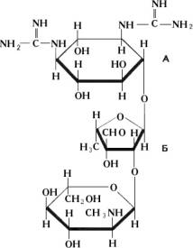
Стрептомицин, антибиотик, образуемый лучистыми грибами (актиномицетами) рода Actinomyces (Streptomyces). Впервые получен в 1944 американским учёным З. А. Ваксманом с сотрудниками из A. griseus. По химической природе С. относится к аминогликозидным антибиотикам; при кислотном гидролизе его молекула расщепляется на шестиатомный циклический спирт инозит, имеющий в качестве заместителей две гуанидиновые группы — стрептидин (А; см. формулу) и дисахарид стрептобиозу (Б), содержащий метиламиногруппу. С. обладает свойствами основания, легко растворим в воде, практически нерастворим в органических растворителях. Легко образует соли с различными кислотами; молярная масса 581,6. В сухом состоянии сохраняет активность более 2 лет.
С. — антибиотик широкого спектра действия: активен в отношении туберкулёзных бактерий, возбудителей чумы, туляремии, бруцеллёза, а также дизентерии, кишечной палочки, стафилококков, стрептококков, пневмококков, гонококков, менингококков и некоторых др.; на грибы, простейшие, анаэробные микробы, спирохеты, риккетсии и вирусы не действует. В бактериальной клетке С., связываясь с рибосомами, нарушает считывание генетического кода, подавляет биосинтез белка; первичный механизм действия С. окончательно не установлен. При применении С. в клинике образуются устойчивые к нему штаммы бактерий, поэтому С. применяется в комбинации с др. препаратами. С. — специфическое средство лечения главным образом туберкулёза; он эффективен также при лечении менингита, эндокардита, коклюша, гонореи и многих др. заболеваний. Наиболее серьёзные осложнения при длительном применении С. — вестибулярные расстройства и нарушение слуха.

В СССР применяют сульфат и хлор-кальциевый комплекс С., стрептомициновую соль салюзида (стрептосалюзид) и комбинированные препараты С. — стрептоциллин, стрептодимицин, а также дигндрострептомицин (продукт частичного восстановления С.). С. используют в биохимии при исследовании функций рибосом и механизма биосинтеза белка. См. также Антибиотики.
Лит.: Химия антибиотиков, 3 изд., т. 1, М., 1961; Кан Г. С., Стрептомицин, М. — Л., 1962: Навашин С. М., Фомина И. П., Справочник по антибиотикам, 3 изд., М., 1974: Молекулярные основы действия антибиотиков, пер. с англ., М., 1975; Streptomycin. Nature and practical applications, ed. S. A. Waksman, Bait., 1949.
Л. Е. Гольдберг.