10.3. Тепловая обработка сливок. 
Природа вкуса и аромата вологодского масла

Тепловая обработка сливок проводится с целью уничтожения микроорганизмов и разрушения ферментов, таких, как липаза, пероксидаза и протеазы, ускоряющие порчу масла. Эффективность уничтожения микрофлоры, содержащейся в сливках, должна быть не менее 99,9 %. Наиболее термоустойчивые ферменты молока - пероксидаза и колостральная липаза, которые разрушаются при нагревании сливок до 80 °С в течение 1-3 мин, а при более высоких температурах моментально. Липаза бактериального происхождения более термоустойчива и разрушается лишь при температуре пастеризации выше 85 °С.

Привкус пастеризации, "ореховый" вкус вологодского масла, формируется в результате высокотемпературной (95-98 °С) обработки сливок с обязательной выдержкой их в закрытой системе при этой температуре не менее 10 мин. Такая выдержка необходима для накопления ароматических веществ, придающих специфический вкус и аромат вологодскому маслу [15].

В формировании привкуса пастеризации вологодского масла участвует комплекс веществ: меланоидины, сульфгидрильные -SH-группы и другие сульфидные соединения, свободные летучие жирные кислоты, сероводород, нейтральные карбонильные соединения, лактоза, глюкоза, лактоны, аминокислоты и др.

Вкус и аромат высокопастеризованных сливок, свойственный вологодскому маслу, является результатом сложных химических и структурных изменений белков молока, содержащих лабильную к нагреванию серу. К ним относится сывороточный белок р-лакто-глобулин и белок оболочек жировых шариков. Аминокислоты, входящие в молекулу белка, соединены между собой различными связями, в том числе малоустойчивыми дисульфидными (-S-S-).

Бета-лактоглобулин имеет две дисульфидные связи, соединяющие остатки цистеина и одну свободную сульфгидрильную группу (-SH) у остатка цистеина. Свободная сульфгидрильная (тиольная) группа бета-лактоглобулина располагается внутри свернутой полипептидной цепи, но "обнажается" при тепловой обработке. Освободившиеся тиольные группы -SH становятся реактивноспо-собными. Структурные изменения бета-лактоглобулина в большой степени зависят от рН и температуры среды [23].

Альфа-лактоальбумин плазмы молока богат цистеином, триптофаном, треонином, лейцином, лизином, молекула его содержит три дисульфидные связи (-S-S-). В интервале температур 60-140 °С проходят значительные изменения структуры альфа-лактоальбумина и р-лактоглобулина.

В оболочке жировых шариков до 40 белковых компонентов, большая доля которых приходится на глюкопротеиды, содержащие от 15 до 50 % углеводов. В состав белка оболочек жировых шариков входят серосодержащие цистин, цистеин, метионин, которые при высокотемпературной пастеризации высвобождают реактивноспособные сульфгидрильные группы -SH. Несмотря на то, что сульфгидрильных соединений в оболочечном белке жировых шариков меньше, чем в сывороточных белках (бета-лактоглобулина, альфа-лактоальбумина), активность их, по мнению некоторых исследователей [23], много выше вторых.

Белки оболочек жировых шариков более чувствительны к тепловым воздействиям, и их потенциальные возможности к образованию -SH-групп по сравнению с сывороточными белками ниже. Поэтому для выработки вологодского масла следует использовать сливки с массовой долей жира не выше 32-35 % (оптимально 27-31 %).

Нежелательный для вологодского масла вкус кипяченого молока появляется при температуре выше 95 °С и длительной выдержке (более 20 мин) вследствие инактивации термоустойчивого фермента оболочек жировых шариков (ОЖМ) сульфгидрилоксидазы, окисляющей свободные -SH-группы белков.

Может протекать также нежелательная реакция Майяра между редуцирующими сахарами и аминными группами аминокислот с образованием меланоидинов, которые придают сливкам кремовый оттенок и ухудшают вкус.

При тепловой обработке происходит взаимодействие белковых компонентов ОЖШ с бета-лактоглобулином и капа-казеином плазмы.

При структурных изменениях белковых молекул во время высокотемпературной пастеризации повышается реактивность сульф-гидрильных групп цистеина и других серусодержащих аминокислот, происходят реакции окисления-восстановления -SH-групп в дисульфидные связи (-S-S-).

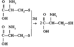
Реакцию образования сульфгидрильных групп можно показать на примере восстановления цистина в цистеин с лабильными сульфгидрильными группами:

Сульфгидрильные группы не являются носителями аромата (они не имеют запаха), но вследствие своей высокой реактивно-способности участвуют в образовании сложного комплекса ароматических и вкусовых веществ.

Своим ароматом и вкусом вологодское масло обязано H2S, свободным аминокислотам, лактонам, летучим жирным кислотам и их эфирам, карбонильным соединениям, меланоидинам и др.

При производстве вологодского масла необходимо создать условия для максимального образования -SH-rpyпп.

Летнее молоко при содержании коров на хороших зеленых пастбищах, богатых разнотравьем, больше содержит белков с серосодержащими аминокислотами.

Образование -SH-групп начинается в молоке при 75 °С, максимум достигается при 95-115 °С. П.М.Вишняков установил, что наибольшее содержание сульфгидрильных групп в сливках обеспечивает пастеризация при 98 °С с выдержкой при этой температуре 5-10 мин. При повышении этой температуры или увеличении выдержки (свыше 15-20 мин) накопление сульфгидрильных групп уменьшается. Максимальное образование этих групп наблюдается у сливок с массовой долей жира 45 % при температуре 95 °С и выдержке 10 мин, у сливок 25 и 35 %-й жирности - после 20 мин выдержки при этой температуре [12].

Снижению образования -SH-групп способствуют повторная пастеризация, длительная выдержка пастеризованных сливок в нагретом состоянии, присутствие воздуха во время тепловой обработки, а также повышенная кислотность сливок.

Для максимального сохранения -SH-групп тепловую обработку сливок и дальнейшую их переработку надо проводить в закрытой системе.

-SH-группы понижают окислительно-восстановительный потенциал плазмы сливок и масла, являются антиоксидантами, которые тормозят окислительные процессы порчи масла. В связи с этим для масла, предназначенного для длительного хранения, рекомендуется применять температуры пастеризации сливок выше 90 °С как обеспечивающие максимальное накопление сульфгидрильных групп.

Кроме -SH-групп, в высокопастеризованных сливках обнаружены и другие сернистые соединения: сероводород, диметил-сульфид, метиональ, метантиол, меркаптоцетальдегид, меркаптоп-ропионовая кислота.

Сероводород в небольших количествах - необходимый компонент вкуса и запаха вологодского масла. Он выделяется из цистеина при тепловой обработке.

При формировании вкуса и запаха сливочного масла большое значение имеют карбонильные соединения, так как большая их часть обладает приятным или неприятным запахом. Предшественниками карбонильных соединений могут быть аминокислоты, жирные кислоты и углеводы. С повышением температуры пастеризации сливок содержание кетонов и альдегидов увеличивается в основном за счет ацетона и ацетальдегида.

Большое влияние на концентрацию ароматических веществ в масле оказывают свободные жирные кислоты (масляная, капроновая, каприловая, каприновая и др.) и лактоны с четным числом углеродных атомов от 8 до 14. В некоторой степени показателем выраженности аромата масла является соотношение лактонов и свободных летучих жирных кислот (СЛЖ). Сумма СЛЖ в масле коррелирует с органолептическими его свойствами отрицательно, а концентрация лактонов С13-С14-положительно [24].

СЛЖК образуются при гидролизе жира и реакциях караме-лизации.

Лактоны образуются из соответствующих 5- и у-оксикислот, освобождающихся из триглицеридов с последующей дегидратацией. Образование лактонов из оксикислот идет по схеме:

Было установлено [84], что при нагревании сырых сливок до 60, 90 и 120 °С содержание лактонов в масле увеличивалось в 1,5; 2,2 и 3,0 раза соответственно. Одновременно усиливался аромат и привкус пастеризации. Увеличивалось также накопление карбонильных соединений, в определенной мере ответственных за аромат пастеризованных сливок В.А.Кузьмина на основании этих разработок рекомендовала добавление к сливкам, пастеризованным при 85-90 °С, сливок, нагретых до 120 °С (соотношение 70:30; 50:50) для усиления аромата масла.

На вкус и аромат вологодского масла оказывает некоторое влияние наличие свободных аминокислот [12]. При нагревании сливок до 135 °С постепенно в их плазме снижается содержание свободных аминокислот: серина + аспарагиновой кислоты + глицина, пролина, фенилаланина и лейцина + изолейцина. Удельный вес цистеина возрастает и при температуре 115 °С достигает максимума, после чего начинается постепенное его снижение.

Таким образом, вышеназванные свободные аминокислоты в плазме пастеризованных сливок обеспечивают выраженность вкуса и аромата масла.


К титульной странице
Вперед
Назад