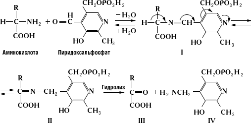
Пиридоксалевые ферменты, ферменты, простетической группой которых является пиридоксальфосфат. К П. ф. относятся аминотрансферазы, рацемазы, декарбоксилазы, ди- и моноаминоксидазы и многие др. ферменты, катализирующие важнейшие превращения аминокислот в организмах. Общую теорию действия П. ф. разработали в 1952 А. Е. Браунштейн и М. М. Шемякин и в 1954 американские учёные Д. Мецлер и Э. Снелл. Согласно этой теории, каталитическое действие П. ф. обусловлено способностью альдегидной группы (- CHO) пиридоксальфосфата образовывать азометины типа I и II (шиффовы основания) при взаимодействии с аминами и аминокислотами:

В азометинах происходит смещение электронов по направлению от a-углеродного атома аминокислоты к атому азота пиридинового кольца пиридоксальфосфата (показано стрелками), что приводит к поляризации и разрыву связей у a-углеродного атома аминокислоты. Направление и специфичность происходящих далее реакций определяются структурой белковой части фермента — апоферментом. В П. ф. альдегидная группа пиридоксальфосфата образует связь с e-NH2-группой остатка лизина в апоферменте. Поэтому первый этап взаимоействия П. ф. с субстратом аминокислотой) — реакция замещения, в ходе которой NH2-группа аминокислоты вытесняет NH2-группу фермента из связи с СО-группой пиридоксальфосфата с образованием азометина I. Наиболее подробно изучен молекулярный механизм переаминирования. В этом случае азометин I превращается в азометин II, который легко гидролизуется с образованием оксокислоты (III) и пиридоксальфосфата (IV); далее реакция идёт между связанными с ферментом пиридоксаминфосфатом и др. оксокислотой, что приводит к образованию новой аминокислоты и пиридоксальфосфата. В аминотрансферазах функции кофермента могут выполнять как пиридоксальфосфат, так и пиридоксаминфосфат, подвергающиеся взаимопревращению в ходе переаминирования.
Лит.: Браунштейн А. Е., Шемякин М. М., Теория процессов аминокислотного обмена, катализируемых пиридоксалевыми энзимами, «Биохимия», 1953, т. 18, в. 4; Химия и биология пиридоксалевого катализа, М., 1968; Браунштейн А. Е., Amino group transfer, в кн.: The enzymes, 3 ed., v. 9, N. Y., 1973.
Ю. М. Торчинский.