Цветности теория, теория о связи цвета химических соединений с их строением. Ощущение цвета возникает при воздействии на зрительный нерв электромагнитных излучений с энергией в пределах от 2,5×10-12 до 5×10-12 эрг (длины волн от 400 до 760 нм). При этом совместное действие электромагнитных излучений во всём указанном интервале (называется видимой частью спектра) вызывает ощущение белого света, а раздельное действие узких пучков излучений или совокупности излучений, оставшихся после изъятия (поглощения) некоторых из них,— окрашенного (см. табл.).
| Длина волны поглощённого света l, нм | Поглощаемый цвет | Наблюдаемый цвет |
| 400-—535 | Фиолетовый | Зеленовато-жёлтый |
| 435—480 | Синий | Жёлтый |
| 480—490 | Зеленовато-синий | Оранжевый |
| 490—500 | Сине-зелёный | Красный |
| 500—560 | Зелёный | Пурпурный |
| 560—580 | Жёлто-зелёный | Фиолетовый |
| 580—595 | Жёлтый | Синий |
| 595—605 | Оранжевый | Зеленовато-синий |
| 605—730 | Красный | Сине-зелёный |
| 730—760 | Пурпурный | Зелёный |
Поглощение света веществом описывается Бугера — Ламберта — Бера законом. Окраску вещества обычно характеризуют длиной волны lмакс, при которой поглощение света максимально (см. также Поглощение света, Дополнительные цвета).
Смещение lмакс (при изменении строения молекулы соединения) в сторону длинных волн, сопровождающееся изменением окраски от жёлтой к красной и далее к синей и зелёной, называется углублением цвета, или батохромным эффектом; смещение lмакс в сторону коротких волн — повышением цвета, или гипсохромным эффектом. Поглощение света приводит к возбуждению электронов молекул, и, в частности, молекул окрашенного вещества в видимой области спектра (l = 400—760 нм). Разность энергий основного и возбуждённого состояний определяет глубину окраски. Возбуждённое состояние молекул бесцветных веществ возникает при больших значениях энергий, чем в случае молекул окрашенных веществ. Из основных соотношения квантовой теории Е = hc/l [E —- энергия кванта излучения, h — Планка постоянная (6,62×10-27 эрг/сек), с — скорость света (3×1017 нм/сек)] следует, что энергию возбуждения молекул окрашенных веществ можно оценить в 35—70 ккал/моль.
Ц. т. возникла в связи с развитием химии синтетических органических красителей. Впервые зависимость между их строением и цветом исследовали К. Либерман и К. Гребе (1869). О. Витт предложил в 1876 т. н. хромофорную теорию, согласно которой за окраску органических соединений ответственны группы атомов, содержащие кратные связи, например —N=N—, —N=O. Эти группы были названы хромофорами (от греч. chroma — цвет и phorós —несущий). Р. Ниецкий и английский химик Г. Армстронг отметили (1888) исключительную роль хиноидных хромофоров. Значительное влияние на окраску органических веществ, согласно хромофорной теории, имели группы —ОН, —SH, NH2—, C6H5O— и др., названные ауксохромами (от греч. auxo — увеличиваю). В. А. Измаильский пришёл в 1915 к выводу, что истинное строение красителей описывается не классической структурной формулой, а отвечает некоторому промежуточному состоянию, названному позднее мезомерным. Для этого состояния характерна делокализация связей и зарядов атомов в молекуле (см. Мезомерия). Особенно легко такая делокализация происходит в молекулах, содержащих систему сопряжённых связей в сочетании с расположенными на её концах электронодонорными и электроноакцепторными группами (см. Органическая химия, Сопряжение связей). Это сочетание, характерное практически для всех типов красителей, обусловливает как лёгкость поляризации молекул (вследствие смещения p-электронов по цепи сопряжения), так и перехода молекул в возбуждённое состояние. Первое определяет интенсивность поглощения света, второе — глубину окраски вещества.
В соответствии с указанными положениями, чем длиннее цепь сопряжения в молекуле вещества, тем глубже его цвет. Так, даже в ряду углеводородов C6H5—(CH=CH) n—C6H5 lмакс возрастает от 306 нм (при n = 1) до 403 нм (при n = 5).
Молекулы соединений, цепь сопряжения которых завершается электронодонорными и электроноакцепторными группами, окрашены глубже. Так, в ряду веществ типа I lмакс меняется от 312 нм (n = 1) до 519 нм (n = 3).

Увеличение поляризуемости концевых групп приводит к дальнейшему углублению окраски; так, для красителей типа II lмакс изменяется от 450 нм (n = 0) до 760 нм (n = 3).

Анализ структуры заместителей и пространственных факторов позволяет предвидеть их влияние на окраску соединений. Например, нарушение плоскостного строения молекул азокрасителей типа IIa вследствие выведения (CH3)2N-группы из плоскости бензольного кольца объёмным заместителем R сопровождается гипсохромным эффектом: lмакс при переходе от R=Н к R=(CH3)2CH — смещается от 475 нм до 420 нм.

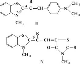
Пространственные затруднения в самой цепи сопряжения значительно изменяют характер поглощения. Так, если поворот одной части молекулы красителя относительно другой происходит по связи, близкой к простой (а в III), то наблюдается гипсохромный эффект, если поворот происходит по связи более высокого порядка (б в IV), то наблюдается батохромный эффект. Например, при замене R=Н на R=CH3 в III lмакс меняется от 528 нм до 467 нм, а в IV — от 521 нм до 542 нм.

Цвет красителей весьма чувствителен к введению в полиметиновую цепь полярных заместителей X, Y. Электронодонорные заместители в чётных положениях цепи сопряжения вызывают гипсохромный, электроноакцепторные — батохромный эффект. При введении тех же заместителей в нечётное положение происходит обращение эффекта. Например, для IVa при X = Y = Н lмакс = 558 нм, при Х = Н, Y = OCH3 lмакс = 495 нм; при Х = OCH3, Y = H lмакс= 586 нм. Большое изменение максимума поглощения наблюдается при образовании кольцевой системы.

Например, при переходе от V к VI lмакс меняется от 616 до 955 нм. Максимум поглощения соединений типа VII зависит ещё и от характера заместителя X. Например, при Х = HN<, —О— или >С=O lмакс становятся равными соответственно 460, 550 и 650 нм.

Сов. химиком А. И. Киприановым в 1964 показано влияние на цветность красителей внутримолекулярного взаимодействия хромофоров. Например, бисцианин VIII характеризуется двумя lмакс (522 и 581 нм), сдвигающимися относительно lмакс исходных («материнских») красителей IX (562 нм) и Х (558 нм) соответственно в коротковолновую и длинноволновую части спектра.

Положение Ц. т. о связи окраски вещества с возбуждением электронов приложимо не только к органическим соединениям, содержащим протяжённые системы сопряжённых связей, но и к др. типам окрашенных веществ. Так, для неорганических соединений появление окраски может быть связано с наличием сильно выраженной деформации электронных орбиталей; при этом основную роль играет поляризация анионов, увеличение деформируемости которых должно благоприятствовать возникновению цветности. Окраску некоторых типов неорганических веществ связывают, кроме того, с наличием в их молекулах атомов с вакантными орбиталями. Предполагают, например, что окраска комплексных ионов (см. Комплексные соединения) обусловлена присутствием в них атомов элементов с незаполненными d- или f-орбиталями. Интенсивное поглощение света такими ионами связано с переносом электронов лигандов на вакантные орбитали центрального атома.
Для расчёта полос поглощения окрашенных химических соединений (исходя из их структурных формул) существуют квантовомеханические методы, которые во многих случаях дают результаты, совпадающие с экспериментом. Расчёты полос поглощения красителей, молекулы которых имеют сложное (особенно несимметричное) строение, пока трудно осуществимы.
Лит.: Бальхаузен К., Введение в теорию поля лигандов, пер. с англ., М., 1964; Дядюша Г. Г., Электронные спектры и строение симметричных органических соединений, «Украинский химический журнал», 1964, т. 30, № 9; его же, Влияние замыкания хромофора в симметричный цикл, там же, № 11; Chemical applications of spectroscopy, ed. W. West, N. Y., 1968; Теренин А. Н., Фотоника молекул красителей и родственных органических соединений, Л., 1967; Венкатараман К., Химия синтетических красителей, пер. с англ., т 1—3 Л., 1956—74; Штерн Э., Тиммонс К., Электронная абсорбционная спектроскопия в органической химии, пер. с англ., М., 1974; Киприанов А. И., Введение в электронную теорию органических соединений, 2 изд., К., 1975.
Г. Г. Дядюша.