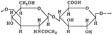
Гиалуроновая кислота, кислый мукополисахарид, состоящий из повторяющихся единиц a-глюкуронидо-N-ацетилглюкозамина:

Широко распространена в тканях животных и человека. Молярная масса 200000—500000 и более. Содержится в коже, синовиальной жидкости, оболочках яйцеклеток. Г. к. — существенный компонент основного вещества соединительной ткани. Растворы Г. к. обладают высокой вязкостью, поэтому она способна понижать проницаемость тканей, препятствуя проникновению в них болезнетворных микробов.
Обмен Г. к. в организме совершается быстро — период её полураспада в организме 2 дня. Ферментативный гидролиз Г. к. с образованием ацетилглюкозамина и глюкуроновой кислоты осуществляется гиалуронидазой, которая присутствует в оболочках болезнетворных бактерий, сперме, яде змей, пауков, пчёл, слюнных выделениях пиявок, быстро растущих опухолях. Гиалуронидаза микробов и ядов, разрушая Г. к. межклеточного вещества, способствует распространению инфекции в глубь тканей организма. Гиалуронидаза спермы, растворяя фолликулярный слой яйцеклетки, создаёт благоприятные условия для её оплодотворения.
Гиалуронидазу используют в качестве лечебного препарата для ускорения всасывания жидкости при обезвоживании организма; как фактор, способствующий быстрому проникновению анестезирующих веществ; для уменьшения разрастания соединительной ткани после различных травм и др.
В. В. Мальцева.