Основной отмечаемый недостаток официально применяемой методики [34] заключается в отсутствии рекомендаций или единого правила выбора расчетной лесосеки. В этой методике имеются лишь правила исчисления первой и второй возрастных лесосек, лесосеки равномерного пользования и лесосеки, учитывающей санитарное состояние лесов, - лесосеки по состоянию.
По-видимому, на выбор этих лесосек повлияли результаты исследования различных методов исчисления расчетных лесосек, применительно к условиям российских лесов, опубликованные в известной монографии [60]. В частности, в этой работе было показано, что для условий плановой экономики в России наиболее перспективны 17 расчетных лесосек: лесосека длительного равномерного пользования (она же нормальная), лесосека по спелости, лесосека по возрасту (первая возрастная и вторая возрастная), лесосека по приросту, лесосека по состоянию, лесосеки Анцукевича, Бреймана, Ландольта, Мантля-Массона, Самгина, Штоцера, Флюри, Моисеева (она же по возрасту рубки), интегральная Анучина и лесосека Анучина по возрастной структуре и индивидуальным оборотам рубки (для лесов с истощенными и накопленными ресурсами) [60]. Но выбор той или иной расчетной лесосеки, при условии ее 100% соблюдения (т.е. ежегодной вырубки) достаточно длительный период, обрекает лесное хозяйство на формирование специфического возрастного распределения насаждений по группам или классам возраста [60, 65]. Переход лесного хозяйства в этой ситуации на другую расчетную лесосеку может столкнуться с фактами неравномерного распределения насаждений по группам или классам возраста.
Например, в работе [60] приведены расчетные демонстрационные данные, согласно которым практически все расчетные лесосеки из 17, рекомендованных для России, приводят к снижению участия спелых насаждений в составе земель, покрытых лесной растительностью, за исключением интегральной лесосеки, применение которой ведет даже к росту участия спелых насаждений до 25% по площади, и четырех лесосек, которые дают равномерное распределение насаждений по группам или классам возраста. К их числу относятся первая и вторая возрастная лесосеки, лесосека длительного равномерного пользования и лесосека Самгина [60].
Поэтому можно считать одним из серьезных недостатков официальной методики расчета пользования [34] несоответствие между строгой регламентацией условий расчета и отсутствием указаний по правилам окончательного выбора решения. Это приводит, как правило, к неопределенности с точки зрения принятия окончательного решения. По большинству расчетных лесосек фактически предполагается экономное использование запасов, но рассчитанное на перспективу жизни одного поколения людей. Непрерывное и неистощительное пользование, в принципе, могло бы сочетаться с природой растущего леса и устройством лесных экосистем, если внести необходимые коррективы в теорию лесного хозяйства. Некоторые расчетные лесосеки, согласно данным [60], наоборот, направлены на максимальный размер пользования лесом (лесосеки Флюри, Ханцлика, Штоцера, Анучина по запасу, лесосека по среднему приросту и лесосека по возрасту рубки).
Существующая система определения расчетной лесосеки имеет и ряд других недостатков, которые могут вызывать долгосрочные отрицательные последствия, нарушающие устойчивость лесных экосистем. Это, прежде всего, фактическое отстранение местного населения от подготовки лесоустроительных проектов. Следствием является то, что население не заинтересовано в успехе таких проектов и не готово помогать в преодолении трудностей, возникающих в ходе их осуществления. Это является серьезным недостатком, особенно в тех районах, где лес представляет собой основной источник доходов или где леса растут рядом с населенными пунктами.
Консультативный подход крайне важен для учета в плане природоохранных и лесозащитных целей. Необходимо учитывать также роль коренного населения, ведущего традиционное лесопользование. Например, на территории Хабаровского края проживает 23300 человек, представляющих коренное малочисленные народности севера (нанайцы, нивхи, орочи, удэгейцы и др.), из них на территории лесного фонда проживает около 17 000 человек. В 10 административных районах края определены территории традиционного природопользования. Общая площадь, приходящаяся на эти территории, составляет 35 млн га, из них 8 млн га - земли лесного фонда, где главными видами деятельности являются заготовка и переработка древесины для собственных нужд; а также сбор и переработка дикоросов. В Ленинградской области около 5 тыс человек коренных этнических групп (вепсы, ижоры), в Красноярском крае – около 1, 5 тыс человек (эвенки, селькупы, кеты) проживают на территории лесного фонда.
Расчетная лесосека по каждому субъекту РФ не исчисляется, а просто подсчитывается путем суммирования исчисленных и утвержденных в установленном порядке расчетных лесосек по соответствующим лесхозам. Это значит, что никакая компенсация перерубов расчетных лесосек по сельхозам в пределах субъектов РФ недопустима за счет их неиспользования в других лесхозов тех же субъектов. Суммирование расчетных лесосек лесхозов по административным единицам (область, край, автономный округ, республика, федеральный округ, Россия в целом и ее части) позволяет оценивать эффективность лесного хозяйства на любом уровне объективных данных.
Очевидно, что прежде чем сформулировать основные проблемы реформы лесного хозяйства, включая вопросы расчета нормативов пользования лесом, необходимо определиться с отношением народа и государства к лесу в нашей стране. Переход к новому видению лесов как сложно устроенных экосистем выводит на первое место вопрос сохранения лесов, в первую очередь бореальных, хотя именно они являются основным источником хвойной древесины. Поэтому важной задачей теории лесного хозяйства следует назвать усовершенствование методологии пользования лесом. В период перехода к экосистемному управлению лесным хозяйством пользование лесом должно быть подчинено общегосударственным интересам. Это значит, что государство должно выполнить свои обязанности собственника лесов России и участвовать в полной мере на лесном рынке страны, определяя правила и порядок пользования лесом, а не отдавая их на волю рынка. К чему это приводит, мы все прекрасно знаем из истории русского леса. Только при участии собственника лесов - государства - пользование лесом может быть организовано таким образом, чтобы не противоречить росту общегосударственной и глобальной значимости русского леса.
5.6. Лесной фонд и объект лесного хозяйства России
Понятие «лесной фонд» гораздо шире понятия «лес» и не имеет аналогов в зарубежном лесном хозяйстве. Представление о лесном фонде формировалось на протяжении последних двухсот лет российской истории под влиянием государственного управления лесами. Учетные категории лесного фонда отбирались постепенно, по мере развития лесоустройства и лесного хозяйства в целом. В итоге их основу составили структурные ключевые элементы хозяйствования и одновременно - устройства (состава) лесных ландшафтов, а не просто леса. Отбору именно таких элементов благоприятствовал значительный эмпирический опыт управления лесом, позволяющий адекватно предсказывать наиболее вероятные изменения состояния лесного фонда с течением времени, в зависимости от хозяйственных или природных воздействий на него.
В современном прочтении понятие «государственный лесной фонд» распространяется на земли Российской Федерации, управляемые с целью ведения лесного хозяйства. Учетные категории лесного фонда отображают пространственную мозаику растительности, вод, дорог, землепользования, поселений и т.п., исторически сложившуюся в России в результате человеческой деятельности и природных процессов в зоне произрастания леса вообще, а не только там, где осуществляется полноценное пользование лесом и ведется лесное хозяйство. Таким образом, закрепленный в лесном законодательстве России термин «государственный лесной фонд» отображает результаты длительной эволюции отношения государства к лесу.
Согласно действующему Лесному кодексу Российской Федерации, с поправками и уточнениями лесной фонд образуют все леса, за исключением лесов, расположенных на землях обороны (Министерства обороны России) и землях населенных пунктов (поселений), а также земли лесного фонда, не покрытые лесной растительностью (лесные земли и нелесные земли). Более того, в лесной фонд и в леса, не входящие в лесной фонд, не включается древесно-кустарниковая растительность, расположенная на землях сельскохозяйственного назначения, в том числе на землях, предоставленных для садоводства и личного подсобного хозяйства. Кроме того, в лесной фонд не включается древесно-кустарниковая растительность на землях транспорта (на полосах отводов железнодорожных магистралей и автомобильных дорог) и на землях водного фонда (на полосах отвода каналов), а также на землях населенных пунктов (поселений), в том числе предоставленных для дачного, жилищного и иного строительства (за исключением городских лесов), и на землях иных категорий.
Площадь лесного фонда нашей страны составляет около 69% от всей площади суши вместе с внутренними водами, при этом 78,5% сомкнутых лесов России располагаются в ее Азиатской части и 21,5% - в Европейско-Уральской. Сомкнутые леса дают 45% лесистости нашей страны, а по Европейско-Уральской части России они обеспечивают в среднем 39% лесистости ее территории (от 2 до 78%, в зависимости от региона).
Лесной фонд России изучен разными методами: наземная лесоинвентаризация при плановом лесоустройстве, камеральное дешифрирование материалов дистанционного зондирования лесов (аэрофотосъемка и космическая съемка), аэротаксационные обследования, геоботанические описания. Начиная с середины 70-х гг. XX столетия, когда было решено, что дальнейшее детальное изучение государственного лесного фонда не имеет смысла, так как все более или менее пригодные для лесозаготовки леса были приведены в известность, общая площадь лесного фонда незначительно изменяется по годам.
Согласно данным «Государственного доклада о состоянии и использовании лесных ресурсов Российской Федерации в 2002 г.», по состоянию на 1 января 2003 г., общая площадь лесного фонда и лесов, не входящих в лесной фонд, в Российской Федерации определена в 1178714,2 тыс. га или 69,3% от площади земельных угодий. Площадь лесов, не входящих в лесной фонд, составила 5492,2 тыс. га, в том числе леса обороны, находящиеся в ведении Минобороны РФ, 4316, 6 тыс. га и городские леса - 1175,6 тыс. га. Площадь лесного фонда составила 1173222 тыс. га.
В ведении Минобразования РФ находится 340, 7 тыс. га, а Минсельхоза РФ - 40335 тыс. га. В ведении МПР РФ находится 1132546, 3 тыс. га, в том числе 1107247, 5 тыс. га, управляемых с целью ведения лесного хозяйства и находящихся в ведении Государственной лесной службы МПР РФ, и 25298, 8 тыс. га, управляемых с целью охраны природы и находящихся в ведении Департамента особо охраняемых природных территорий, объектов и сохранения биоразнообразия.
Многие авторы отмечали, что незавершенность изучения лесного фонда по методам и точности полученных оценок составляет серьезное препятствие не только для долгосрочных прогнозов развития лесного хозяйства, но и для коррекции среднесрочных и даже краткосрочных прогнозов [89, 93].
Необходимость такой коррекции обусловлена целым рядом факторов, начиная от глобальных - потепления климата и условий выполнения международных конвенций об изменении климата и о сохранении биологического разнообразия - вплоть до факторов локального и регионального роста деградации и освоения лесов в связи с разведкой и добычей газа, нефти и других полезных ископаемых.
Безусловно, требуют уточнения северная граница лесов и лесного фонда России, границы и районы распространения переходной зоны от арктической тундры к зоне произрастания лесов, включая выявление месторасположения и границ притундровых лесов на биогеографической основе, а не по административному принципу.
Земли лесного фонда подразделяют на лесные и нелесные. Понятие «лесные земли» объединяет участки земли, на которых произрастают или могут произрастать леса. Лесные земли в свою очередь подразделяются на две категории: покрытые лесной растительностью земли и непокрытые лесной растительностью земли, но предназначенные для ее восстановления (вырубки, гари, погибшие древостой, редины, пустыри, прогалины, площади, занятые питомниками, несомкнувшимися лесными культурами, и др.). Общая площадь лесных земель в введении МПР РФ составляет 821, 76 млн га на 01.01.2003.
К категории «покрытые лесной растительностью лесные земли» относятся лесные земли, занятые молодняками, с полнотой 0,4 и выше, и древостоями более старших возрастов, с полнотой 0,3 и выше, а также кустарники, с полнотой 0, 4 и выше, на землях, где не может быть обеспечено выращивание леса, состоящего из древесных пород или в случаях, когда организуется специальное хозяйство на кустарниковые породы (облепиховое, лещиновое, ивовое и др.). К тому же внутри учетной категории «покрытые лесной растительностью лесные земли» выделяют следующие единицы учета: древостой (с выделением групп возраста и доминирующих древесных пород), естественные редины, лесные культуры, несомкнувшиеся лесные культуры, лесные питомники и плантации. Общая площадь земель, покрытых лесной растительностью и находящихся в ведении МПР РФ, составляет 717, 66 млн га на 01.01.2003.
К непокрытым лесной растительностью лесным землям относят участки, пригодные для выращивания леса, но не занятые производительными древостоями. Общая площадь не покрытых лесной растительностью земель и находящихся в ведении МПР РФ составляет 104, 1 млн га на 01.01.2003.
Почти 95% лесов России произрастают в бореальном поясе и имеют низкую природную продуктивность [14]. Значительные территории лесного фонда заняты водно-болотными экосистемами, являющимися крупнейшими резервуарами биологического разнообразия бореального пояса земли. Они служат не только средой обитания животных и жизнеобеспечивающим пространством сезонных миграций многих видов млекопитающих и птиц, но скрывают в своих недрах колоссальные запасы газа, нефти, угля и других ископаемых видов минеральных ресурсов. Поэтому на территории государственного лесного фонда происходит столкновение проблем сохранения бореальных лесных и водно-болотных экосистем, как основы поддержания биологического разнообразия в Северном полушарии, с проблемами лесозаготовок и проблемами добычи и транспортировки ископаемых ресурсов. Все это резко снижает размер экономически доступных эксплуатационных лесов и делает проблематичным достижение рыночной доходности лесов на значительных территориях.
Леса произрастают практически на всей территории России. Обширность этой территории определяет большое разнообразие и богатство природных условий. В целом для России характерна равнинная поверхность, но в местах с сильно расчлененным рельефом в Европейско-Уральской части (ЕУЧР) имеются ландшафты, подобные горным (например, Жигулевские горы в Поволжье). Собственно горные области, кроме Урала, расположены вдоль границ ЕУЧР и за рекой Енисей. Обширная Западно-Сибирская равнина между Уралом и Енисеем представляет собой слегка покатую к северу, почти совершенно плоскую низменность. Среднесибирское плоскогорье между реками Енисей и Лена имеет резко повышенную, но слабоволнистую поверхность. Практически все земли к востоку от реки Лены и озера Байкал до Тихоокеанского побережья имеют облик горной страны, в пределах которой хребты с высотой до 3 тыс. м чередуются с плоскогорьями.
Континентальный климат России с суровыми и в основном многоснежными зимами и жарким летним сезоном имеет свои парадоксы. Например, даже в центре Якутии могут вызревать арбузы, в то время как на тех же широтах в Европе это невозможно. Наиболее резко выражен континентальный климат в Восточной Сибири вплоть до хребтов Дальневосточного Приморья.
В Восточной Сибири - самое холодное лето, широко распространена вечная мерзлота. Вечномерзлотные почвы составляют более половины почв России. В ЕУЧР вечная мерзлота встречается только на Кольском полуострове, в Ненецком национальном округе и на Крайнем Севере Республики Коми.
В Западной Сибири область вечной мерзлоты распространяется значительно дальше к югу. К востоку от Енисея, вплоть до Тихоокеанского побережья вся территория в наших границах (за исключением южного Приморья) лежит в области вечной мерзлоты.
Пространственное распределение лесов в России определило историю хозяйственного развития многих районов, так как традиции обустройства жизни в России неразрывны с деревянным строительством, за исключением современных городов.
В целом относительно благоприятные климатические условия для произрастания лесов по данным ВНИИЦлесресурс имеются на 59% площади суши России, а на ЕУЧР - на 70% [58].
Равнинная природа большей части территории России и выраженность широтных географических поясов на всей территории от Балтийского моря до Тихого океана способствовали постепенному заселению пустующих и малонаселенных земель к востоку от ЕУЧР, откуда исторически развивается российское государство.
Всего в России 67% лесных земель соответствует условиям произрастания хвойных лесов и 17% заняты хвойными редкостойными лесами. К зонам тайги и тундры относится 78% территории России, для 80% площади лесных земель характерны бореальные условия произрастания лесов, при этом здесь сосредоточено 87% всех лесопокрытых земель страны. При средней лесистости России 44,1% в бореальных лесах она составляет 57%. Состояние природы этих регионов еще более усугубляется в связи с чрезвычайной хрупкостью энергетического равновесия ландшафтов. Более 3/4 лесов России произрастает на почвах, образовавшихся на многолетнемерзлых породах, на так называемой «вечной мерзлоте», и в районах распространения островной или линзовидной вечной мерзлоты. Лесозаготовки, а также газо- и нефтедобыча в этих лесах - причина катастрофических изменений мест произрастания растений и обитания животных. В районах избыточного увлажнения (а это весьма существенная часть равнинной северной и средней тайги) вырубки, буровые площадки и участки с нарушенным растительным покровом интенсивно заболачиваются. В результате сильно изменяются радиационно-тепловой и водный балансы обширных территорий [126].
5.7. Принцип историзма в управлении лесным хозяйством России
Принцип историзма в лесном хозяйстве заключается, прежде всего, в преемственности научных и управленческих взглядов на складывавшуюся веками систему государственного управления лесами России. Леса России - это не только средоточие древесных ресурсов, они также создают возможность существования различных биологических форм жизни, являются бесценным источником генетического разнообразия и, самое главное, определяют среду существования человечества. Российские леса являются не просто нашим национальным богатством, нашей национальной гордостью, но и являются также нашей национальной ответственностью перед человеческой цивилизацией.
Ни одна страна мира не обладает такими лесными богатствами, как Россия. Народы Российской Федерации владеют более 1/5 мировых запасов древесины и 22% площади мировых лесов. Вклад российских лесов в мировую экономику природу неоспорим, он совершенно не соизмерим с их вкладом в глобальные экологические процессы. Лес - наше богатство. Богатством надо уметь управлять. На протяжении всей истории России лесное хозяйство управлялось государством. Государственный орган управления имел статус министерства (или приравненного к нему Государственного комитета СССР) и обладал достаточными полномочиями для формирования лесного дохода страны в целом. Перед началом первой мировой войны (1913г.) средства лесного дохода от ведения лесного хозяйства только в государственных (казенных) лесах (примерно 37% от площади сомкнутых лесов, в которых велось доходное лесное хозяйство) позволяли не только покрывать затраты на устройство и ведение хозяйства, но и существенно пополнять государственный бюджет. В частности за счет лесного дохода содержались центральные и местные учреждения Лесного департамента, производились платежи в местные бюджеты, оказывалось содействие местному населению в лесоразведении, а также велось необходимое строительство, ремонт зданий, приобреталось имущество. Помимо этого на средства лесного дохода содержался Императорский лесной институт, оплачивались разные расходы администрации (путевое довольствие, награды, пособия) и т.п. Лесные товары представляли собой одну из ведущих статей российского экспорта, а лесное дело в российской экономике считалось приоритетным, относилось к высокорентабельным отраслям материального производства.
В 1998 г. Россия отметила 200 лет со дня учреждения государственного органа управления лесным хозяйством России. Именно благодаря государственному управлению лесами за 200 лет удалось сохранить и лесистость страны, одну из самых высоких в мире, и практически потомственные кадры работников лесного хозяйства.
История лесного хозяйства в мире и в России показывает, что управление национальными лесами и ведение лесного хозяйства не зависит от общественного уклада и социально-политических систем, так как исходит из свойств лесов. Все попытки изменить это в бывшем СССР ни к чему хорошему не приводили и заканчивались возвратом к отработанной за 200 лет системе управления государственным органом, имеющим юридическую и экономическую самостоятельность. Кроме исторического опыта, есть и другие основания предполагать, что и в современных условиях возобладает здравый смыл и государство не упустит своей выгоды от обладания национальным богатством - лесами России.
Опыт других стран мира в области управления природными ресурсами показывает, что во всех странах мира лесное хозяйство и управление им опирается на государственный орган, имеющий юридическую самостоятельность. Такие государственные органы в зарубежных странах напрямую управляют лесами, находящимися в государственной собственности, и осуществляют строгий контроль за деятельностью органов, созданных для управления частными, местными (провинциальными и коммунальными) и переданными лесопромышленным компаниям лесами.
Все попытки реформировать систему государственного управления лесами в России были неудачны именно потому, что главные функции лесного хозяйства (сохранять и улучшать леса, не давая их вырубать без учета интересов будущих поколений) невозможно передать в любые другие структуры, так как исполнение этих функций требует длительного профессионального обучения и специальной профессиональной организации взаимодействия. Недаром при реформировании России после революции 1917г. В.И. Ленин писал: «Лесных специалистов нельзя заменить никакими другими...».
Система управления лесами является главной составной частью национальной, общегосударственной лесной политики России. Национальная лесная политика определяется в большей степени состоянием дел на мировом рынке лесоматериалов и уровнем развития внутреннего рынка, чем положением дел в природно-ресурсном блоке экономики вообще. Другими словами, политика взаимодействия лесной промышленности с лесным хозяйством важнее для устойчивого управления лесом России, чем все другое. На сегодняшний день инвестирование иностранного капитала в лесной сектор экономики России происходит на основе односторонних выгод для инвесторов, так как инвестиции идут исключительно в лесозаготовку и деревопереработку, т.е. туда, где есть быстрая отдача. Лесному сектору России нужны инвестиции. Для того чтобы создать привлекательные условия для иностранных инвестиций в лесной сектор России, совсем не обязательно отдавать лес в концессию или в аренду на 49-99 лет или передавать лес в частное владение. Имеющийся у России исторический опыт говорит о том, что вся выгода уйдет мимо государства - собственника лесов, но лес пострадает. Первейшая и наиважнейшая задача государства - создать такие условия ведения лесного хозяйства и функционирования частных предприятий лесопромышленного комплекса, при которых заработает механизм реинвестирования лесного дохода в комплекс работ по ведению лесного хозяйства, включая поддержание глобальных экологических функций лесов, в том числе и на вечно-мерзлотных почвах многих районов Сибири и Дальнего Востока, где лесного дохода не будет никогда.
Лес и лесное хозяйство в России всегда были доходными, но, конечно, не везде. Более 500 млн га покрытой лесной растительностью площади лесного фонда не представляют, и не будут представлять в обозримом будущем возможность извлечения доходов. Может быть, грядущие поколения смогут на основе других технологий повысить доходность наших низкопродуктивных северных и притундровых лесов. Или, наоборот, за этими лесами законодательно закрепят статус неприкосновенного экологического запаса, так как именно эти леса определяют водно-тепловой баланс и условия существования водосборных бассейнов наших великих северных рек - Енисея, Оби, Лены, Печоры, Северной Двины и др.
Но сегодня важнее всего правильно понять, какое лесное хозяйство нужно России, с учетом геополитической роли ее лесов. Вопросы развития рыночных отношений в лесном секторе и создания условий для коррекции механизмов принятия решений в сторону хорошо сбалансированного землепользования, увязанного с техническими средствами и технологиями лесоводческих и лесозаготовительных операций, интенсивностью переработки лесной продукции и древесины и т.п., отходят на второй план перед необходимостью переосмыслить роль и значение леса в жизни России.
Оглядываясь назад, невольно подмечаешь, что наши предшественники умели видеть, ставить и решать проблемы управления национальным богатством, таким как леса, с учетом конкретных экономических условий России. Новая парадигма взаимоотношения человека с лесными экосистемами не допускает дальнейшего развития эффективного лесного хозяйства, основываясь только на идее пользования лесными ресурсами. В слишком большом количестве случаев пользование лесом ведет к деградации или исчезновению леса, чтобы сохранилось доверие к системе лесного хозяйства, выстроенного вокруг идеи пользования лесом.
Нужны новые идеи и новые подходы. Сделать так, чтобы взаимоотношения человека с лесными экосистемами было на приемлемом для лесных экосистем и посильном для общества уровне, является задачей новой теории лесного хозяйства и новой лесной политики. И если ранее на первом месте стояла экономическая выгода и техническая целесообразность количественных расчетов возможных для вырубки лесов, то в скором будущем на первое место выйдут расчеты поддержания биологического разнообразия и повышения продуктивности леса, и исходя из этого - нормативов и приемов извлечения части лесных ресурсов.
Лесное законодательство России определило механизм государственного управления лесным хозяйством, ориентируясь исключительно на идею пользования лесом и получение лесного дохода. Но лесное законодательство не учло, что даже при рыночной модели экономического развития, лесная политика уже не может игнорировать тот факт, что леса России в современном мире давно являются, прежде всего глобальным экологическим фактором, средой обитания множества живых организмов, включая и человека, и лишь после этого средством производства древесины.
Глава 6
ЛЕСНОЙ СЕКТОР ЭКОНОМИКИ РОССИИ И ЕГО РЫНКИ
6.1. Особенности лесопромышленного комплекса России
Переработка древесины в промышленных масштабах всегда находилась вне сферы деятельности лесного хозяйства России, хотя именно после переработки древесина достигает самой высокой рыночной стоимости. Поэтому главные различия между странами мира в эффективности лесного хозяйства и лесного сектора в целом связаны с различиями в структуре себестоимости конечной продукции из древесины.
В период с 1918 по 1991 гг. практически не учитывались прямые и обратные связи между производством и потреблением древесины и, соответственно, между лесным хозяйством и лесной промышленностью, которую сейчас образно называют лесопромышленным комплексом России. Но что интересно: и с началом пути в новую Россию - страну с рыночной капиталистической экономикой анализ этих сложных взаимосвязей остался в стороне от Правительства, хотя по объемам производства и потребления древесины и ее изделий Россия год от года все больше уступает мировым лидерам (США, Канаде), а в последние годы по ряду позиций - даже некоторым развивающимся странам [29].
По объему заготовки древесины Россия уступает Китаю, Индии, Бразилии, Индонезии. Причем Китай догнал Россию по производству пиломатериалов, а по выпуску клееной фанеры и шпона наша страна уже оказалась далеко позади не только Китая, но и Индонезии. По производству ДСП Россия занимает восьмое место в мире после США, Германии, Канады, Италии, Франции, Великобритании и Испании. Что касается ДВП, то Россия по объему их производства переместилась со второго на шестое место в мире [133].
Таблица 6.1
ДИНАМИКА ВЫВОЗКИ ДРЕВЕСИНЫ В РОССИИ ЗА 1970-1992 гг. (по предприятиям, учитываемым Госкомстатом России) [58]
Лесной сектор экономики России традиционно подразделяется на две части: лесопромышленный комплекс и лесное хозяйство. Оба понятия включают собственно лесную, целлюлозно-бумажную и деревообрабатывающую промышленность и систему управления государственным лесным хозяйством. «Лесная промышленность» в этом контексте включает деятельность, связанную с лесозаготовками.
Поле деятельности органов, занятых государственным управлением лесами (лесным хозяйством), традиционно рассматривалось Правительством как нечто дополнительное к лесопромышленному комплексу, а сами леса России - как сырьевая база для лесозаготовок. Это отображает результат реализации системы, выстроенной вокруг идеи пользования лесом.
Лесная промышленность всегда являлась одной из среди важных отраслей экономики и определяла развитие социально-экономической составляющей регионов, увеличивая валютные резервы государства благодаря экспорту древесины.
Однако, начиная с 70-х и 80-х гг. XX в. стали очевидными тенденции снижения роли этой отрасли в существовавшей тогда экономической системе. Новые отрасли промышленности - газовая и нефтяная - в связи с устойчивым ростом цен на экспортируемые углеводородные энергоносители первого всемирного энергетического кризиса довольно быстро оттеснили лесную промышленность на третье место в валютных поступлениях государства. Это проявилось в снижении:
а) удельного веса ее продукции в валовом национальном продукте, ее веса в народном хозяйстве;
б) основных фондов и основных капиталовложений;
в) занятости в отрасли.
В этот период средние ежегодные темпы развития главных отраслей промышленности во много раз превышали темпы развития лесной, целлюлозно-бумажной и деревообрабатывающих отраслей. В конце 80-х гг. общая доля главных заготовителей леса - Министерства лесной промышленности СССР, Госкомлеса СССР и Министерства внутренних дел СССР - составляла 293,8 млн м3 (81,6% всей заготовленной древесины). Так называемые независимые заготовители собирали 66,2 млн м3. Средний объем заготовок на одно лесозаготовительное предприятие составлял по предприятиям: Министерства лесной промышленности СССР - 332 тыс. м3, Госкомлеса СССР - 32 тыс. м3, других министерств и ведомств - 11 тыс. м3[53].
В таблице 8.1 показана динамика вывозки древесины в России в целом за период 1970-1992 гг. В течение 20 лет (1970-1989 гг. вывозка древесины в целом по России оставался на стабильно высоком уровне, но с 1990 г. наметилась тенденция ее снижения. В Европейско-Уральской части России это проявилось немного раньше, что было связано с решением Правительства увеличить объем лесопользования в Азиатской части России. Это отразилось на динамике производства важнейших видов продукции деревоперерабатывающими предприятиями России за период 1970-1993 гг. (таблица 6.2).
Таблица 6.2
ПРОИЗВОДСТВО ОСНОВНЫХ ВИДОВ ЛЕСОМАТЕРИАЛОВ В РОССИИ ЗА ПЕРИОД 1970-1993 гг. [58]
В результате к началу 90-х гг. сложилась определенная территориальная структура лесопромышленного производства по объему выпускаемой продукции и стоимости промышленно-производственных фондов (таблица 6.3).
Таблица 6.3
ТЕРРИТОРИАЛЬНАЯ СТРУКТУРА ЛЕСОПРОМЫШЛЕННОГО
ПРОИЗВОДСТВА ПО ОБЪЕМУ ВЫПУСКАЕМОЙ ПРОДУКЦИИ
И СТОИМОСТИ ПРОМЫШЛЕННО-ПРОИЗВОДСТВЕННЫХ ФОНДОВ
(по данным ВНИИПИЭИлеспрома) [58]
Эта структура способствовала развитию и усилению тех диспропорций в развитии лесного сектора, которые исторически складывались по мере освоения территории страны. В Европейско-Уральской части России сосредоточилось 68,6% объема выпускаемой продукции переработки древесины и 63,7% стоимости промышленно-производственных фондов. Восточная Сибирь практически сравнялась с Северным районом Европейской части России, Дальний Восток фактически приблизился по этим показателям к Северо-Западному району, Западная Сибирь немного опередила Волго-Вятский район Европейской части России. Но если сравнить абсолютные объемные показатели деревоперерабатывающего производства (таблица 6.4), то сложившаяся к 1991 г. территориальная структура производства отдельных видов лесоматериалов вызывала сильное беспокойство.
Таблица 6.4
ТЕРРИТОРИАЛЬНАЯ СТРУКТУРА ПРОИЗВОДСТВА ОТДЕЛЬНЫХ ВИДОВ ЛЕСОМАТЕРИАЛОВ (1991 г.)
(по предприятиям, учитываемым Госкомстатом РФ)
В Европейской части России производилось более чем 90% бумаги, 70% картона, 68% целлюлозы, 75% листовых лесоматериалов (ДСП и ДВП), а фанеры - более 85%. И только по пиломатериалам Азиатская часть России превысила 40% произведенной продукции, но 59% ее было произведено в Европейско-Уральской части России.
С распадом Советского Союза Министерство лесной и целлюлозно-бумажной промышленности СССР - администратор и координатор лесозаготовок и переработки древесины - было упразднено. В декабре 1992 г. был создан Союз лесоторговцев России - организация, объединяющая свыше 800 компаний, фирм и предприятий лесной промышленности и лоббирующая интересы отрасли в различных федеральных органах законодательной и исполнительной власти. В январе 1993 г. с целью управления лесопромышленным комплексом и координации работ на федеральном уровне последовало учреждение Российской государственной лесопромышленной компании «Рослеспром».
По состоянию на 1993 г. доля «Рослеспрома» в общем объеме лесозаготовок (174,0 млн м3) была 102 млн м3, доля Ассоциации «Российский лес» - 15,4 млн м3, доля Министерства сельского хозяйства и продовольствия - 17,2 млн м3, Министерства внутренних дел -10,2 млн м3, Российского агентства топливных отраслей промышленности - 6,5 млн м3, Министерства обороны - 2,3 млн м3. Большая часть промышленной (деловой) древесины, древесных плит, целлюлозы и бумаги производилась предприятиями «Рослеспрома» [53].
В целом по России общая тенденция роста производства, которая наблюдалась в период 1970-1988 гг., сменилась падением производства в период 1989-1993 гг. по всем основным видам лесоматериалов (таблица 6.5).
Темпы спада лесопромышленного производства в годы перехода России к рыночной экономике были выше в сравнении с падением промышленности России в целом. Объемы вывозки древесины, производства пиломатериалов, древесной плиты, целлюлозы и бумаги за период с 1988 по 1999 гг. сократились в четыре раза. Уровень рентабельности в лесном комплексе снизился за этот период до 8%. Более половины лесопромышленных предприятий стали убыточными [29].
Основное звено лесопромышленного комплекса - лесозаготовительная отрасль значительно снизила объемы заготовки древесины. Разрушилась технологическая цепочка, поскольку спрос на деловую древесину превышал предложение: не обеспечивались экспортные контракты и внутреннее потребление. Износ лесозаготовительной техники составил более 70%. Имеющаяся машиностроительная база для изготовления лесозаготовительной техники использовалась всего лишь на 8-10% [29, 53].
Система организации лесной промышленности, включая лесозаготовительные и деревообрабатывающие предприятия, в том числе и целлюлозно-бумажные комбинаты, была вовлечена в процесс разгосударствления и приватизации. К этому времени Россия по производству основных видов лесопромышленной продукции, в пересчете на 1000 человека населения, переместилась на мировой шкале далеко вниз от мировых лидеров (таблица 6.6). Хотя в пересчете на 1000 м3 заготовленной древесины многие позиции были сохранены, в основном в производстве листовых лесоматериалов и, особенно, фанеры (таблица 6.7). Тем не менее общее падение уровня жизни населения, в результате перестройки экономики всей страны с плановой модели на рыночную, сопровождалось падением внутреннего потребления лесоматериалов (таблица 6.8.).
Таблица 6.6
ДИНАМИКА ПРОИЗВОДСТВА ВАЖНЕЙШИХ ВИДОВ
ПРОДУКЦИИ ЛЕСОПЕРЕРАБАТЫВАЮЩИХ ОТРАСЛЕЙ В
РОССИИ ЗА ПЕРИОД 1970-1993 гг (ПО ДАННЫМ
ГОСКОМСТАТА РОССИИ)
Таблица 6.6
ПРОИЗВОДСТВО ОСНОВНЫХ ВИДОВ ЛЕСОПРОМЫШЛЕННОЙ
ПРОДУКЦИИ В РОССИИ И НЕКОТОРЫХ ЗАРУБЕЖНЫХ СТРАНАХ
НА 1000 чел. НАСЕЛЕНИЯ [58]
Примечания к таблице 6.6: 1. Данные получены расчетным путем через общие объемы производства. 2. Производство бумаги и картона по зарубежным странам показано в целом. 3. Приведены данные на середину 90-х годов.
Таблица 6.7
ПРОИЗВОДСТВО ОСНОВНЫХ ВИДОВ ЛЕСОПРОМЫШЛЕННОЙ
ПРОДУКЦИИ НА 1000 м3 ЗАГОТОВЛЕННОЙ ДРЕВЕСИНЫ (ЧИСЛИТЕЛЬ)
И В РОССИИ ВСЕГО (ЗНАМЕНАТЕЛЬ), И В НЕКОТОРЫХ
ЗАРУБЕЖНЫХ СТРАНАХ [58]
Примечания к таблице 6.7 : расчетные данные ВНИИЦлесресурс по официальной статистике: для России – по данным Госкомстата, для зарубежных стран – по данным ФАО.
Таблица 6.8
ВНУТРЕННЕ ПОТРЕБЛЕНИЕ ОСНОВНЫХ ВИДОВ
ЛЕСОПРОМЫШЛЕННОЙ ПРОДУКЦИИ В РОССИИ И НЕКОТОРЫХ
ЗАРУБЕЖНЫХ СТРАНАХ В 1995 г. НА 1000 ЧЕЛОВЕК НАСЕЛЕНИЯ
(ПО ДАННЫМ [132])
Примечание к таблице 6.8: * усредненные данные за 1992-1995 гг.
Устойчивый рост лесопромышленного производства начался в России в 1997-1998 гг. (таблица 6.9), хотя по данным [29], в период 1996-1998 гг. впервые наблюдалась отрицательная рентабельность всего лесопромышленного комплекса (ЛПК) России, т.е. его убыточность. Если средняя рентабельность снижалась с 1992 г. с 36 до 15,5% в 1995 г., то в 1996 г. она была минус 7,4%, в 1997 г. - минус 7,7%, а в 1998 г. - минус 4,2%. В 1999 г. наблюдался резкий скачок рентабельности всего ЛПК, она превысила 25%, причем по отдельным отраслям ЛПК и падение, и рост рентабельности были гораздо сильнее [29].
В 1999 г. лесопромышленный комплекс по темпам роста производства занимал одно из первых мест среди отраслей промышленности. Объем производства лесной продукции в 1999 г. составил 117% к уровню 1998 г., а по отдельным видам лесопродукции - от 12 до 35%. Вывозка древесины составила 87,7 млн м3 (рост на 11%), производство деловой древесины - 70,5 млн м3 (рост на 10%), комплексная выработка древесины на лесозаготовках составила 450 м3 (рост на 12,5%), произведено 1319 тыс. м3 фанеры (рост - 120% к уровню 1998 г.).
Лесопромышленную деятельность в Российской Федерации осуществляют более 20 тыс. предприятий, в том числе более 3 тыс. - крупных и средних, являющихся в основном (95%) акционерными обществами, на которых работает более 1,14 млн человек. Предприятиями ЛПК выпускалось продукции на сумму порядка 55 млрд рублей (1999), что составляло 3,3% промышленной продукции страны. В 1999 г. общий объем инвестиций в ЛПК за счет всех источников финансирования составил 9,9 млд руб (лесозаготовительная промышленность - 2,08 млрд руб., деревообрабатывающая - 2,31 млрд руб., целлюлозно-бумажная - 5,48 млрд руб., лесохимическая - 0,04 млрд рублей. Общий товарооборот ЛПК за 1999 г. оценивается в сумме 6,4 млрд долларов США или 158 млрд руб. Впервые за последние три года предприятия ЛПК получили положительный финансовый результат - прибыль в 1999 г. составила 16,8 млрд руб., и ЛПК перешел в разряд рентабельно работающих отраслей экономики. Общая рентабельность производства продукции по ЛПК в 1999 г. составила 24% (в 1998 г. эта величина составляла всего 4%). В целом более 60% леспромхозов улучшили свое финансово-экономическое положение и обеспечили рост производства от 12 до 70%. Все предприятия ЛПК перечислили в консолидированный бюджет 15,2 млрд руб. налоговых платежей, в том числе в федеральный бюджет - 4,4 млрд руб., или в 4,2 раза больше, чем в 1998 г.
Позитивные тенденции в ЛПК продолжались и в 2000 г. Производство лесобумажной продукции за 8 месяцев 2000 г. составило 115% к соответствующему периоду прошлого года. Увеличен выпуск деловой древесины на 9,9%, пиломатериалов - на 9,6%, ДСП - на 20,6%, ДВП - на 18,6%, фанеры клееной - на 15,9%, целлюлозы товарной - на 22,9%, бумаги - на 15% и картона - на 25,9%. Этому способствовали принятие на федеральном и региональном уровнях ряда мер по поддержке лесного сектора экономики. Поступления налоговых платежей в бюджетную систему за первое полугодие
Таблица 6.9
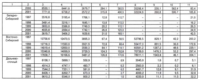
ПРОИЗВОДСТВО ДЕЛОВОЙ ДРЕВЕСИНЫ И ОСНОВНЫХ
ВИДОВ ЛЕСОПРОМЫШЛЕННОЙ ПРОДУКЦИИ ПО
ЭКОНОМИЧЕСКИМ РАЙОНАМ РОССИИ 1997-2001 гг.


2000 г. составили около 9 млрд руб., что в 2,7 раза выше уровня прошлогоднего периода [29].
По состоянию на 2000 г. в ЛПК только 5% предприятий по заготовке и переработке древесины остались в государственной собственности, остальные 95% находятся в частной, акционерной или смешанной формах собственности. Показатели объема инвестиций за первое полугодие 2000 г. составляют 6,78 млрд руб., или 170% от уровня первого полугодия 1999 г., в том числе 5,52 млрд руб. выполнено за счет собственных средств.
В настоящее время производство лесной продукции занимает в структуре экономики России пятое место по объемам внутреннего валового продукта и четвертое - по объемам экспорта. В 45 субъектах РФ продукция лесной промышленности составляет от 10 до 50% от общего объема промышленной продукции соответствующих регионов.
Прогнозы объемов производства основных видов лесопромышленной продукции, выполненные Департаментом лесного комплекса Минэкономики и «Рослеспромом», были построены с учетом предполагаемого уровня инфляции, развития ценовой политики и стабильности на внутреннем рынке потребления. В частности, Федеральной программой развития лесопромышленного комплекса на период до 2005 г. предусматривается рост объемов лесозаготовок в 1,6—1,7 раза, т.е. составит около 304 млн м3 в условном круглом лесе.
Возникает естественный вопрос о реалистичности этих прогнозов. Перманентный дефицит хвойных пиломатериалов на внутреннем рынке России в 90-х гг. сопровождался снижением их потребления по целому ряду социально-экономических причин. Резкий спад внутреннего потребления к концу 90-х гг. обусловлен конъюнктурой рынка и ориентацией производителей на получение максимальных прибылей. Предполагается, что с приближением экспортных цен к мировым уровень обеспечения внутреннего потребления возрастет, что станет возможным только при условии роста доходов населения.
Катастрофическое сокращение лесозаготовок в азиатских регионах России стало первым ощутимым для лесного сектора экономики следствием скачкообразного введения рыночных отношений в области торговли энергоносителями, транспортных услуг, оплаты труда, сопровождавшегося таким же резким сокращением государственных дотаций на фоне гиперинфляции. Темпы естественного устаревания техники и оборудования резко возросли из-за прекращения финансирования технологических ремонтов. Повсеместное обеднение народа привело к резкому падению платежеспособного спроса на лесопромышленную продукцию.
Эти причины являются внешними атрибутами кризиса лесного сектора экономики России. Гораздо важнее, что это подорвало потенциал развития лесопромышленных предприятий, который не могли поправить реформы собственности и приватизация. Уровень централизованных капиталовложений в лесном секторе сократился с 80% в 1988 г. до 5% в 1995 г. Сократились также и инвестиции за счет собственных средств предприятий [29].
Объемы производства лесопромышленной продукции по сравнению с 1988 г. резко снизились. Уровень занятости в производстве понизился на 25%, а объем производства на одного работающего - на 48%. Уже в 1995 г. производственные мощности в производстве круглого леса использовались только на 58%, пиломатериалов - на 55, фанеры - на 51, ДСП - на 43, ДВП - на 48, целлюлозы - на 39, бумаги - на 40, картона - на 36%. К настоящему времени лесопромышленными предприятиями используется менее половины имеющихся мощностей.
Большинство из зарегистрированных лесопромышленных предприятий, особенно с высоко затратной инфраструктурой и устаревшим оборудованием, - неплатежеспособны. Число убыточных предприятий в лесном секторе возросло в целом по России за период 1992-1998 гг. в 10 раз, а удельный вес их в общем количестве предприятий увеличился за этот период с 5,1 до 40%. Уровень рентабельности лесопромышленной продукции снизился до 20% (с 40%). Сокращение объемов производства в разной степени коснулось всех видов продукции лесного комплекса. Только среди целлюлозно-бумажных предприятий производственные мощности сократились до уровня 60-х гг. Большинство деревообрабатывающих предприятий используют устаревшую технологию, что препятствует производству современной качественной и конкурентоспособной продукции, в том числе и для экспорта.
Современное оборудование установлено лишь на нескольких совместных предприятиях, выпускающих продукцию высокого качества для внешних рынков. Замена некоторого оборудования и модернизация были произведены в конце 80-х гг. на предприятиях, выпускающих древесно-плиточную продукцию, фанеру и пиломатериалы, и коснулись только 0,5% общего объема производственных мощностей. На долю Сибири и Дальнего Востока пришлась только 1/3 проведенных работ по переоборудованию [53].
Лесозаготовительные работы машинизированы примерно на 1/3, остальные выполняются с помощью ручного моторного инструмента. На лесозаготовках используют как отечественные валочно-трелевочные и валочно-пакетирующие машины, так и различное импортное оборудование, валочно-трелевочные машины и форвардеры. Последние применяются при работе по сортиментной технологии, доля которой невелика [29].
Основная технология лесозаготовок - заготовка хлыстов, а также целых деревьев, которые с помощью валочно-трелевочных, валочно-пакетирующих машин или тяжелых трелевочных тракторов доставляют к погрузочной площадке или верхнему складу. Обрезка сучьев и ветвей при заготовке малоценных деревьев, рубках ухода и санитарных рубках может производиться в лесу (как и раскряжевка на сортименты), а на рубках главного пользования ветви и сучья, как правило, обрезают на площадке у дороги с помощью тяжелых сучкорезных машин. Погруженные с помощью тяжелых гусеничных погрузчиков отечественного производства хлысты доставляют на лесовозах от верхних складов к нижним, где производится механизированная первичная обработка (раскряжевка и сортировка по размерам). В качестве основного транспортного средства используют грузовой автомобиль с полуприцепом. Раскряжевка хлыстов производится поштучно с помощью ручных циркулярных или ручных моторных пил. В большинстве районов лесозаготовки ведут только в зимнее время с целью предотвращения повреждения почвы и использования замерзших рек в качестве транспортных путей [53].
Жизнь диктует свои законы. Быстрое воссоздание лесной промышленности желательно, но весьма проблематично. Без эффективной лесной промышленности не поднять лесное хозяйство. Лесная промышленность - локомотив и донор лесного сектора, если внутренний рынок устойчиво потребляет лесоматериалы. В условиях, когда государство фактически покинуло свою собственность и ушло с лесного рынка страны, лесная промышленность может, как это уже было в нашей истории, начать истреблять леса России, оставшись наедине с идеей пользования лесом и идеей саморегуляции рыночной экономики. Государство, создавшее в лице своего правительства такую ситуацию, может стать главным врагом русского леса.
Лесопромышленный комплекс СССР прекратил свое существование с введением рыночных отношений. Усилия последних лет что-то восстановить, а что-то построить заново - не выходили за рамки традиционных чиновничьих перепланировок, когда перемены касались только верхних этажей управления, а социально-экономические основы при этом не затрагивались. Поэтому попытки последних лет вывести лесную промышленность из кризиса, когда прошлое управляло будущим, неконструктивны. Для прогнозных оценок возможного пути развития лесного сектора необходимо четко понимать, что произошли радикальные перемены в экономической системе.
Реформировать надо социально-экономические устои лесного сектора, а не однобокую федеральную составляющую системы управления. Нам представляется, что решение проблем связано с пересмотром основных теоретических положений лесного хозяйства, основанных на идее пользования лесом. Объявленные, но так и не завершенные реформы лесного сектора должны быть продолжены в направлении развития регулируемого государством лесного сектора рыночной экономики России.
Оценивая прошлое и стараясь заглянуть в будущее, нам очень трудно понять (зная опыт развития таких лесных стран, как Канада и Финляндия), почему в Правительстве России так долго не могут осознать глобальное и стратегически важное для устойчивого развития России значение ее лесных ресурсов и лесного сектора экономики.
6.2. Лесозаготовка и вывозка древесины
Лесозаготовительная промышленность является базовой отраслью ЛПК России. В течение последних лет она, как и весь лесопромышленный комплекс, переживает острый экономический кризис, который наиболее наглядно проявляется в спаде объемов производства, крайне низком уровне лесопользования, почти полном прекращении строительства и ввода в действие новых лесозаготовительных предприятий, многократном снижении выпуска отечественной лесозаготовительной техники и оборудования, ухудшении жизненного уровня жителей лесных поселков. Лесозаготовительная промышленность в течение ряда лет была убыточной подотраслью. В 1999 г. она стала рентабельной, но уровень рентабельности составил всего 12%, а размер чистой прибыли 996 млн руб. Кредиторская задолженность по состоянию на 1 января 2000 г. достигла 20,2 млрд руб., что сопоставимо с годовым объемом выпуска продукции.
На протяжении последних лет лесозаготовительная отрасль снижало объемы заготовки древесины. Разрушилась вся технологическая цепочка: не обеспечивались экспортные контракты и внутреннее потребление.
Износ лесозаготовительной техники составлял около 70%. Имеющаяся машиностроительная база для изготовления лесозаготовительной техники использовалась всего лишь на 8-10%.
Основными факторами, влияющими на положение дел в отрасли, наряду с общеэкономическими (несовершенство действующего налогообложения, диктат естественных монополий в формировании цен на энергоносители и тарифы на перевозку лесных грузов, высокие банковские ставки на кредиты), являются:
- отсутствие эффективных экономических механизмов для создания перехода от преимущественно зимней вывозки древесины к круглогодичному лесопользованию;
- проведение приватизации без учета специфики очаговости лесопользования в советский период истории и неэффективной инфраструктуры существовавших лесопромышленных предприятий, что привело к разрушению существовавших производственных, технологических и кооперативных связей между предприятиями, а также к отягощению экономики предприятий затратами на содержание социальной сферы (ежегодно из 1,0 млрд руб. затрат компенсируется из федерального бюджета всего лишь около 200 млн руб.);
- неэффективное законодательное регулирование экспортной деятельности, что приводит к односторонним выгодам частного сектора, а государство не получает справедливого вознаграждения собственника лесных ресурсов за их коммерческое использование, которое выражается в потерях валютных поступлений в бюджет Российской Федерации и утрате престижа российских товаров на внешнем рынке;
- низкий уровень менеджмента, в результате чего растет себестоимость производства, собственники предприятий не инвестируют средства в развитие производства, слабо проводится маркетинговая и финансовая политика.
Однако несмотря на серьезные негативные последствия первоначального этапа перехода к рыночным отношениям, ситуация в ЛПК стабилизируется.
В перспективе предполагается создать более совершенную структуру хозяйствующих субъектов в виде вертикально интегрированных структур, охватывающих полный технологический цикл лесозаготовок, вплоть до реализации конечной продукции (финансово-промышленные группы, холдинги, корпорации и др.). Такие структуры уже существуют и имеют положительные результаты. Но принципиальным является вопрос о том, как в будущем должны складываться экономические отношения между лесным хозяйством и его собственником - Российской Федерацией - и частными лесозаготовительными и деревоперерабатывающими предприятиями, образующими лесной сектор экономики страны.
По официальным данным за период 1990-2000 гг. объем вывозки древесины сократился более чем в три раза, производство пиломатериалов - в четыре, целлюлозы, бумаги и картона - почти в два раза. По уровню производства и потребления основных видов лесной продукции на душу населения Россия находится далеко позади не только промышленно развитых стран, но и многих развивающихся. С давних пор в России наблюдается диспропорция в размещении лесосырьевых ресурсов и лесоперерабатывающих производств. Именно создание мощностей по глубокой переработке древесины позволило Финляндии, Канаде, США, Японии и другим странам достигнуть значительного прорыва и эффективности работы лесного сектора экономики.
В конце 80-х гг. по объему вывозки древесины Россия занимала второе место в мире, уступая лишь США. В настоящее время нас опередили такие страны, как Китай, Индия, Бразилия, Канада, Индонезия, Нигерия. А ведущие страны мира - Канада, Швеция, Финляндия и США - далеко ушли вперед.
Лесозаготовительная промышленность на Дальнем Востоке и в Сибири в настоящее время существует за счет экспорта круглого леса. Лесозаготовительные компании считают более выгодным экспортировать бревна, а не продавать их на местные лесопильные заводы, которые не могут покрыть высоких цен на древесину.
В 1997 г. круглый лес составил 85,3% общего объема производства, в 2000 г. этот показатель подскочил до 90%. Около 68% этой древесины идет на экспорт в Японию, 25% - в Китай.
Общий объем экспорта древесной продукции с Дальнего Востока и Сибири в страны Азиатско-Тихоокеанского региона в 1999 г. превысил 10 000 000 м3 и несколько снизился в 2000 г. В настоящее время только около 10% заготовляемой древесины перерабатывается местными предприятиями, еще меньше идет куда-то на переработку.
В 1992 промышленность была более сбалансирована: выпуск круглого леса составлял 40% от общего объема производства, переработка древесины - 41 и целлюлозно-бумажное производство -16%. В то время почти половина всей древесной продукции использовалась в пределах региона, 1/5 поставлялась в другие регионы бывшего СССР, и 30% экспортировалось за рубеж [53].
Поскольку спрос на древесину на внутреннем рынке резко упал, а на международном - вырос, дальневосточная и сибирская лесозаготовительная промышленность оказалась в полной зависимости от экспорта. Сегодня отрасль отдана на откуп азиатским рынкам с их непостоянством спроса на древесину. Этот факт имеет особое значение для охраны биоразнообразия, так как на российские леса напрямую влияет спрос в Азии на определенные породы деревьев. Например, ясень ценится японскими компаниями как строительный материал для домов, и увеличение спроса на него в Японии привело к незаконным вырубкам в охраняемых бассейнах рек, а также к общему превышению допустимого уровня рубки в лесах, имеющих высокую охранную и рекреационную ценность. В этих лесах ранее заготавливались только хвойные породы. Значительная и возрастающая часть потока древесины твердолиственных пород направляется в Японию через Китай. Там она перерабатывается с получением большой добавленной стоимости. К тому же японские производители клееной фанеры теперь предпочитают российскую лиственницу. Эти изменения на японском рынке, могут в конечном итоге способствовать росту лесопромышленной активности в районах произрастания лиственницы, где широко распространены вечномерзлотные почвы. Лесозаготовительная активность в этих районах приведет к непредсказуемым разрушениям коренных ландшафтов бореальных лесов. И в определенной степени это может произойти в результате того, что китайский рынок будет искать любую замену лиственничной древесине, которая теперь идет в Японию [79].
Сосредоточившись на экспорте круглого леса, лесозаготовительные компании ведут более интенсивные заготовки. По мере увеличения экспорта древесины производство круглого леса также должно увеличиваться. Поскольку компании испытывают все больший недостаток в доступных для заготовки насаждениях, в поиске новых участков леса они осваивают массивы, не имеющие развитой инфраструктуры. Такого рода заготовки не только пагубны для окружающей среды и опасны для оставшихся нетронутых лесов, но и нестабильны с экономической точки зрения.
Например, когда спрос Японии на древесину упал во время азиатского финансового кризиса, замедлились операции по вывозке леса с Дальнего Востока и Сибири, так что в портах и торговых путях на границах с Китаем скопилась масса бревен. Во время этого кризиса и проявились проблемы крайне нестабильной экономики на основе экспорта круглого леса. Местные чиновники возобновили призывы к инвестированию в деревоперерабатывающую промышленность, что позволило бы России продавать готовую продукцию с добавленной стоимостью, тем самым обеспечивая значительные и более устойчивые доходы. И хотя появившаяся в 1998 г. тенденция к развитию переработки древесины увеличила число средних и крупных фирм, способных перерабатывать древесину, они не выказывают никакого желания сокращать объемы заготовок и стремятся получить лицензии на рубку на все новых территориях [17]. В Сибири и на Дальнем Востоке многие компании, занимающиеся заготовкой древесины, сейчас работают в жестких социально-экономических условиях. Бригада лесорубов зарабатывает только 18 рублей (75 центов) за кубометр заготовленной древесины. Так что в среднем один рабочий получает менее 10 центов за заготовленный кубометр. Водитель лесовоза, который перевозит бревна в порт на расстояние 40 км, зарабатывает 6 руб. (около 25 центов) за кубометр. Эта древесина будет продана в Китай или Японию по цене 70-100 американских долларов за кубометр. К сожалению, предприниматели часто вывозят доходы из страны, а не инвестируют в местную экономику. Лесорубы же продолжают работать за такие деньги, так как для них не существует других возможностей заработка [17].
Производство пиломатериалов и другой готовой продукции могло бы теоретически обеспечить работой местных жителей, а также позволило бы получать большую прибыль в расчете на одно дерево и сократило бы отходы древесины. Но поскольку предприниматели, занимающиеся лесозаготовкой, получают легкую прибыль от китайских оптовиков, которые работают на нелегальной основе вне бюджетной системы, и поскольку рабочие теряют свои навыки по переработке древесины и оборудование, которое разрушается и собирается на металлолом, - эти мечты о переработке зачастую становятся осуществимы в Китае, где дешевле и легче найти рабочую силу. Компании продолжают экспортировать круглый лес вместо того, чтобы инвестировать в переработку, при этом едва ли что-либо идет местному населению [17].
На этом социально-экономическом фоне три одновременно происходящих процесса - открытие азиатских рынков, приватизация и криминализация - вынудили многие крупные, бывшие государственные лесозаготовительные компании в Сибири и на Дальнем Востоке сократить производство и уволить работников. В ответ на это оставшиеся без работы люди открыли частные лесозаготовительные фирмы, работающие на старом и тяжелом погрузочном и транспортировочном военном оборудовании, которое появилось на рынке по очень низким ценам в процессе разоружения. Используя оборудование и материалы, полученные от основных лесозаготовительных компаний, эти малые предприятия обогатились путем незаконной заготовки и торговли древесиной по поддельным документам [17].
6.3. Переработка древесины,
производство и потребление лесоматериалов
По объемам производства и потребления древесины и ее изделий Россия все больше уступает мировым лидерам (США, Канаде), а в последние годы по ряду позиций даже некоторым развивающимся странам. Так, по объему заготовки древесины Россия уступает Китаю, Индии, Бразилии, Индонезии. Причем Китай догнал Россию по производству пиломатериалов, а по выпуску клееной фанеры и шпона наша страна уже оказалась далеко позади не только Китая, но и Индонезии. По производству ДСП Россия занимает восьмое место в мире после США, Германии, Канады, Италии, Франции, Великобритании и Испании. Что касается ДВП, то Россия по объему их производства переместилась со второго на шестое место в мире [29].
Почему Россия, имея самый значительный природный потенциал для развития лесного сектора, производит продукцию глубокой переработки древесины в несколько раз меньше (таблица 6.10), чем зарубежные страны с развитой лесной промышленностью?
Целлюлозно-бумажную промышленность следует назвать базовой для всего лесного сектора экономики, а не только ЛПК. В целом производство целлюлозы в России за период 1985-1998 гг. сократилось в два раза. В таблице 6.11, показана динамика производства основных видов целлюлозно-бумажной продукции в России за 15 лет. Основная часть (85%) этой продукции выпускается 15 наиболее крупными предприятиями. По данным [29, 53], падение объемов производства целлюлозно-бумажной продукции в целом по стране было больше, чем по ведущим предприятиям. Ведущие предприятия Северного района расположены ближе к основным российским и зарубежным потребителям; они производят наиболее качественную конкурентоспособную продукцию, пользующуюся спросом. Предприятия Иркутской области - Братский и Усть-Илимский ЛПК, несмотря на значительное удаление от основных рынков сбыта, также производят продукцию достаточно высокого качества, имеющую спрос. Доля Северного региона и Иркутской области в поставках на внутренний рынок составляет 98%, страны СНГ - 94% и в дальнее зарубежье - 96%. [28, 29].
Таблица 6.10
ЛЕСНЫЕ РЕСУРСЫ РОССИИ И СТРАН
С РАЗВИТОЙ ЛЕСНОЙ ПРОМЫШЛЕННОСТЬЮ [29]
В ходе реформ и приватизации целлюлозно-бумажных комбинатов и предприятий всей инфраструктуры лесопромышленного комплекса был утрачен контроль над внутренним рынком и ухудшились позиции России в мировой торговле целлюлозно-бумажной продукцией. В результате отечественный рынок был захвачен импортной целлюлозно-бумажной продукцией, причем, скорее всего, не без определенных выгод (прямых и косвенных) для частного предпринимательства в этом сегменте рынка [58].
В результате замены предусмотренных планом приватизации инвестиционных конкурсов на обычные денежные аукционы, допущенной Российским фондом федерального имущества, ряд крупных предприятий-монополистов на российском рынке (Светогорский, Котласский, Соломбальский, Балахнинский ЦБК) перешли в иностранную собственность, чем нанесен значительный ущерб экономике страны и ее национальным интересам. В частности, 73% акций Балахнинского ЦБК (АО «Волга»), производящего до 40% газетной бумаги, оказались у германской фирмы «ХИТ» по цене, составляющей не более 1% от реальной стоимости комбината [58]. Имея исключительное право на экспорт газетной бумаги, фирма продавала ее по цене 130-150 долл. за тонну при средней мировой цене 350 долл. (всего было продано за 1992-1994 гг. около 250 тыс. тонн). В 1994 г. 60% выпускаемой бумаги было отправлено на экспорт, при этом бюджет страны недополучил в виде налогов около 40 млрд руб., а в отечественных издательствах при этом был острый дефицит газетной бумаги. Поэтому существует проблема выравнивания пропорций отечественной и импортируемой бумаги на внутреннем рынке [58].
Таблица 6.11.
ДИНАМИКА ОБЪЕМОВ ПРОИЗВОДСТВА ОСНОВНЫХ ВИДОВ
ЦЕЛЛЮЛОЗНО-БУМАЖНОЙ ПРОДУКЦИИ В РОССИИ В 1985-1999 гг.,
тыс. тонн (по данным Госкомстата) [58]
На мировых рынках целлюлозы в последние годы характерен избыток предложения по ценам, которые сопоставимы с себестоимостью производства целлюлозы в России.
Хорошо известно, что главные различия между странами мира в эффективности лесного хозяйства и лесного сектора в целом связаны с различиями в структуре себестоимости конечной продукции из древесины. Например, по данным всемирно известной финской компании «Jaakko Poyry Consulting», специализирующейся на разработке проектов и оказании бизнес - консультаций в различных областях лесного сектора, эти различия могут достигать сотен процентов. В таблице 6.12 приведены в качестве примера данные этой компании по структуре полной себестоимости производства беленой целлюлозы из хвойных пород на западноевропейском рынке, а в таблице 6.13 аналогичные данные для Азиатской части России.
Таблица 6.12
ОРИЕНТИРОВОЧНАЯ СТРУКТУРА ПОЛНОЙ СЕБЕСТОИМОСТИ
ПРОИЗВОДСТВА БЕЛЕНОЙ ЦЕЛЛЮЛОЗЫ ИЗ ХВОЙНЫХ ПОРОД
НА ЗАПАДНОЕВРОПЕЙСКОМ РЫНКЕ
(в числителе - долл. США/тонна, в знаменателе - процент от полной себестоимости)
(по данным Jaakko Poyry Consulting - по состоянию на 5.05.1998 г.)
Из этих экспертных данных следует, что полная себестоимость производства беленой целлюлозы из хвойных пород на западноевропейском рынке составляет для различных регионов мира в денежном выражении 625-750 долл. за тонну, из них удельный вес стоимости древесины колеблется в пределах 20-40%, прочих производственных расходов - 15-35, транспортных расходов - 10-20%. Доля торговых издержек составляет 3-5% от полной себестоимости. Удельный вес капитальных расходов приблизительно равен удельному весу стоимости древесины (15-50%).
Наибольшую себестоимость производства беленой целлюлозы из хвойных пород имеет продукция, произведенная в Европейской части России (новые заводы) - 753 долл. за тонну, наименьшую себестоимость - продукция, произведенная в Скандинавии (старые заводы) - 625 долл. за тонну. Похожая структура себестоимости наблюдалась в Азиатской части России (таблица 6.13), где полная себестоимость производства беленой целлюлозы из хвойных пород составляет в денежном выражении также 600-760 долл. за тонну, из них удельный вес стоимости древесины колеблется в пределах 20~32%, прочих производственных расходов 15-40, транспортных расходов 8-12%. Доля торговых издержек также, как и на западноевропейском рынке составляет 3-5% от полной себестоимости. Удельный вес капитальных расходов приблизительно равен удельному весу стоимости древесины (18-46%).