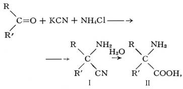
Зелинского — Стадникова реакция, метод синтеза a-аминокислот из альдегидов и кетонов. Например,

где R и R' = H, алифатический, алициклический или ароматический радикал. Реакцию проводят в водных средах при 0—20°С в течение нескольких часов. С выходами 60—90% образуются a-аминонитрилы (I), гидролизуемые далее в a-аминокислоты (II). З. — С. р. — усовершенствованный метод циангидринного синтеза a-аминокислот, разработанного немецким химиком А. Штреккером (1850). Реакция открыта Н. Д. Зелинским и Г. Стадниковым в 1906.