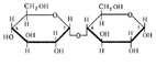
Мальтоза.


 

Оглавление