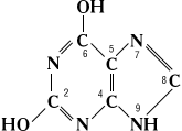
Ксантин (2,6-диоксипурин), промежуточный продукт обмена пуриновых оснований. Желтоватые кристаллы, tпл 220°С (с разложением), молярная масса 152,12, плохо растворим в воде, лучше — в спирте; проявляет свойства слабой кислоты и слабого основания.

Широко распространён в природе (в малых количествах). Образуется при гидролитическом дезаминировании гуанина или при аэробном окислении гипоксантина в присутствии фермента ксантиноксидазы. Этот фермент также окисляет К. в конечный продукт пуринового обмена у человека — мочевую кислоту, на чём основано определение К. При нарушении этой стадии обмена К. накапливается в организме, главным образом в виде кальциевой соли (мочевые камни).