Гликоли, диолы, двухатомные спирты, соединения жирного ряда, содержащие две гидроксильные группы. Простейший Г. — этиленгликоль НОСН2—СН2ОН и другие низшие Г. — вязкие бесцветные жидкости, хорошо растворимые в воде и спирте, сладкие на вкус; высшие Г. — твёрдые вещества, хорошо растворимые в спирте и эфире, хуже — в воде. В зависимости от взаимного расположения групп ОН в молекуле различают 1,2-Г., например

1,3-гликоли, например

и т.д. Г., содержащие две группы ОН у одного атома углерода, устойчивы лишь при наличии сильных электроотрицательных групп, как, например, хлоральгидрат CCl3CH (OH)2.
По химическим свойствам Г. во многом напоминают одноатомные спирты (образуют алкоголяты, простые и сложные эфиры и т.д.). При дегидратации Г. в зависимости от относительного расположения групп ОН в молекуле и условий дегидратации могут образоваться карбонильные соединения или циклические простые эфиры. Так, из этиленгликоля можно получить ацетальдегид или диоксан, из бутандиола-1,4 — тетрагидрофуран.
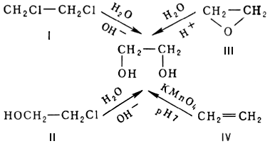
Общим методом синтеза Г. служит гидролиз соответствующих дигалогенидов (I) или хлоргидринов (II); 1,2-Г. получают также гидратацией соответствующих a- окисей (III) или окислением олефинов (IV):

Наибольшее практическое применение имеют 1,2-Г. и их производные (см. Этиленгликоль). Сложные эфиры высших Г. применяют как пластификаторы.