Автомашинист железнодорожный, автоматическое устройство, помогающее машинисту выполнять график движения с повышенной точностью. Эффективно применяется при малых интервалах между поездами (метрополитен, пригородное железнодорожное сообщение). Система автоматического управления движением поезда впервые создана в Советском Союзе. В 1958 под Москвой были проведены испытания пригородного поезда с А., который обеспечил выполнение графика и точность остановки поезда. Первое упоминание об А. за рубежом относится к 1959, а сообщение об испытаниях первого поезда с А. в нью-йоркском метро появилось в 1960, где А. решал лишь задачу точной остановки поезда, но не контролировал выполнение графика. Первые образцы А. для поездов пригородного сообщения за рубежом появились в 1965 для железнодорожного узла в Сан-Франциско (США).
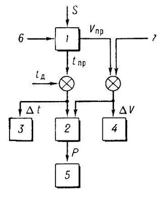
А. действует по программе 1 (см. рис.), отражающей заданный график движения и содержащей граничные условия движения (допустимые скорости Vпр, интенсивности разгона и замедления и т. п.). При движении поезда по пути S А. сравнивает действительное время tд с программным tпр и, с учётом граничных условий, с помощью блока 2 меняет режимы Р ведения поезда, выбирая момент или точку пути для перехода от одного режима к другому.
В упрощённых системах функции автоматики ограничены сравнением времени и скорости движения с программными. Результат сравнения в виде отклонения от графика Dt или резерва повышения скорости DV с помощью табло 3 и 4 сообщается машинисту, который принимает решение об изменении режима.
Блок программы движения поезда может быть расположен на центральном пункте (централизованная система), на пути (распределённая система) или на поезде (автономная система). В первом случае команды об изменении режима движения для каждого поезда вырабатываются в вычислительном центре на основании информации, поступающей от всех поездов, и передаются на нужный поезд, для чего каждый поезд должен иметь свой адрес, присвоенный ему либо участку, по которому он движется, независимо от номера поезда. На поезде сохраняются только исполнительная аппаратура и устройства для передачи информации и приёма команд. Эта система наиболее перспективна, однако требует большого числа каналов двусторонней связи между центральным пунктом и движущимся поездом.
При расположении блока программы на пути роль центрального пункта ограничивается передачей единого для всех поездов времени, сигналов, корректирующих движение поезда, и, при наличии более чем одной программы, — сигналов, включающих нужную из программ. Устройства на поезде такие же, как и в первом случае. Такой способ наиболее приемлем для участков с однотипными поездами (метрополитены).
Расположение блока программы на локомотиве (поезде) позволяет вести по участку разнотипные поезда. Число каналов связи с центральным пунктом минимальное и может ограничиваться передачей единого времени. Программа выбирается автоматически, дистанционно или машинистом в соответствии с номером нитки графика. Способ наиболее пригоден при постепенном переводе поездов на автоматическое управление.
Система А. постоянно связана с другими автоматическими системами, участвующими в процессе управления движением. Она воздействует на локомотивную автоматику 5, выполняющую выбранные ею режимы, и подчиняется командам автодиспетчера 6 и автоблокировки 7. Через автодиспетчер А. взаимосвязан с другими автоматическими системами, выполняющими различные функции на железнодорожном транспорте.
В перспективе А. будет составной частью комплексной системы автоматического управления участком, дорогой.
Лит.: Фаминский Г. В., Устройство и эффективность «автомашиниста», Труды Всесоюзного научно-исследовательского института железнодорожного транспорта, 1967, в. 336; Кекониус О. и Кольберг Н. О., «Автомашинист» для Стокгольмского метрополитена, «Ежемесячный бюл. Международной Ассоциации железнодорожных конгрессов», 1967, № 2.
Г. В. Фаминский.

Схема работы автомашиниста.