Телеграфный аппарат, аппарат для передачи и (или) приёма электрических телеграфных сигналов — для осуществления телеграфной связи. Первый практически пригодный Т. а. (электромагнитного типа) изобрёл и продемонстрировал в действии (1832) П. Л. Шиллинг. На ранних этапах развития телеграфии кодированные сообщения передавались клавишным устройством или телеграфным ключом и при приёме фиксировались в пишущем телеграфном аппарате в виде ломаной линии (например, ондулятором) либо точек и тире (например, в Морзе аппарате). В Уитстона телеграфном аппарате и Крида телеграфном аппарате принимаемые телеграфные сигналы регистрировались на перфорированной бумажной ленте; Т. а. Крида мог воспроизводить также и печатные знаки. Более совершенными оказались буквопечатающие телеграфные аппараты, к которым относятся Т. а. Якоби, Юза, Сименса, многократный телеграфный аппарат Бодо и др. Кроме того, были сконструированы так называемые буквопишущие Т. а. Первые советские Т. а. были созданы А. П. Трусевичем (1921), В. И. Каупужем (1925), А. Ф. Шориным (1928); Т. а. последнего в 1929 был введён в эксплуатацию. Большой вклад в разработку и конструирование Т. а. внесли советские изобретатели и учёные Л. И. Тремль, С. И. Часовников, Е. А. Волков, Н. Г. Гагарин, А. Д. Игнатьев, Л. Н. Гурин, Г. П. Козлов, В. И. Керби и др.
Современные (середина 70-х гг. 20 в.) Т. а. подразделяются на аппараты неравномерного и равномерного кодов (см. Код телеграфный). Из-за низкой экономичности и малой пригодности для буквопечатающего (буквопечатного) приёма Т. а. неравномерного кода в телеграфии используются редко. В Т. а. равномерного кода любая кодовая комбинация содержит одинаковое количество элементов, что позволяет осуществлять буквопечатный приём. По способу передачи такие Т. а. подразделяются на стартстопные и синхронные (см, Стартстопный аппарат, Синхронный телеграфный аппарат).
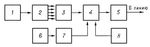
Современный Т. а. обычно состоит из телеграфного передатчика и телеграфного приёмника, питание устройств которых постоянным током осуществляется чаще всего от выпрямителей на 60 в, а переменным — непосредственно от электрической сети. Операции, выполняемые передатчиком: шифровка (шифрация) передаваемого знака (получение комбинации элементарных сигналов в соответствии с кодовой таблицей); преобразование параллельной кодовой комбинации в последовательную; включение в состав кодовой комбинации служебных сигналов для синхронизации и фазирования приёмника; передача в линию связи последовательности электрических сигналов требуемой длительности и амплитуды. При работе передатчика (рис. 1) каждый знак, соответствующий передаваемому сообщению, от источника информации поступает в кодирующее устройство (шифратор), где он автоматически преобразуется в кодовую комбинацию, элементы которой, появляясь на выходе кодирующего устройства одновременно, следуют в наборное устройство. Передающий распределитель последовательно преобразует каждый элемент кодовой комбинации в электрический сигнал определённой длительности. Выходное устройство формирует электрические сигналы необходимой мощности, полярности и формы, а датчик выдаёт служебные элементы комбинаций. Привод определяет скорость телеграфирования. Метод передачи (стартстопный или синхронный) зависит от способа работы управляющего устройства.
Функции приёмника Т. а. (рис. 2) — приём электрических сигналов кодовой комбинации; определение полярности каждого элементарного сигнала; дешифровка (дешифрация) кодовой комбинации; отпечатывание принятого знака. Электрические сигналы кодовой комбинации поступают на входное устройство, которое определяет их полярность и исправляет искажения. Далее элементарные сигналы комбинации через приёмный распределитель направляются в наборное устройство, где они накапливаются и передаются в дешифратор. Сигналы с выхода дешифратора вводятся в печатающее устройство, которое записывает сообщение на бумажной ленте (в ленточном телеграфном аппарате, например телетайпе) или на рулоне (в рулонном телеграфном аппарате). Синхронизация и фазирование приёмника осуществляются совместно приёмным распределителем и управляющим устройством. Скорость работы приёмника определяется приводом.
В состав Т. а. могут входить также автоматизирующие приставки (реперфораторная, трансмиттерная), автоответчик и автостоп. Они позволяют автоматически передавать и принимать сообщения, проверять правильность установленного соединения, включать и выключать привод Т. а.
До середины 20 в. Т. а. оставались аппаратами с электромеханическим принципом действия. К 70-м гг. в СССР и ряде зарубежных стран налажен серийный выпуск электронно-механических Т. а. В таких аппаратах большинство устройств, как правило, выполняется на базе бесконтактных элементов, в том числе: в передатчике — кодирующее и выходное устройства, распределитель, привод, управляющее устройство, датчик служебных элементов; в приёмнике — входное и наборное устройства, распределитель, дешифратор. У электронно-механических Т. а. имеется по сравнению с электромеханическими ряд преимуществ: высокая скорость телеграфирования, больший срок службы, меньшая потребляемая мощность, возможность быстрого изменения скорости телеграфирования и типа используемого кода. Ведутся работы по созданию полностью электронных Т. а.
Лит.: Балагин И. Я., Кудряшов В. А., Семенюта Н. Ф., Передача дискретной информации и телеграфия, М., 1971; Принципы построения электронно-механических телеграфных аппаратов, М., 1973.
А. И. Кобленц.

Рис. 2. Структурная схема приёмника телеграфного аппарата: 1 — входное устройство; 2 — приёмный распределитель; 3 — наборное устройство; 4 — дешифратор; 5 — печатающее устройство; 6 — привод; 7 — управляющее устройство.

Рис. 1. Структурная схема передатчика телеграфного аппарата: 1 — источник информации; 2 — кодирующее устройство; 3 — наборное устройство; 4 — распределитель; 5 — выходное устройство; 6 — привод; 7 — управляющее устройство; 8 — датчик служебных элементов.