Изоцианаты, эфиры изоциановой кислоты, R — N = С = О, где R — алифатический, ароматический, алкил-ароматический или гетероциклический радикал. И. — бесцветные или слабоокрашенные жидкости либо кристаллические вещества (см. таблицу). В зависимости от числа NCO-групп в молекуле (одна, две, три и более) И. делят на моно-, ди-, три- и т. д. изоцианаты. И. характеризуются высокой реакционной способностью. Они легко взаимодействуют с соединениями, содержащими подвижный атом водорода. Так, моноизоцианаты с аммиаком и аминами образуют производные мочевины (1), со спиртами — замещенные уретаны (2):
RNCO+NH3 ® RNHCONH2 (1)
RNCO+R¢OH ® RNHCOOR¢ (2)
И. димеризуются и тримеризуются, давая, например, изоцианураты

Диизоцианаты с диолами или диаминами образуют соответственно полиуретаны или полимочевины, например
n HOROH + n OCNR¢NCO ® [— OROCONHR¢NHCO—]n
Основной промышленный способ получения И. — фосгенирование первичных аминов или их хлоргидратов в жидкой или паровой (в случае низкокипящих аминов) фазе:
RNH2 + COCl2 ® RNCO + 2HCl
Свойства и применение некоторых наиболее важных изоцианатов
| Изоцианат | Температура плавления, °С | Температура кипения, °С (давление в мм рт. cт. *) | Плотность при 20 °С, г/см3 | Применение |
| Этилизоцианат C2H5NCO | — | 60(760) | 0,90 |
|
| Гексаметилендиизоцианат OCN(CH2)6NCO | —67 | 127(10) | 1,046 | Производство эластомеров, покрытий, волокон, лакокрасочных материалов |
| Фенилизоцианат C6H5NCO | —33 | 166(760) | 1,1 |
|
| n-Хлорфенплизоцианат
| 31—32 | 78(10) | — | Cинтез гербицидов |
| 2,4-Толуилендиизоцианат
| 22 (температура замерзания) | 121(10) | 1,2178 | Производство пенополкуретанов, эластомеров, лакокрасочных материалов |
| Дифенилметандинзоцианат-4,4'
| 40—41 | 156-158(0,1) | 1.19 (при 50° С) | То же |
| Дифенилдиизоцианат-4,4'
| 103—105 | 175-176(2,0) | — | » » |
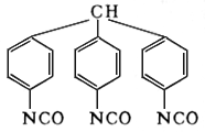
| Трифенилметантриизоцианат-4,4', 4"
| 91 | 240(0,75) | — | Производство клея |
* 1 мм рт. ст = 133,32 н/м2.
Жидкофазный процесс осуществляют в инертных растворителях, например в хлорированных углеводородах, простых и сложных эфирах. Из реакционной смеси И. выделяют ректификацией.
И. широко применяют в промышленности для производства уретановых каучуков, полиуретанов, клеёв (см. Полиуретановые клеи), лакокрасочных материалов (см. Полиуретановые лаки) и гербицидов. Получены также И., у которых R — свинец, кремний, бор, фосфор или другие элементы.
Лит.: Саундерс Дж. Х., Фриш К. К., Химия полиуретанов, пер. с. англ., М., 1968; Современные методы синтеза мономеров для гетероцепных волокнообразующих полимеров. Сб. ст. под ред. Л. И. Кнунянца, М., 1961.
Я. А. Шмидт.