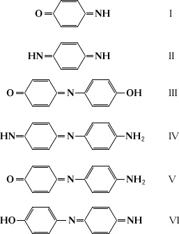
Хинониминовые красители, группа красящих веществ, производных n-хинонимина (I) или n-хинондиимина (II), в которых водород иминогруппы замещен на ароматический остаток, содержащий группы NH2 или OH-. К Х. к. относят индофенолы (III), индамины (IV) и индоанилины (V) или (VI). Вместо бензольных остатков соединения (III), (IV), (V) или (VI) могут содержать нафталиновые или иные арилы, а атомы водорода в них могут быть замещены на радикалы, например СН3.

Х. к. получают: совместным окислением n-аминофенолов с фенолами или n-диаминов с аминами, а также конденсацией n-нитрозофенолов с фенолами или n-нитрозоаминов с аминами или фенолами. Х. к. (Ill),(IV), (V) или (VI) интенсивно окрашены в синий или зелёный цвет, недостаточно устойчивы; используются как промежуточные продукты для получения сернистых красителей, а Х. к. более сложного строения, содержащие в орто-положениях к центральному атому азота в (III), (IV), (V) или (VI) атомы N, О или S, которые образуют гетероцикл, применяются соответственно для производства азиновых красителей, оксазиновых красителей и тиазиновых красителей.
Х. к. широко применяются также в цветной фотографии, для окрашивания бумаги, меха, изготовления карандашей и как индикаторы химические.
Лит.: Степанов Б, И., Введение в химию и технологию органических красителей, М., 1971.
М. А. Чекалин.