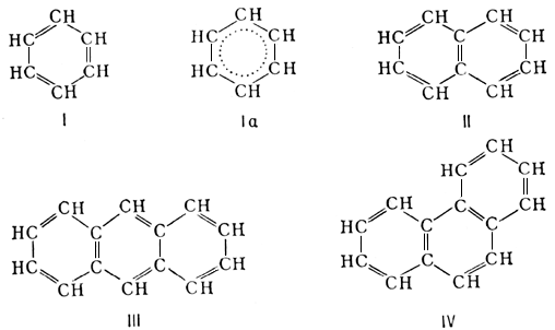
Ароматические соединения (от греч. árômа — благовоние), класс органических циклических соединений, все атомы которых участвуют в образовании единой сопряжённой системы; p-электроны такой системы образуют устойчивую, т. е. замкнутую, электронную оболочку. Название «А. с.» закрепилось вследствие того, что первые открытые и изученные представители этого класса веществ обладали приятным запахом. Простейшее А. с. — бензол (1). К А. с. относятся также нафталин (II), антрацен (III), фенантрен (IV) и др. соединения, содержащие конденсированные бензольные кольца, а также различные их производные.

Выделение А. с. в особый класс органических соединений обусловлено рядом соображений. Бензол C6H6, содержащий формально 3 двойные связи, должен обладать свойствами сильно ненасыщенного соединения; между тем бензол и др. А. с. не изменяются при действии перманганата калия на холоду, не присоединяют тотчас же бром, как это наблюдается в случае олефинов, содержащих двойные связи. Для А. с. характерна лёгкость замещения атомов водорода, связанных с атомами углерода в бензольном кольце, при действии различных электрофильных реагентов (см. Нуклеофильные и электрофильные реагенты). Так, при действии азотной кислоты на бензол образуется нитробензол: C6H6 + HNO3 ® C6H5NO2 + H2O.
Аналогичные процессы электрофильного замещения происходят и при сульфировании, галогенировании, ацетилировании А. с., которые при этом ведут себя скорее как насыщенные, чем как ненасыщенные соединения. Следует, однако, иметь в виду, что лёгкость реакций замещения и затруднённость реакций присоединения к А. с. носят лишь количественный характер; в определённых условиях бензол присоединяет три молекулы хлора с образованием гексахлорциклогексана C6H6Cl6; гидрирование нафталина ведёт к присоединению пяти молекул водорода с образованием декалина.
А. с. очень устойчивы; образуются из других классов соединений в жёстких условиях. Так, бензол можно получить из ацетилена при 650°C в присутствии активного угля; бензол образуется также при дегидрировании («ароматизации») циклогексана (V).
Заместители в А. с. приобретают особые свойства. Например, фенолы обладают более кислыми свойствами, чем спирты, а нитрофенолы в этом отношении приближаются к карбоновым кислотам. Ароматические амины значительно более слабые основания, чем алифатические; для ароматических аминов, например анилина

C6H5NH2, характерна реакция с азотистой кислотой — диазотирование, приводящая к диазосоединениям, широко применяемым в производстве красителей. А. с. чрезвычайно многочисленны и имеют большое практическое значение. Так, ароматич. нитросоединения, сульфокислоты, фенолы, амины являются полупродуктами синтеза многих красителей, лекарственных веществ; фенолы, стирол, терефталевую кислоту используют для синтеза полимеров; из толуола получают взрывчатое вещество тротил и т.д.
Характерные особенности этого класса соединений могут быть объяснены тем, что А. с. на самом деле не содержат чередующихся простых и кратных связей; все связи в бензоле равноценны и совершенно выравнены; расстояния между атомами углерода в бензоле
промежуточны между значениями межатомных расстояний в случае простой
двойной
связей. Поэтому строение бензола теперь предпочитают изображать не обычной формулой (1), а формулой (1а). Для бензола и др. А. с. характерно, что все p-электроны образуют устойчивую «замкнутую» электронную оболочку.
Позже было найдено, что сходными с А. с. свойствами обладают и многие другие «небензоидные» соединения. В первую очередь следует назвать ненасыщенные пятичленные гетероциклические соединения типа фурана, тиофена, пиррола. Ароматическими свойствами обладают и шестичленные гетероциклические соединения типа пиридина.
Известны небензоидные А. с., скелет которых состоит только из атомов углерода; к их числу относятся такие стабильные органические ионы, как катион тропилия (VI), анион циклопентадиенила (VII), биполярные соединения типа азуленов

(VIII) и др. Ароматическими свойствами обладают и некоторые неорганические соединения, например боразол (IX), фосфонитрилхлорид (X). Ароматичность бензоидных и небензоидных соединений, проявляющаяся в способности вступать в реакции электрофильного замещения, соответствует ряду: анион VII > пиррол > бензол ® пиридин > тропилий; способность к реакциям нуклеофильного замещения изменяется в обратном порядке.
Лит.: Карер П., Курс органической химии, пер. с нем., Л., 1960.
Я. Ф. Комиссаров.