Эфир, в физике

Содержание: 1) Э. до эпохи Декарта. — 2) Э. картезианцев. — 3) Э. Гюйгенса, Ньютона и позднейшего времени. — 4) Свойства Э., как вида материи, согласно современным воззрениям. — 5) Плотность Э. — 6) Э. и тяготение. — 7) Э. и молекулы обычных тел. — 8) Инерция Э. — 9) Участие Э. в движении обычных тел. — 10) Противоречия в опытах этого рода и их объяснения.

1) Э. до эпохи Декарта. Э. (франц. é ther; нем. Aether; англ. aether и ether, от греч. слова αίθήρ) в разное время имел самые разнообразные значения. У древних философов Э. чаще всего фигурировал в качестве одной из так называемых стихий или элементов. Так, уже в священных книгах Веды "Э. безграничный" является одним из 5 элементов, из которых слагается все материальное. Для пифагорейцев эфир — одна из составных частей воздуха, воды, души: последняя — отрывок Э. Позже Э. получил смысл чего-то то материального, то нематериального, являющегося причиной движения. Анаксагор, например, по указанию Аристотеля, называл Э. силу, действующую в высших областях мира. Сам Аристотель считает Э. некоторым божественным бессмертным телом, которое получило свое имя вследствие своего вечного движения (άεί — всегда, θέω — бегу). Судя по апокрифическому сочинению Аристотеля "De Mundo", александрийская школа так понимала Аристотеля: "сущность неба и звезд мы называем эфиром,... великое, вечное круговое движение; это — стихия, чистая и божественная". Точно так же и у стоиков Э. является одной из стихий, "вышним огнем". Более определенные представления имеет Лукреций, для которого Э. есть материя, но более тонкая, чем другие ее виды, материя атомистического строения; непрерывное течение Э. является причиной движения небесных тел; тот же, по-видимому, Э., но уже на этот раз без имени (nominis expers), входит, по Лукрецию, в состав души, в качестве одного из материальных элементов, но более тонкого и более подвижного, чем воздух. С эпохи Возрождения Э. и ему подобные невесомые тела начали фигурировать в физических и иных теориях. Веронец Фрокасторо (1483—1553) видит в действии невесомых причину электрических, магнитных и физиологических явлений; у Джордано Бруно общая материя всего есть Э., всеобнимающий и всепроникающий; как часть в сложном, он называется воздухом, а в организованных существах — жизненным духом и т. п. Основатель теории магнетизма Вильям Гильберт (1600) видит из наэлектризованных тел истечения некоторого вещества, а теплоту приписывает действию тончайшей жидкости или тонкому материальному Э., хотя свет распространяется, по Гильберту, моментально, в чем Гильберт видит, между прочим, доказательство существования в природе пустоты. У Кеплера (1604) нигде не употребляется слово эфир, но на первой же странице своего сочинения по оптике он утверждает, что все явления природы должны быть отнесены к их исходной точке — к световому началу. Точно так же движение планет Кеплер приписывал особому носителю силы, кружащемуся в мировом пространстве наподобие реки или вихря, хотя этот носитель силы сам приводится в движение солнцем и не является материальной субстанцией. Галилей (1638) в своем учении о сцеплении объясняет силы сцепления давлением Э. и существованием Э. доказывает невозможность пустого пространства. Вообще в первой половине XVII века школьная наука признавала существование 4-х элементов или стихий: земли, воды, воздуха и огня; но воздух здесь понимался не в обычном смысле, а как газ более тонкий, находящийся за облаками и не слагающийся из "испарений земли", как обычный воздух. Элемент огня — нечто еще более тонкое, чем элемент воздуха, и находится еще выше последнего. Комбинации этих двух элементов с элементами земли и воды дают все тела природы. Таким образом в этих "теориях" играли роль два эфира — оба в виде некоторой очень тонкой среды. Эти же два Э. в ином, отчасти более определенном виде, положены Декартом (1637) в основу картезианской философии природы, хотя и построенной на метафизических принципах, но по существу являвшейся первой новой философией материи и движения, к которой два века после Декарта снова обратилась физика, с громадным успехом разработав идеи, лишь неясно намеченные Декартом. Картезианская философия, по справедливому замечанию Лейбница, была не истиной, а преддверием к истине.

2) Э. картезианцев. "Пространство или место, занимаемое телом, и само тело, это место занимающее, различны между собой лишь в нашей мысли", — утверждал Декарт. Для него все пространство наполнено материей, как сплошным, неспособным сжиматься и расширяться телом. Эта материя имеет в отдельных областях определенной формы некоторое движение, благодаря чему эти области делаются доступными для наших органов чувств; иначе говоря, движение сообщает этим областям определенные физические свойства. Совокупность этих особых мест образует то, что мы называем ныне физическим телом, причем самые области с движением, очень мелкие, являются нашими молекулами обычной материи. Декарт не отрицает инерции этих самостоятельных частей материи, но инерция у них не считается неизменной, как в современной обычной механике, а обусловлена влиянием разного рода весьма сложных и неопределенных обстоятельств; другими словами, инерция Декарта обладает теми свойствами, какие мы признаем у кажущейся инерции электромагнитного происхождения (см. Электромагнитная теория света). Благодаря несжимаемости среды Декарта, все движения в ней совершаются по замкнутым линиям; в переводе на современный язык это значит, что в философии Декарта все движения — циклические. Современная физика, как известно, пользуется именно такими движениями весьма широко. Поры или промежутки между молекулами наполнены, по Декарту, средой, свойства которой отличны от свойств движущихся областей-молекул. Эта среда находится и в небесном пространстве, где нет обычной материи; среду эту Декарт называет иногда Э. и считает Э. принадлежащим к той же группе тел, к которой относятся обычные жидкости и газы (Н. А. Любимов, "Философия Декарта", СПб., 1886). Такое представление об Э. принадлежало в эту эпоху не одному Декарту. По указанию О. фон Гверике: "Тихо Браге († в 1601 г.) и его последователи заодно с Сенекой утверждают, что небесная среда не есть что-либо плотное... но нечто весьма редкое, прозрачное, вроде как бы воздуха или текучей невидимой материи; она всюду легко проникает и является подобием воздуха; через нее небесные тела проходят, как птицы через воздух". Уже в 1631 г. Декарт проводит аналогию между массой шерсти, между волокнами которой есть воздух, могущий двигаться как поток (вихрь), — и частицами обычной материи, в порах которой движется эфир. Этот Э. Декарта имеет структуру; его части, более мелкие, чем части обычных тел, имеют и более быстрые движения. Совокупность этих частей образует некоторую очень тонкую жидкость, передающую на расстояние свет, хотя передача эта совершается, по Декарту, и моментально. Позже Декарту понадобились еще более мелкие и еще более быстрые частицы, не имеющие уже определенной формы, а постоянно ее меняющие, приспособляясь к обстоятельствам так, чтобы нигде не образовалось пустоты. Этот третий сорт частиц, по-видимому, нужен был Декарту для объяснения процессов лучеиспускания, ибо "тело пламени состоит из маленьких частиц, движущихся отдельно одна от другой чрезвычайно быстрым и стремительным движением". Свою схему строения тел природы Декарт основывает, таким образом, на трех элементах, в которых легко видеть идеи современной физики о молекулах, Э. и электронах (см.), нужных нам как раз для объяснения явлений лучеиспускания. Потокам особой тонкой материи (вихри) Декарт вообще дает весьма широкое применение. Так, Земля для него — большой магнит, вокруг которого, как и вокруг всякого магнита, имеется невидимый поток тонкой жидкости, вытекающий струйками из одного полюса, обтекающий магнит и втекающий в другой полюс, и т. д. Те линии, по которым располагаются железные опилки кругом магнита — наши линии сил, — были для Декарта указанием направления струек. Еще большую роль приписывал Декарт этим эфирным потокам в вопросах о движении небесных тел. Правда, здесь более, чем где-либо, его потоки оказались механически невозможны; правда, Декарт не останавливался перед решимостью приписывать частицам своих Э. крайне фантастическую форму (например, струйки вокруг магнита состоят из частиц желобчатых да, сверх того, завитых спирально). Однако мы знаем теперь, что действительно некоторыми течениями по линиям магнитных сил можно объяснить происхождение кажущихся магнитных притяжений и отталкиваний.

3) Э. Гюйгенса, Ньютона и позднейшего времени. К последней четверти XVII века представления о важной роли, которую играет Э. в явлениях природы, получили широкое распространение. Уже Ф. М. Гримальди (1665) объясняет световые явления как колебательное состояние некоторой упругой жидкости и видит в магнитных явлениях доказательство существования особой мировой среды. Позже картезианец Сорэн (Saurin, 1709) прямо утверждает, что нельзя сомневаться в том, что давлению некоторой жидкости "невообразимой тонкости" следует приписать и падение тяжелых тел, потому что "по тысяче других причин" известно, что Земля плавает в такой жидкости. Соответственно этому и Э. Гюйгенса есть тончайшее, в высшей степени подвижное, разлитое во всей вселенной вещество, существование которого доказывается распространением света и в безвоздушном пространстве (см. Свет). Волны в Э. подобны волнам звука в воздухе и производят явления света; эти волны продольны. Существование Э. или аналогичной ему среды признавал и сам основатель теории истечения Ньютон, и притом даже в самой своей теории света. Так, для объяснения простого отражения и преломления летящих частиц на границе двух разнородных сред Ньютону нужны были периодически повторяющиеся "приступы наилучшего отражения и наилучшего преломления"; эту-то периодичность Ньютон и объясняет влиянием волн, возбужденных в Э. летящими частицами (1672). В конце 3-й книги "Principia" Ньютон ясно высказывается "о некотором тончайшем газе, проникающем во все твердые тела и содержащемся в них. Силой и деятельностью этого газа частицы тел взаимно притягиваются на малейших расстояниях и, соприкоснувшись, слипаются. Его же силой электрические тела действуют на больших расстояниях, притягивая и отталкивая соседние частицы; и свет испускается, отражается, преломляется, изгибается и нагревает тела; все чувства возбуждаются, и члены животных движутся по произволу колебаниями этого же газа и эти вибрации распространяются от внешних органов чувств путем твердых нервных нитей до головного мозга и отсюда передаются до самых мышц". В знаменитом втором письме к Бентли Ньютон резко возражает против возможности действия на расстоянии через пустоту, называя такое действие большим абсурдом. Впрочем, тот агент, которым обуславливается такое действие, мог бы быть, по Ньютону, и нематериальным. Ученики и последователи Ньютона отказались, как известно, от Э. как среды, заменяющей своим действием действие на расстоянии; с другой стороны, блестящий успех теории всемирного тяготения побудил ученых копировать с нее теории иных явлений. Таким образом до середины XIX в. в физике было и особое световое вещество, и теплород, и электрические, и магнитные жидкости, одаренные притягательными и отталкивательными силами. С другой стороны, приверженцы теории волнения допускали целый ряд своеобразных Э. Так, в начале XIX века знаменитый Юнг писал: "кроме форм материи, известных под именем твердых, жидких и газообразных тел, есть еще полуматериальные формы, производящие явления электричества и магнетизма, а также Э. Еще выше стоят причины тяготения и непосредственные деятели притяжений всякого рода, представляющие собой явления, по-видимому, еще более удаленные от того, что мы соединяем с понятием материального тела; и во всех этих формах бытия каждая, более тонкая и нематериальная, по-видимому, свободно проникает в грубейшие". Такое обилие Э. вызвало в конце концов боязнь Э., как выражается Максвелл, и заставляло самых выдающихся естествоиспытателей долго не мириться и с одним Э. — световым, пока прямой опыт не опроверг окончательно Ньютонову теорию света. С этого времени существование Э., как некоторого носителя энергии там, где мы не имеем материи в обычных нам видах, стало доказанным и Э. перестал быть гипотезой. Тем не менее и до нашего времени встречаются возражения против существования Э. Еще в 1884 г. сэр В. Томсон на своих лекциях в Балтиморе считал нужным настойчиво убеждать своих слушателей в том, что Э. — реальность, как реальны материя и ее движение, что Э. не гипотеза, не мистификация. Однако, в 1900 г. на конгрессе физиков в Париже Пуанкаре (Н. Poincar é) ставил вопрос: существует ли Э. на самом деле. Для Пуанкаре допущение Э. вытекает из допущения нашей механики, что состояние всякой системы зависит лишь от ее состояния, непосредственно предшествовавшего данному, а не от того, в каком состоянии была система когда-то ранее, или, говоря математически, Э. нужен потому, что в нашей механике мы пользуемся дифференциальными уравнениями, а не уравнениями с конечными разностями (см.). Для появившейся в 80-хгодах XIX века школы "энергетиков" (Гельм [Helm], Оствальд [Ostwald]) Э. тоже не существует, потому что для них нет и материи, а есть только энергия, имеющая стремление переходить с места на место и могущая двигаться в абсолютно пустом пространстве. Но если основные законы движения нашей механики и могут подлежать пересмотру, если в этом смысле наша механика и может эволюционировать, то, отрицая существование материи или становясь на точку зрения Пуанкаре, мы в сущности покидаем почву физики и механики вообще и вступаем в область метафизики. И кто сомневается в существовании материи или Э., должен показать, что новая метамеханика также способна предсказывать явления, как это делала до сих пор наша обыкновенная механика. А пока это не сделано, спор о существовании Э. или молекул является почти схоластическим спором средневековья.

4) Свойства Э., как вида материи, согласно современным воззрениям. Создание электромагнитной теории света Фарадеем и Максвеллом и обширный ряд теоретических и опытных исследований, в течение полувека подтверждавших эту теорию на каждом шагу и давших ей высокую степень совершенства, доказали, что явления света, электричества и магнетизма суть разнообразные проявления некоторых механических состояний и движений одной и той же всепроникающей среды, Э., и что свет есть электромагнитное явление. Несомненно также, что молекулы тел вносят некоторые изменения в свойства Э., но что, тем не менее, во многих явлениях нам достаточно рассматривать не сложную систему из Э. и молекул, а просто некоторую однородную среду, как бы Э., но с измененными физическими свойствами. В область гипотез мы вступаем, когда желаем разобраться в связи между молекулами и Э., и опыт нам показал, что эта связь не проста и не непосредственна. Связующим звеном между Э. и молекулами является нечто третье, своеобразные крайне мелкие частички, получившие название электронов. Таким образом приходится различать, вообще говоря: свободный Э. мировых пространств или наших сосудов с "пустотой", Э. между молекулами тел и, наконец, как бы фиктивный Э., ту однородную среду, которую мы подставляем вместо Э. и молекул во многих теоретических исследованиях, например касающихся всей оптики одноцветного луча и др. Очевидно, свойства свободного Э. наиболее просты; действительно, мы не имеем в нем целого ряда явлений, наблюдаемых в обычной материи: в таком Э. нет процессов тепло- и электропроводности, нет волн звука, не наблюдается явлений светорассеяния и светопоглощения и т. п. Таким образом, относительно Э. нам надо гораздо меньше знать, чем относительно обычной материи; но зато Э. гораздо труднее доступен изучению. Все попытки создания определенных механических представлений, объясняющих явления электричества, магнетизма и света, в сущности сводились к наложению на Э. определенных физических свойств, скопированных со свойств обычной материи, т. е. уподоблению Э. некоторому физическому телу, нам более или менее знакомому. Между тем было бы естественно ожидать, что свойства Э. объяснят нам свойства наших обычных тел; что Э. нечто более совершенное, а главное более простое. Все многочисленные попытки этого рода дали один несомненный результат: Э. не есть однородное упругое твердое тело нашей механики. Вместе с тем из всех исследований этого рода наиболее замечательны исследования В. Томсона (лорд Кельвин). Он показал, что механически возможна среда, распространяющая лишь поперечные волны, подобно твердому телу, но существенно от него отличающаяся по своим свойствам. Именно такой средой будет несжимаемая жидкость без вязкости, в которой распределены очень мелкие вихри (см.); последние по гидродинамическим свойствам вихрей все должны быть в форме замкнутых кривых линий. Такая среда обладает замечательным свойством: всякая часть среды с такими вихрями не оказывает сопротивления изменению своей формы, среда не имеет крепости (rigidity), но зато эта часть сопротивляется вращению около любой оси подобно тому, как это делает ящик, в котором находится много волчков (гиростатов), вращающихся около разных осей. Подобная среда, если и является, быть может, лишь механически возможной моделью Э., замечательна в том отношении, что в ней все упругие свойства среды будут кажущимся явлением, обусловленным движением. При отрицании действия на расстоянии естественно все силы считать лишь кажущимся явлением и, стало быть, следствием движения. С этой точки зрения то, что мы называем потенциальной энергией, является на самом деле энергией кинетической, энергией движения, только иногда мы не знаем ни этого движения, ни той материи, которая движется (скрытые движения и скрытые массы). В частности, например, в газах мы уже знаем, что их упругость есть проявление поступательного движения молекул; правда, при так называемых столкновениях молекул нам приходится еще говорить об упругих силах молекул, но это пока лишь грубая схема, и мы увидим ниже, как можно обойтись вовсе без этой упругости. Конечно, и в капельных жидкостях, и в твердых телах по существу дела происходит то же, что и в газах, только мы не в состоянии здесь выполнить нужный для определения давления счет, который уже сделан для газов. Томсоновский Э. принадлежит к числу подобных же сред с кажущейся упругостью. Далее, то обстоятельство, что Э. является по отношению к явлениям света, электричества и магнетизма как бы твердым телом (quasirigid), не представляет каких-либо особых затруднений для объяснения движения небесных тел через Э. без всяких заметных астрономических возмущений даже в том случае, если мы будем представлять себе, что эти тела движутся через Э., как невод в воде, т. е. не увлекая его с собой. Дело в том, что одно и то же тело представляется нам то твердым, то жидким, в зависимости от того, в каком отношении находится действие тяжести на тело к силам так называемого сцепления (т. е. упругости) и, кроме того, в зависимости от времени, в течение которого мы воздействуем на тело (Стокс [Stokes], 1845). Как и в других областях физики, здесь нет резких перегородок между свойствами тел твердых и жидких, различие везде количественное, а не качественное. Поэтому при одной и той же температуре одно и то же тело — твердое на Земле, окажется жидким на Солнце, а вязкая на Земле жидкость будет несомненным твердым телом на Палладе. С другой стороны, как известно из опытов Спринга (Spring) и др., такие несомненно твердые тела, как свинец, золото и др. металлы, текут, как жидкости, под достаточно большим давлением. В опыте В. Томсона через пластинку сапожного вара в воде всплывали пробки, двигаясь снизу вверх; а пули тонули в варе, двигаясь сверху вниз со скоростью нескольких дюймов в год. Между тем этот вар и другие ему подобные тела (смолы) вообще могут звучать как стекло, давать излом как настоящее твердое тело и т. п. Обратно, такая несомненная жидкость, как вода, в которую прибавлено всего 5 граммов твердого желатина на литр, обнаруживает ясно измеримую крепость даже для медленно протекающих процессов (Ф. H. Шведов, 1900). Эта крепость в два триллиона раз менее крепости стали; для достаточно быстрых процессов и в чистой воде окажется крепость, как она окажется и в газах. Во всех этих телах поперечные волны вполне возможны, но их скорость будет чрезвычайно мала, благодаря слишком большой плотности тел. Поэтому всякая жидкость с самыми ничтожными признаками крепости могла бы распространять поперечные волны с такой большой скоростью, как скорость света, если бы только плотность этой жидкости была достаточно мала. Отсюда ясно, что Э. нужна только достаточно малая плотность и он в разных явлениях будет вести себя различно: подобно твердому телу для процессов, протекающих со скоростью света, и подобно жидкости для скоростей, в тысячи раз меньших этой скорости. Эфир Томсона является телом в мельчайших частях неоднородным, причем неоднородность эта обусловлена только движением. Благодаря ей мы должны назвать строение этого Э. молекулярным. Правда, такое строение может повлечь за собой требование, чтобы у чистого Э. были явления светорассеяния и иные, наблюдаемые в обычных телах, например явления теплоты, Э. должен бы иметь температуру и т. д. Это очень тонкие вопросы, которых опытное решение наступит, вероятно, не скоро. Но следует заметить, что в последнее время уже появился целый ряд теоретических исследований (например, Планк [Planck], 1 9 00), в которых законы термодинамики распространяются и на лучи света, идущие в чистом Э. Появилась необходимость говорить о температуре луча в Э., откуда уже один шаг и до температуры Э. С другой стороны, мы не имеем никаких опытных указаний на полное отсутствие дисперсии и светопоглощения в Э. В самом деле, куда исчезает энергия, посылаемая, например, солнцем по всем направлениям, энергия, из которой лишь ничтожная часть попадает на обычные тела? Наконец, если в Э. и есть дисперсия, она могла бы сказаться, может быть, лишь на волнах, размеры которых очень малы, т. е. на волнах ультрафиолетовых и еще более коротких. Только молекулярное строение занимающей нас среды не может делать из нее газ с обычными свойствами, потому что тогда в явлениях теплоты сказалось бы существование такого газа (Максвелл).

5) Плотность Э. Какими бы свойствами ни обладал Э., какие бы движения в нем ни происходили, несомненно, свет есть явление кинетического характера и, согласно электромагнитной теории света, в световом луче энергия наполовину кинетическая, наполовину потенциальная. Поэтому полная энергия светового луча равна его двойной кинетической энергии. Яркость луча есть средняя величина энергии единицы объема среды, распространяющей свет, за промежуток времени, очень большой сравнительно с периодом световой волны, и эта яркость e = i/V, где i — количество энергии, приносимое лучами в секунду на квадратный сантиметр, нормальный лучу, а V — скорость света. Если K есть средняя кинетическая энергия кубического сантиметра, то e = 2K и K = 0,5i/V. Но каково бы ни было движение в световом луче, какой бы механический смысл не имели величины, называемые нами электрическими и магнитными силами и т. п., всегда кинетическая энергия единицы объема, которого длина по направлению луча достаточно мала, есть 1/2ρ v2, где v — одинаковая для всех точек объема скорость движения, а ρ — плотность среды. Если, далее, A есть максимальное значение скорости за период колебания, то средняя кинетическая энергия кубического сантиметра будет K = 1/4 ρ A2 и потому ρ = 2i/VA2 или же, если положить V/A = n, то ρ = 2in2/V3. По исследованиям Ланглея (Langley, 1884), каждый квадратный сантиметр земли получал бы от солнца в минуту 3 малых калории тепла, если бы не было атмосферы, что дает i = 21∙105 эргов, так что будет ρ = 6∙10—25n2. Величина n нам неизвестна, но о порядке величины этой мы можем судить; совершенно невероятно, например, чтобы A было больше скорости света; Томсон считает n никак не меньше 50. В таком случае плотность Э. окажется более чем 4∙10—22. Аналогичный приведенному счет выполнен был В. Томсоном (1854) для Э., как упругого твердого тела и дал ρ >10—22; число того же порядка мы получаем и на основании электромагнитной теории света. Остатки нашего воздуха даже на расстоянии всего одного земного радиуса от поверхности Земли имели бы (при неподвижной Земле) плотность 10 —345 (В. Томсон).

6) Э. и тяготение. Обычная материя подчинена закону всемирного тяготения. Подчинен ли тому же закону и Э., или он невесом? Рассматривая Э. как один из видов материи в обычном смысле этого слова, мы не можем дать определенного ответа на этот вопрос уже потому, что мы не знаем происхождения тяготения и даже не знаем, требует ли оно времени для своего распространения. Только если тяжесть есть действие на расстоянии, она должна распространяться мгновенно; конечность "скорости тяготения" доказала бы, что тяготение есть кажущееся взаимодействие тел подобно тому, как это имеет место по отношению к явлениям электричества и магнетизма. Тот успех, какой дали в учении об электричестве и магнетизме идеи Фарадея и Максвелла, делает маловероятным, чтобы вообще в природе существовало действие на расстоянии. Правда, делались неоднократно подсчеты того, какова могла бы быть скорость распространения тяготения, чтобы не вызывать у небесных тел движений, которые не наблюдаются. Все такого рода подсчеты (например, Лапласа) приводили постоянно к числам во много миллионов раз большим скорости света. Однако все эти вычисления основаны на допущении, что движение небесных тел на тяготение не влияет. Между тем если тяготение производится известными состояниями Э., то эти состояния очевидно будут изменяться в зависимости от движения видимых тел, а в таком случае мы не получим никакого противоречия с астрономическими наблюдениями и при скорости распространения тяготения, не отличающейся от скорости световых и электромагнитных волн (Н. А. Lorentz, 1900). И действительно, Лоренцу удалось представить всемирное тяготение как результат (кажущихся) электрических притяжений и отталкиваний электронов, допуская лишь, что взаимодействие двух одноименных количеств электричества при прочих равных условиях слегка отлично численно (и конечно противоположно) от взаимодействия двух таких же количеств разноименных. Тогда тяготение, как и электрические притяжения и отталкивания, оказывается кажущимся явлением, распространяющимся со скоростью света. Но и в этом случае трудно сказать, весом ли Э. С одной стороны, так как в Э. нет электронов, можно бы было думать, что он невесом; с другой стороны, быть может, электроны — эти частички, в сотни раз меньше атомов водорода — есть не что иное, как измененные в чем-либо молекулы. Э. Тогда между последними и электронами, т. е. и молекулами обычных тел, возможно кажущееся взаимодействие, если не тождественное, то аналогичное взаимодействию между телами, подчиненными всемирному тяготению; тогда Э. может оказаться как бы весомым, он будет притягиваем обычными телами. В. Томсон полагал более вероятным, что Э. весом, и считал onus probandi лежащим на тех, кто утверждает, что Э. не подчинен тяготению. По-видимому, мнение Томсона оказывается верным, особенно в связи с теми соображениями, с которыми мы встретимся ниже и которые совсем независимы от вышеприведенных.

7) Э. и молекулы обычных тел. Обычная материя, как известно, состоит из молекул, являющихся в свою очередь группами атомов. Последние оказываются чем-то неизменным, неуничтожимым. Реальное существование молекул и атомов, т. е. неоднородность в строении материи, главным образом доказывается явлениями лучеиспускания (благодаря спектральному анализу [см.]) и химическими. Известно, кроме того, что атомы и молекулы находятся в движении, что между ними есть так называемые силы сцепления. С точки зрения отсутствия действия на расстоянии, и эти силы должны быть кажущимися, т. е. некоторым действием среды, разделяющей атомы и молекулы; возможно, что в конце концов эти силы окажутся тождественными с силами всемирного тяготения, как это полагает В. Томсон. Как бы то ни было, раз есть Э., было бы ненужным усложнением рассматривать атомы и молекулы, как что-то от Э. совсем отличное; наоборот, естественнее всего считать атомы и молекулы просто некоторыми областями того же Э., но обладающими, благодаря особым условиям, и особыми свойствами. В этом направлении, чисто картезианского характера, делались самые разнообразные предположения. Предполагалось, например, что атомы и молекулы суть места сгущения Э. или что они — места, где твердый Э. расплавился (Helm, 1881) и т. п. Но из всех подобных гипотез наибольшее значение снова имеет гипотеза В. Томсона, сводящая различие между атомом и Э. только к различию в движении. По Томсону (1867), атом есть вихрь совершенной жидкости, т. е. атом обычной материи, то же, что и атом или молекула Э., но более крупный, более сложной структуры. По свойству вихревого движения совершенной жидкости такой вихрь всегда состоит из одних и тех же точек жидкости, и напряжение вихря (произведение угловой скорости на площадь поперечного сечения) есть величина неизменная, чтобы с вихрем ни происходило. Такой, раз существующий, вихрь неуничтожим и механически неделим, т. е. как раз обладает свойствами атома материи. Вихри эти могут иметь поступательное движение как целое, могут дрожать и т. п.; они, наконец, обладают кажущейся упругостью, благодаря наличности в вихрях вращательного движения. Все это дало повод сделать попытку разработать кинетическую теорию газов, принимая молекулы газа за такие вихри. Это сделал Дж. Дж. Томсон (J. J. Thomson, 1888) и, насколько позволили математические трудности, показал, что при приближении двух колец вихрей друг к другу или к неподвижной стенке они будут отталкиваться подобно упругим телам; что стенка будет испытывать давление, выражающееся как раз так, как нужно в кинетической теории газов, т. е. ведущее к закону Мариотта и Гей-Люссака, и т. д. С точки зрения этой вихревой теории материи, одноатомный газ состоит из простых (одиночных) вихрей; различие газов может состоять в форме, какую имеет ось вихря; газ двухатомный будет состоять из пар вихрей, переплетенных один с другим или просто держащихся один близ другого и т. д. Теория показывает, далее, что, например, газ, состоящий из пар вихрей, может дать устойчивую комбинацию или с двумя газами одновихревыми (одноатомными), или же с газом двувихревым, так что получатся четыре вихря вместе и т. д., но устойчивы лишь комбинации до шести вихрей вместе. Таким образом, комбинации одинаковых вихрей дают молекулу простых тел в газовом состоянии, комбинации разных вихрей — молекулы сложных химических соединений, и опыт показывает, что в газовом состоянии действительно нет тел с числом атомов, большим шести (с шестью — вольфрам). Таким образом, согласно этой теории Э. и обычная материя разнятся лишь характером движения в отдельных частях, но движутся при этом части одной и той же совершенной жидкости, т. е. некоторого сплошного тела неизменной всюду плотности, обладающего двумя лишь свойствами: совершенной подвижностью и инерцией. Но инерция есть таинственное свойство обычной материи, измеряемое величиной массы, хотя мы не знаем, что такое эта масса и инерция и в какой связи они стоят с элементарными понятиями пространства и времени, потому что в опытах с обычной материей масса одного и того же тела остается неизменной. Поэтому, имея дело не с обычной материей, естественно ставить вопрос, имеет ли она инерцию и даже искать в свойствах этой необычной материи объяснение инерции. Для совершенной жидкости инерция не необходима; все гидродинамические уравнения для такой жидкости останутся в силе, если мы примем в них плотность жидкости ρ равной нулю; так как на такую жидкость никаких внешних относительно нее сил не может быть (ибо нет ничего, кроме этой жидкости), то принятие плотности равной нулю сведется к тому, что будет нулем и так называемое гидродинамическое давление p. Но в уравнениях вместо последнего будет фигурировать неопределенная величина P = p/ ρ, которая может быть конечной и будет заменять собой гидродинамическое давление обычных жидкостей. В таком случае инерция тел будет кажущимся явлением, масса атомов и молекул будет иметь кинематический характер и притом сама величина массы может оказаться переменной в зависимости от разного рода условий. Пример этого мы видим на движущихся наэлектризованных телах, на движущихся в жидкости твердых телах, где движение создает у тел появление кажущейся массы, обусловленной движением и, вообще говоря, даже зависящей от направления движения.

8) Инерция Э. Если Э. есть лишь вид обычной материи, конечно он обладает инерцией. В этом предположении и вычислялась выше плотность Э., но, быть может, инерция обычных тел как раз обусловлена известными движениями в Э. Тогда нет надобности принимать существование инерции у Э. Как ни труден вопрос такого рода, электромагнитная теория света намечает пути к его решению. Эта теория в форме, данной ей Максвеллом, Герцем и Гельмгольцем, приложима не только к обычным телам, но, и даже по преимуществу, к Э.; при этом теория приложима как к случаю покоя тел и Э., так и к случаю их движения с произвольными скоростями. Когда мы имеем в Э. электромагнитные процессы, то, вообще говоря, в Э. возникают такого рода механические давления, что они должны привести отдельные точки среды в движение. Силы эти сводятся к одним давлениям на погруженные в Э. тела и, значит, оставляют Э. в покое лишь в случае неподвижных наэлектризованных тел или магнитов, постоянных электрических токов, установившихся электромагнитных волн и т. д. Вообще же при произвольных процессах в Э. должны возникнуть движения с определенными скоростями, и последней работой Гельмгольца (1894) была именно задача об изыскании этих скоростей в несжимаемом Э., не обладающем инерцией. В. Вин (W. Wien, 1898) применил эти уравнения Гельмгольца к частным случаям. Так, например, если мы имеем близко друг к другу два равных и противоположных количества электричества и они оба растут пропорционально времени, то в несжимаемом Э. без массы движение должно возникнуть, но оно оказывается механически невозможным. Стало быть, одно из сделанных допущений неверно: или Э. сжимаем, или он имеет инерцию, или же, наконец, он вовсе неподвижен. Подбирая соответственные электромагнитные процессы, возможно исследовать каждое из этих предположений в отдельности. Затруднение является лишь в том, чтобы выбранный случай был одновременно и решающим вопрос, и не представлял бы чересчур больших математических трудностей, потому что существует немало процессов, легко подсчитываемых, но не решающих вопроса, и обратно. Так, например, если количество электричества e в виде материальной точки движется прямолинейно и равномерно, то Э. без инерции останется в покое; в Э. же с инерцией возникнут вихри в форме круглых колец, охватывающих направление движения электрического заряда. Наибольшая скорость вращения получается при скоростях, близких к скорости света, т. е., например, при движении электронов. При этом скорости вращения будут неправдоподобно велики, если плотность Э. слишком мала, например 10 —22. Это согласно с прежним результатом, что плотность Э. должна быть больше, чем 4∙10 —22. Допущение неподвижности Э. в том смысле, что ни движение обычных тел, ни механические давления не приводят Э. в движение, заманчиво своей простотой. Правда, тогда мы встречаемся с нарушением 3-го закона движения Ньютона. Действительно, световые волны оказывают, как известно, давление на встречаемые ими поверхности, и это давление не зависит от направления движения волны; поэтому волна, испускаемая или отражаемая, давит так же, как и волна падающая. Если теперь представить себе пластинку, одна сторона которой, например, зачернена, а другая зеркальна, то такая нагретая пластинка будет испускать лучи черной стороной гораздо сильнее, чем зеркальной, а потому на черную сторону световое давление будет больше и пластинка придет в движение сама собой, благодаря одной внутренней своей энергии, что с точки зрения обычной механики невозможно. Однако 3-й закон механики оправдывался до сих пор лишь на движении обычных тел; вопрос о приложимости этого закона к необычной материи — эфиру — не может быть решен a priori. Поэтому, если бы оказались факты, которые непримиримы с подвижностью Э., пришлось бы заменить 3-й закон движения более общим, который переходил бы в обычный 3-й закон, когда мы имеем дело лишь с обычной материей. Действительно, опыт дает несколько, очень, правда, тонких оптических явлений, которые могут навести на мысль о неподвижности Э.

9) Участие Э. в движении обычных тел. Если мы отвлечемся сначала от явлений оптических (электромагнитных волн), то свойства Э. проявляются в явлениях электричества и магнетизма, статических и стационарных. Когда мы имеем на Земле искусственно созданное движение наэлектризованных тел, магнитов, электрических токов и т. п., мы, не участвуя сами в этом движении, наблюдаем ряд электромагнитных явлений (например, магнитное действие движущихся наэлектризованных тел — опыт Роланда [Rowland, 1876] — индукцию токов и т. д.), но по ним не можем заключить об участии Э. в этом движении. Можно бы было думать, что это участие скажется, когда и наблюдатель участвует в движении, или когда движутся тела в нейтральном состоянии. В последнем случае движение Э. могло бы проявиться появлением токов или электрических зарядов и т. д. К числу опытов этого рода принадлежит, например, опыт Фарадея с падающей проволочной катушкой, в которой падение не вызывало индуктивного тока; опыт де Кудра (Des Coudres, 1889), где индуктивное действие одной катушки на другую компенсировалось при помощи третьей катушки, и компенсация эта не расстраивалась, каково бы ни было положение катушек относительно направления движения Земли; опыт Рёнтгена (R ö ntgen), где заряженный конденсатор, несмотря на участие в движении Земли, не показывал магнитного действия; опыт Гильберта (Gilbert, 1901), где проволочная катушка быстро вращалась около своей оси, но не давала при этом электрического тока; опыт П. Н. Лебедева (1903), где две длинных параллельных разнородных проволоки, спаянные на одном конце, не обнаружили электрического тока, какое бы положение проволоки ни занимали по отношению к направлению движения Земли и многие др. Все опыты, таким образом, дали отрицательный результат, что, однако, по существу дела, независимо от всякой теории, не говорит ни за, ни против участия Э. в движении обычных тел. Иначе обстоит дело по отношению к явлениям оптическим, так или иначе связанным с участием Э. в движении. Эти явления можно разделить на две группы:

I группа: все участвующее в явлении (источники света, приборы, среды, наблюдатель) имеет одну и ту же скорость движения.

II группа: все участвующее в явлении имеет не одну и ту же скорость; эта группа в свою очередь распадается на две:

II-а: источник света и наблюдатель с приборами имеют одну общую скорость; среда (или среды) между ними имеют иную скорость движения.

II-b: источник света имеет свое движение; все остальное имеет иное движение.

К I группе относятся все опыты, когда источники света, среды, приборы и наблюдатель покоятся относительно движущейся в пространстве Земли. Главнейшие из опытов этого рода:

a) опыт Максвелла (1868): освещенный крест нитей зрительной трубы спектроскопа посылал лучи через призмы; лучи затем отражались от зеркала и возвращались назад, давая в зрительной трубе отраженное от зеркала изображение креста нитей. Это изображение не изменяло своего положения относительно настоящего креста нитей, каково бы ни было положение призм (и идущего через них луча) относительно направления движения Земли.

b) Опыт Кеттелера (Ketteler, 1872), где две части одного луча проходили каждый вдоль своей трубы с водой; трубы были слегка наклонны одна к другой и лучи в них шли навстречу друг другу. В конце пути оба луча интерферировали, но интерференционная картина не менялась от движения Земли.

c) Опыт его же и независимо Маскара (Mascart, 1874) над внутренним отражением и двойным преломлением в исландском шпате; влияния движения Земли нет.

d) Опыт Маскара над вращением плоскости поляризации в кварце; опыт повторен лордом Рейли (Rayleigh, 1902) с большими средствами. Угол вращения плоскости поляризации в кварце и иных средах доходил до 5500°. Ни при каком положении направления луча относительно движения Земли изменения угла вращения не было.

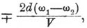
e) Опыт Майкельсона (Michelson, 1881), повторенный им позже вместе с Морли (М. а. Morley, 1887), явившийся осуществлением идеи Максвелла. Луч света, встречая наклонную к себе под углом 45° стеклянную пластинку A, дает два взаимно перпендикулярных луча, отраженный и преломленный. Первый направляется пусть нормально движению Земли, второй — параллельно. Каждый из лучей (при помощи многократного отражения) проходит путь в 11 метров, затем отражается от зеркал B', B, возвращается назад по первоначальному направлению и у пластинки A первый преломляется, второй отражается, так что оба получают одно направление и интерферируют. Если ω есть общая скорость движения точек A и B с Землей относительно эфира воздуха, в котором идут волны света, + то время, нужное лучу для прохода пути AB = d, будет d/(V + ω) (V — скорость света), а пути BA будет d/(V— ω), так что все время, нужное для прохода взад и вперед пути 2d, будет 2 d/VV2/(V2 ω 2), что при малом ω сравнительно с V(ω /V меньше или равно 10 —6) дает 2 d/V(1 + ω 2/V2). Поэтому между интерферирующими лучами будет разница хода вследствие движения Земли = 2 d ω 2/V2, которая перейдет в ± 2d ω 2/V2, если всю систему повернуть около A на 90°. Смещение интерференционных полос должно бы быть 0,4 расстояния двух полос, чего, однако, не было, т. е. ω = 0.

f) Опыт Майкельсона (1897): аналогично прежнему один из лучей поднимался над землей почти вертикально на 15 метров, шел некоторый путь горизонтально, спускался вертикально вниз и возвращался назад горизонтально, тогда как другой луч проходил тот же путь в обратном направлении; и здесь интерференционная картина почти (0.05) не смещалась в течение суток. Между тем если, например, в полдень один из лучей вверху шел по направлению движения Земли, то в полночь он шел против этого движения; поэтому лучи в полдень имели разницу хода ± 2d1 ω 2)/V, а в полночь , где ω 1, ω 2 — скорость движения связанных с Землей предметов относительно Э. вверху и внизу. Это значит, что вообще скорость движения Э. одинакова — у Земли и очень далеко над поверхностью Земли; если Э. не движется, то не движется ни там, ни здесь.

g) Опыт Гага (Haga, 1901); линии поглощения в спектре не смещаются вследствие движения Земли, чем опровергается противоположный результат Клинкерфюсса (Klinkerf üss, 1870).

h) Опыт Нордмайера (Nordmeyer, 1903), осуществивший идею Физо (Fizeau, 1854). Источник света находился посреди расстояния между двумя термоэлементами A и B, полученный в которых электрический ток приводился к нулю. Эта компенсация не расстраивалась поворотом прибора так, чтобы AB было направлено по или перпендикулярно движению Земли.

К группе II-a относятся опыты, где между неподвижными на Земле источником света и наблюдателем вводилась среда, имевшая свое движение по Земле.

i) Опыт Физо (1851), повторенный Майкельсоном и Морли (1886). Луч света разделялся на две части; одна проходила две параллельно лежащие трубки с водой последовательно, по одному направлению, другая — те же трубки по противоположному направлению. Лучи затем делались параллельными и интерферировали. Когда воду в трубках заставляли течь в противоположных направлениях, то одному из лучей приходилось все время идти с током воды, другому — ему навстречу. Опыты показали, что вследствие этого интерференционные полосы очень заметно смещаются. Это значит, что лучи идут с неодинаковой скоростью света, а именно со скоростями соответственно V + δω и V— δω, где V — скорость света в неподвижной воде, а ω — скорость течения (5—8 м в секунду). Опыты Физо дали δ = 0.434, Майкельсона и Морли — δ = 0.438. Если заменить воду воздухом, смещения полос нет, т. е. практически δ = 0. Все это согласно с добытым в теории Френеля (Fresnel, 1818) результатом, что δ = 1 1/n2, где n — показатель преломления неподвижной воды или воздуха.

k) Опыт Цендера (Zehnder), где не замечалось смещения интерференционных полос при движении поршня в безвоздушном пространстве.

l) Опыт Лоджа (Lodge, 1893), выполненный с большими средствами. На одной оси вращаются два параллельных между собой металлических диска (пилы). Луч, раздвоенный, как и в вышеуказанных опытах, каждой своей частью описывал, при помощи соответственно помещенных зеркал, длинный путь в воздухе между дисками; лучи шли в противоположных направлениях и в конце концов интерферировали. Несмотря на то что диаметр дисков был почти метр, а скорость вращения доходила до 50 оборотов в секунду, смещения интерференционных полос от движения дисков (Э. между ними) не было.

Наконец, к группе II-b относятся опыты, где источник света находится вне Земли (звезды, солнце); все же остальное неизменно связано с Землей.

m) Аберрация света (см.); явление состоит в том, что благодаря движению Земли по ее орбите со скоростью ω, мы видим на Земле (T) небесное тело (звезду) A не в его настоящем положении, а смещенным в сторону движения Земли в положение A'. Угол α между направлениями AT и A'T и есть аберрация, причем Vsin α = ω sin(ω, AT), где V — скорость света в воздухе (Э.).

n) Опыт Эри (Airy, 1871), по идее Бошковича (Boscovich). В зрительной трубе, с помощью которой наблюдается аберрация, заменяется воздух водой. От этого угол α не менялся.

o) Опыт Араго (Arago). Отклонение луча света неземного происхождения в призме (ахроматической) не меняется движением Земли.

p) Опыт Толлона (Thollon, 1870); линии солнечного спектра смещаются под влиянием вращения Солнца около оси. Позже стало общеизвестным смещение спектральных линий небесных тел (самосветящихся), благодаря их движению, направленному к или от Земли. Здесь мы имеем проявление общего принципа кинематического характера (принцип Доплера, [Doppler, 1847]), согласно которому относительное движение источника волн и приемника их (наблюдатель) обуславливает кажущееся изменение периода волны.

r) Опыт Физо (1846). Солнечный свет (полдень, солнцестояние), поляризованный прямолинейно, проходит наклонно ряд стеклянных пластинок и затем входит в анализатор. При таком преломлении вообще плоскость поляризации повертывается. Физо наблюдал разницу в этом повороте в зависимости от того, шел ли луч света с запада на восток или обратно. Здесь дело сводится к изменению яркости преломленного луча в зависимости от движения Земли. Аналогичный опыт был сделан также позже Ангстрёмом (Angstr ö m) при помощи явлений дифракции света и с теми же результатами. Но Лоренцем (1898) были высказаны сомнения в верности полученных этими опытами данных, причем и сам Физо разделил эти сомнения.

10) Противоречия в опытах этого рода и их объяснения. Опыты, относящиеся к группе I, все согласно показывают, что если наблюдатель и все остальное, участвующее в опыте, неизменно связано с Землей, то, несмотря на движение Земли по ее орбите, все оптические явления протекают так, как если бы Земля была в покое. При этом опыт (f) позволяет распространить это заключение и на значительные расстояния от поверхности Земли. Точно так же согласны между собой и все опыты группы II-а; при неизменно связанных с Землей наблюдателе, приборах и источнике света движение некоторой среды по Земле со скоростью ω изменяет скорость луча света, идущего параллельно направлению ω, из V на V ± ω (1 1/n2). Значит, дело происходит так, как если бы чистый Э. был в покое (n = 1), а молекулы тел в своем движении по Земле отчасти увлекали Э. Наконец, опыты группы II-b (m, n, o, p) согласно обнаруживают, что движение Земли для наблюдателя на Земле отражается на волнах света от звезд двояко: изменением направления распространения света (аберрация) и изменением периода световой волны (принцип Доплера); но раз такая измененная волна дана, движение Земли не сказывается далее ни на каких оптических явлениях. Несогласны с этим результатом лишь опыты (r), но, как уже упомянуто, они требуют еще своего подтверждения новыми исследованиями, так что их можно исключить из дальнейшего рассмотрения. Но легко видеть, что опыты I и II-а вообще, и наиболее точные из них (e и i) в особенности, стоят в прямом противоречии друг с другом: именно при одной и той же скорости движения ω параллельно лучу света движение воздуха на Земле изменяет скорость света из V в V ± ω (1 1/n2), т. е. практически не изменяет вовсе, между тем как движение воздуха с Землей изменяет V в V ± ω. Это противоречие не зависит от каких-либо специальных предположений, потому что подсчеты, которые приводят к этому заключению, имеют чисто кинематический характер и верны для всякой теории волнения. Мы должны, поэтому, заключить, что при исследовании оптических явлений в движущихся средах обнаруживается какое-то свойство Э. или какая-то особенность его связи с молекулами обычных тел, которые в теории света в расчет не принимаются. Какое это свойство и в каких иных явлениях оно может проявиться, возможно решить лишь при помощи специальной гипотезы, сущность которой, однако, будет зависеть от того, на какую точку зрения мы станем по отношению к движению Э. вообще. Идея о не увлечении Э. Землей принадлежит Френелю и хорошо согласуется с объяснением аберрации света; плоская световая волна от неподвижной звезды доходит до аппарата, которым наблюдается звезда, невозмущенной; аберрация сводится к влиянию движения зрительной трубы между моментами входа луча в трубу и его выхода из нее (см. Аберрация). Это объяснение было бы строго верно, если бы Земля была без атмосферы; но для того чтобы объяснить опыт Эри (p), надо принять, что при движении воды с трубой фиктивный Э. имеет не скорость Земли ω, a скорость ω (1 1/n2), соответственно формуле Френеля. Тогда становится понятным, что воздух, движущийся с Землей, практически влияния не имеет. Противоположный взгляд, а именно, что у земной поверхности Э. движется со скоростью Земли и находится в покое лишь на далеком от нее расстоянии, был высказан Стоксом (1845). С этой точки зрения явление аберрации существует независимо от зрительной трубы, и Стокс предполагает, что явление состоит в изменении направления нормали плоской волны под влиянием движения Э. Тогда угол аберрации получается согласно с наблюдениями лишь при условии, что вообще движение Э. без вращения частиц (невихревое, с потенциалом скоростей). Но если Э. есть несжимаемая жидкость и мы уподобим Землю в ее годовом движении движущемуся прямолинейно и равномерно твердому шару, то в жидкости механически невозможно такое невихревое движение, чтобы ее скорость близ поверхности шара лишь очень мало отличалась от скорости шара. На это обратил внимание Лоренц (1887) и это послужило поводом к разработке им теории света при условии неподвижности Э. (1892). Но конечно, в этой теории опыты Майкельсона и Морли (e) необъяснимы; поэтому Лоренцу пришлось сделать предположение о существовании совсем нового явления: благодаря движению изменяются молекулярные силы в телах, так что размеры тел по направлению движения при разных скоростях разные. Тогда в опыте (e) изменение расстояния между точками AB как раз компенсировало влияние неподвижности Э. Такая гипотеза, впервые высказанная независимо Фитцджеральдом (Fitzgerald), имеет ныне немало сторонников. Но если движением Земли изменяются размеры тел лишь по направлению движения, то такая деформация должна сделать тело двоякопреломляющим свет. Однако опыты лорда Рейли (1902) над водой, сероуглеродом и стеклом такого двойного преломления не обнаружили. Теория Лоренца, кроме того, противоречит вышеупомянутому опыту Рёнтгена, а опыты Маскара-Рейли (d) над вращением плоскости поляризации в кварце получают свое объяснение лишь при специальном допущении, что движение Земли не только изменяет существующее вращение, но и создает новое, независимое, причем оба эти обусловленные движением вращения почему-то компенсируются. Как справедливо заметил Лоренц (1897), допущение изменения размеров тел при движении для объяснения опыта (e) при неподвижности Э. неизбежно. Поэтому если мы, составляя уравнения электромагнитной теории света в предположении неподвижности эфира, a priori подберем их так, чтобы движением Земли явления интерференции света не нарушались, т. е. чтобы опыт (e) имел свое объяснение (Е. Cohn, 1901), мы в замаскированном виде введем в теорию предположение об изменении размеров тел при движении. Таким образом теории, основанные на неподвижности Э., в их современном виде эту неподвижность убедительно не доказывают; неподвижность Э. к тому же делает эту среду весьма странной, с чрезвычайно неопределенными свойствами, при которых даже и само распространение света с конечной скоростью представляется не совсем понятным (В. Вин, 1898). Но Стоксова теория аберрации основана на трех произвольных допущениях: несжимаемость Э., изменение направления нормали волны в движущихся средах и отсутствие сил между Землей и эфиром. Если же мы предположим, что Э. сжимаем и, сверх того, подчинен земному тяготению, в нем возможно такое невихревое движение, чтобы скольжение Э. по земной поверхности было совершенно ничтожно. Тогда Стоксова теория оказывается приложимой (Планк и Лоренц, 1899), а противоречие в опытах (e) и (i) находит свое объяснение в разнице масс Земли и молекул. В таком случае уравнения электромагнитной теории света для движущихся сред в форме, данной этим уравнениям Максвеллом, Герцем, Гельмгольцем, находят себе полное применение (Лоренц, 1899). Но явления аберрации могут состоять и не в изменении направления нормали волны вследствие движения в среде, а в уклонении, например, луча от направления нормали, как это и имеет место в теории Кона. Поэтому мыслимо такое изменение уравнений Максвелла, Герца, Гельмгольца, чтобы для объяснения аберрации не понадобилось соблюдения условия о невихревом движении Э. Тогда Э. мог бы быть и несжимаемым, и не иметь скольжения по Земле. Наконец, возможно и еще одно предположение. Именно в механике нередко рассматривается движение жидкости около твердого тела, когда прилегающий к последнему слой жидкости вследствие сил сцепления или прилипания остается неподвижным относительно тела. Если мы представим себе, что благодаря подобным силам и молекулы тел, и Земля имеют неизменно с ними связанные оболочки Э., то движение Земли с такой оболочкой внутри остального несжимаемого Э. вызовет в последнем как раз невихревые течения, нужные в Стоксовой теории аберрации. Тогда снова уравнения Максвелла, Герца, Гельмгольца будут пригодны для объяснения всех интересующих нас оптических явлений; а противоречие между опытами (e) и (i) будет обусловлено тем, что в опытах с движением тел по Земле свет проходит между молекулярными оболочками, тогда как в опытах, где играет роль движение самой Земли, мы имеем свет, идущий внутри оболочки Э. Френелевский "коэффициент увлечения" Э. может быть тогда получен при помощи соответственно подобранной теории дисперсии, как это и сделано уже, например, Рейффом (Reiff, 1893). Так как, далее, весьма вероятно, что силы сцепления суть не что иное, как силы тяготения, проявляющиеся иначе, лишь благодаря неоднородности строения тел (молекулярность, В. Томсон), то, очевидно, и предположение об эфирных оболочках сводится к подчинению Э. действию тяготения. Таким образом, подвижность Э. требует, по-видимому, во всяком случае подчинения его всемирному тяготению, независимо от того, сжимаем ли Э., или же нет.

Д. Гольдгаммер.

 

Оглавление