВ), который может включать меры как повышения продуктивности лесов, так и расширения площади лесов для малолесных регионов за счет защитного лесоразведения на специально отводимых для этого землях, а для многолесных – за счет освоения резервных лесов, с учетом специального лесохозяйственного обустройства. Общим для всех названных мероприятий является то, что для них требуются капитальные вложения, предварительное технико-экономическое обоснование, последующее проектирование специализированными организациями и экспертиза подготовленных проектов.
В составе лесного фонда объектом КМРВ являются временные ХС, образующие реконструктивный фонд и требующие замены на постоянные ХС. В числе их наибольший удельный вес на перспективу будет иметь комплекс мероприятий по реконструкции и переформированию низкотоварных вторичных лесов из мягколиственных пород с заменой их на хвойные и твердолиственные породы с учетом лесорастительных условий и целевого назначения лесов. Для ареала высокоствольных дубрав объектом реконструкции могут быть низкотоварные порослевые дубравы. В отдельных районах в состав КМРВ могут входить объекты осушительной лесомелиорации. Каждое из названных направлений требует четкой дифференциации мероприятий. Например, замена вторичных лесов из мягколиственных пород на предшествующие им хвойные породы может быть осуществлена на значительной площади за счет сохранения II яруса и подроста ели. При отсутствии естественного возобновления требуется введение хвойных пород искусственным путем, а также разными способами реконструкции, включая коридорный. Расширение покрытых лесной растительностью земель может производиться как за счет не покрытых лесной растительностью в составе лесного фонда, так и за пределами его посредством облесения эродированных овражно-балочных земель, горных склонов, берегов рек и водохранилищ, рекультивации земель, вышедших из-под промышленных разработок, создания разного рода защитных насаждений на сельскохозяйственных угодьях, а также быстрорастущих древесных плантаций для конкретных лесопользователей. Выделение земель для указанных целей производится после принятия согласованных решений органами государственной власти субъектов Российской Федерации, соответствующими владельцами и пользователями земель, а также подрядчиками на исполнение указанных услуг. По каждому из видов лесоразведения подготавливается инвестиционный проект с соответствующим экономическим обоснованием и экспертизой. Вовлечение резервных лесов требует проектов не только для их освоения лесной промышленностью, но и для их лесохозяйственного обустройства, включая создание аппарата управления лесами, всей необходимой инфраструктуры, питомнической базы и приобретение технических средств для выполнения программ, адекватных планам лесопользования. Проектирование названных мероприятий ведется специализированными проектными организациями с учетом требований, предъявляемых к инвестиционным проектам.
10.7. Технологическое обеспечение РСЛХМ и КМРВ
Для каждой РСЛХМ и КМРВ разрабатывается соответствующая система технологических процессов (СТП), состоящая из взаимосвязанных согласованных технологий каждого из мероприятий и базирующаяся на системе машин (технологических комплексов). СТП обеспечивается комплектами расчетных технологических карт (РТК), которые используются для технико-экономического обоснования и последующей реализации названных выше систем мероприятий и комплексов, а также служат для программирования лесохозяйственных работ на всех уровнях управления.
По расчётно-технологическим картам (РТК) для каждого объекта управления лесами (лесхоз, лесной фонд в субъекте Российской Федерации) определяются объемы мероприятий по технологическим процессам, а также затраты труда и средств, выявляется потребность в освоении соответствующих технологий и средств механизации, производства лесохозяйственной и лесозаготовительной техники, задания научно-исследовательским и опытно-конструкторским учреждениям.
10.8. Государственные программы использования, охраны, защиты лесного фонда и воспроизводства лесов
В рамках системной организации лесного хозяйства для каждого субъекта Российской Федерации предусматривается разработка территориальных (региональных) государственных программ использования, охраны, защиты лесного фонда и воспроизводства лесов (для краткости: программа лесоуправления), а для местного уровня (лесничества) и лесоустроительные проекты организации и ведения лесного хозяйства. По Лесному кодексу 2006 г. реализацией этого требования может быть лесной план субъекта РФ, а в рамках его – в разрезе лесничеств.
Региональные программы лесоуправления составляются на основе предварительно разработанных прогнозов потребности в ресурсах и услугах леса, с учетом перспектив развития региональных и более отдаленных лесных рынков, в сфере влияния которых находятся леса, а также территориально-производственных комплексов, включая лесопромышленный, агропромышленный и другие. В рамках этих программ обосновываются перспективы трансформации земель и динамика лесного фонда в направлении оптимального сочетания разных видов землепользования и формирования экологически устойчивых и продуктивных агролесных ландштафтов по водосборам разного порядка. На основе лесохозяйственного районирования и с учетом перспектив социально-экономического развития региона уточняется деление лесов по целевому назначению, обосновываются главные лесообразующие породы, хозяйственные секции, соответствующие им РСЛХМ и КМРВ.
На основе региональных программ по вариантам производится прогнозный расчет размера пользования ресурсами леса с учетом влияния на динамику лесного фонда входящих в программу РСЛХМ и КМРВ. На основе таких расчетов производится определение доходов и затрат и выбор наиболее эффективных мероприятий для определения их очередности в процессе интенсификации лесного хозяйства.
В лесоустроительных проектах по лесхозам данного субъекта Российской Федерации могут быть использованы уже обоснованные на региональном уровне хозяйственные секции с соответствующими им РСЛХМ, возрастами спелостей и оборотов рубок, а также КМРВ, с учетом которых определяется размер неистощительного пользования ресурсами леса и адекватный объем мероприятий по их воспроизводству. При этом в данных проектах особое внимание обращается на оптимизацию размещения рубок и лесохозяйственных мероприятий для максимизации лесного дохода.
10.9. Экономическое обоснование РСЛХМ и КМРВ
Экономическое обоснование программ и входящих в их состав РСЛХМ и КМРВ, а также возрастов спелостей и оборотов рубок производится на основе рентного подхода, а также Методических рекомендаций по оценке эффективности инвестиционных проектов, утвержденных Минэкономикой Российской Федерации, Министерства финансов Российской Федерации, Государственного комитета Российской Федерации по строительству, архитектуре и жилищной политике от 21.06.1999 № ВК 477, изданных во 2 редакции (м. Экономика, 2000 г.).
Для экономического обоснования затрат в лесном хозяйстве необходимо учитывать их экономическую природу, отделив текущие затраты на РСЛХМ от единовременных вложений (инвестиций) на КМРВ, т.к. они требуют разных методических подходов к своей оценке. Первые не требуют учета фактора времени, для вторых он необходим для соизмерения разновременных доходов и затрат.
Основными показателями для экономической оценки РСЛМ являются:
(1) чистый доход (ЧД) или лесная рента (Рл), как остаточная стоимость от рыночной цены реализуемой лесопродукции (Цр.пр.) за минусом затрат на ее воспроизводство (ЕС), включающих затраты на выращивание ресурса (Св), его заготовку (СЗ), доставку до рынков сбыта (Стр), а также нормативную прибыль хозяйствующих субъектов на перечисленные виды работ – ЧД(Рл) = Цр. пр. -(Св + Сз + Стр. +Пв + Пз + П тр) (1)
(2) индекс доходности затрат (ИД) или отношение чистого дохода к перечисленным выше затратам -ИД =чД:(Св+Сз+Ст) (2)
Дополнительными показателями могут служить трудоемкость (например, чел. минут на ед. продукции) и др.
Эффект для РСЛХМ по каждой ХС выражается нормативом неистощительного пользования соответствующим ресурсом или комплексом ресурсов леса в натуральном и стоимостном выражениях.
Затраты на комплекс мероприятий по расширенному воспроизводству лесных ресурсов относятся к капитальным вложениям (инвестициям), ожидаемый эффект от которых имеет длительный разрыв во времени. Для приведения разновременных эффектов и затрат в сопоставимый вид используется известный прием дисконтирования. Для определения эффективности инвестиций на КМРВ предлагаются следующие показатели:
чистый доход (ЧД),
чистый дисконтированный доход (ЧДД), индекс доходности инвестиций (ИД к), срок окупаемости.
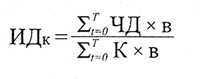
Среди названных показателей наиболее обобщающим является индекс доходности, который применительно к КМРВ представляется в следующем виде:

где: ЧД – чистый доход, получаемый в результате проводимых мероприятий,
К – капитальные вложения на весь комплекс мероприятий,
в – коэффициент дисконтирования:

где t – расчетный период, i – процентная ставка.
Для расчетных целей конкретных задач данная формула детализируется. При этом применяется рекомендованный в отечественной и зарубежной практике прием «с ним» (с этим мероприятием или комплексом мероприятий) и «без него», используя для этого сопоставимые объекты. Так, например, для определения эффективности осушительной мелиорации или реконструкции насаждений используется формула, детализирующая вышеназванный критерий:

где: Ц2 С2 V2 – соответственно, рыночная цена, себестоимость заготовки и доставки древесины до рынков сбыта и запас улучшенного участка леса под влиянием проводимых мероприятий;
Ц1 С1 V1 – то же, но применительно к контрольному участку, где оцениваемые мероприятия не проводились;
В – коэффициент дисконтирования с учетом процентной ставки (i).
Экономическая оценка КМРВ может производиться как для отдельного мероприятия, подобно примеру, только что показанному выше, так и в составе программ, которые для этого случая должны представлять варианты с этим КМРВ и «без него». Оценка КМРВ через программы использования и воспроизводства лесных ресурсов является наиболее полной и всесторонней, так как она позволяет учесть влияние проводимого КМРВ на динамику лесного фонда конкретного объекта, а через него и на размер пользования соответствующими ресурсами леса.
Определение возраста спелости леса по каждой ХС производится по максимальной лесной ренте, используя для этой цели в качестве расчетных моделей таблицы хода роста и сортиментной структуры лесов, соответствующие данному региону, типам леса и классам бонитета. Лесная рента определяется как среднегодовой чистый доход (ЧД/га) на разных возрастных этапах лесов (А): Рл = ЧД : А. При этом ЧД определяется по формуле (1), приведенной выше. Спелость леса определяется в том возрасте, в котором лесная рента или среднегодовой чистый доход достигает максимума.
Экономическая доступность ресурсов леса по каждой ХС, а внутри ее по отдельным участкам леса (в зависимости от их расстояния до пункта доставки) определяется также на основе лесной ренты по формуле (1), приведенной выше. Рентная оценка может и должна даваться ресурсам не только от рубок главного, но и рубок промежуточного пользования для выделения группы коммерческих рубок, т.е. самоокупаемых. Экономически доступными считаются ресурсы, для которых Рл &;gt; 0.
Для проведения всех необходимых расчетов по вышеуказанным формулам Российской Федерации требуется организация систем технико-экономической информации с непрерывно обновляемым банком данных по мере изменения рыночной конъюнктуры, технологий, технических средств, организации производства и какими-либо иными нововведениями.
10.10. Экономический механизм организации устойчивого пользования и управления лесами
Организация устойчивого управления лесами возможна при условии непрерывного, неистощительного пользования лесами и воспроизводства всего комплекса используемых ресурсов при сохранении их ресурсного потенциала, биоразнообразия и всей природной среды, находящейся под благотворным влиянием леса. При этом система финансирования лесного хозяйства должна гарантировать воспроизводство используемых ресурсов с учетом указанного выше условия.
Организация устойчивого пользования лесами возможна на базе экономически доступных ресурсов леса, обеспечивающих баланс экономических интересов основных субъектов лесных отношений: в том числе органов управления лесами, представляющих интересы владельца лесов, в данном случае государства и лесопользователей в виде всех хозяйствующих субъектов, пользующихся ресурсами и услугами леса. При этом государство, как выразитель общественных интересов, выступает в двух ролях: как собственника лесов и одновременно как регулятора лесных, в т.ч. экономических отношений между названными двумя субъектами.
Деятельность органов управления лесами сводится к достижению целей лесного хозяйства и максимизации для данных конкретных условий лесного дохода, который должен покрывать затраты на воспроизводство используемых ресурсов и, кроме того, обеспечивать лесную ренту как чистый доход за пользование лесом, как государственным имуществом. Главным мотивом деятельности всех лесопользователей является максимизация прибыли. Налоговые и рентные платежи являются важными регуляторами, которые используются государством в общественных интересах.
Баланс названных экономических интересов устанавливается на основе рентного подхода и должен выражаться в структуре платежей за ресурсы леса.
Платежи за ресурсы леса, в данном случае за древесину на корню, должны содержать две составные части: плата на воспроизводство используемого ресурса (минимальная плата или воспроизводственный платеж) и лесная рента, как чистый доход от пользования ресурсом леса, с учетом рентообразующих факторов.
Полные затраты на РСЛХМ означают себестоимость воспроизводства используемого ресурса и должны быть основой для расчета минимальной платы. Однако в состав последней должна входить и нормативная прибыль, без которой хозяйствующий субъект (будь он арендатором или подрядчиком – контрактером) не будет выполнять работы по выращиванию леса, если они будут включены ему в договор. Рента представляет собой разницу между рыночной ценой реализуемой лесопродукции и всеми затратами на ее производство по соответствующей технологической цепочке, включая и нормативную прибыль каждого хозяйствующего субъекта. В состав этой цепочки затрат должна входить и минимальная плата.
Экономический механизм устойчивого пользования и управления лесами включает не только структуру платежей, но и направления их распределения, а также методы определения и функциональное назначение.
Минимальная плата, в том содержании, в котором она представлена, должна направляться непосредственно местным органам управления лесами на цели воспроизводства используемых ресурсов, или оставляться на счетах арендатора, если на него возложенны обязанности ведения лесного хозяйства.
Рента, как чистый доход, не заработанный предпринимателем (он свое должен сполна получить: и компенсацию затрат, и нормативную прибыль), должна принадлежать государству, как собственнику лесов, и использоваться на приоритетные цели, в т.ч. указанные в федеральных и региональных программах использования и воспроизводства лесов, их охраны и защиты.
Распределение ренты между бюджетами разных уровней должно определяться лесным законодательством. Минимальная плата и в ее составе себестоимость лесовыращивания определяются нормативным путем по сумме затрат на проведение РСЛХМ в каждом конкретном объекте хозяйства по хозяйственным секциям, образованным на зонально-типологической основе. Минимальная плата может быть рассчитана в процессе лесоустройства или других проектных работ в зависимости от организации их, установленной федеральным органом, в функцию которого входит государственное управление лесами.
Наиболее полная оценка лесной ренты обычно устанавливается на лесных торгах (аукционах) в условиях конкуренции. Однако стартовая ее величина может быть установлена и нормативным путем с учетом всего комплекса рентообразующих факторов. В число основных из них входят: 1) породно-размерно-качественные признаки древостоя или изымаемого древесного ресурса (при несплошных рубках); 2) местоположение лесных участков относительно рынков сбыта; 3) условия лесоэксплуатации (концентрация ресурсов, взаимосвязанные способы и технологии рубок и лесовосстановления, характер рельефа, грунта, сезон заготовки и др.); 4) платёжеспособность потребителя.
Функциональное назначение названных компонентов платежей за ресурсы леса сводится к следующему.
Минимальная плата, как воспроизводственный платеж, при перечислении местным органам управления должна гарантировать воспроизводство используемых ресурсов при заранее обоснованных РСЛХМ и, следовательно, устойчивое управление лесами на уровне не ниже масштаба их простого воспроизводства. Это и обеспечит поддержание необходимого уровня используемых лесов, не допуская его ухудшения.
Рента же играет многозначную роль: она определяет предельные границы экономически доступных ресурсов леса; выравнивает условия деятельности лесопользователей; является источником пополнения бюджетов и финансирования самых приоритетных инвестиционных проектов в составе федеральных и региональных программ, обеспечивая таким образом устойчивое развитие лесного сектора за счет создания условий для расширения границ экономически доступных ресурсов (строительство лесных дорог, дополнительных производственных мощностей по переработке сырья, ранее не находившего сбыта), за счет повышения продуктивности лесов (реконструкция, осушение и др.), расширения площади лесов (для малолесных регионов), а также за счет организации их более надежной охраны и защиты для предотвращения потенциально возможных потерь от стихийных и антропогенных факторов.