Фарфор*
(произв.). — Ф. относится к отделу керамических изделий (см. Гончарное производство) с непроницаемым для жидкостей черепом; от каменных изделий (gr è s) он отличается прозрачностью, или просвечиваемостью. Однако резкой границы здесь провести нельзя, и при определении прозрачности необходимо указывать толщину черепа и интенсивность источника света, так как малоокрашенные каменные изделия и некоторые полевошпатовые фаянсы с большим содержанием плавней обладают относительным просвечиванием в тонких слоях, а с другой стороны, всякий Ф. становится непрозрачным при достаточном увеличении толщины черепа. То же необходимо сказать и относительно общего признака этого отдела изделий, а именно о непроницаемости их черепа для жидкостей. Поэтому затруднения, которые являются при определении видов керамических изделий, весьма важные в некоторых случаях (напр. для таможенных ставок), могут быть в точности разрешены только тогда, когда приняты не только указанные выше признаки, но и все другие физические и химические свойства черепа и глазури, открывающие для специалиста способы производства данного товара. По внешнему виду Ф. является в виде белой или окрашенной массы, крытой или не крытой глазурью (бисквит). В технике по способам приготовления различают: твердый и мягкий Ф. Оба названия соответствуют степени сопротивления глазури и черепа механическому действию и вместе с тем степени постоянства при высоких температурах. А. Твердый Ф. [Общие сведения о его составе и свойствах см. также в ст. Гончарное производство, Глина и Глазурь.] по роду изделий из него, частью определяющих способы его производства, может быть подразделен на: 1) Ф. сервизный — для приготовления столовой посуды и художественных украшений; 2) Ф. для строительных (архитектурных) предметов; 3) Ф. для технических целей, к которому относятся: лабораторная и заводская посуда; приспособления для электрических приборов, для облицовки поверхности измельчающих аппаратов, требующих особой твердости; 4) фарфоровый бисквит — матовая масса, не крытая глазурью, употребляемая по преимуществу для лепки скульптурных и др. украшений.
1) Сервизный Ф. по составу массы представляет смесь каолина и плавней в виде кремнезема (кварц) и полевого шпата, которые вместе с тем являются как противопластичные вещества, причем иногда часть щелочных плавней полевого шпата заменяется известью. В весьма редких случаях каолин заменяют отчасти магнезитом или тальком. Тесто для этого Ф. должно обладать следующими качествами: 1) достаточной пластичностью для удобной лепки и формовки; 2) быть настолько огнеупорным, чтобы изделия не деформировались при спекании и остекловании весьма тугоплавкой глазури (1300—1400°); 3) после обжига на большом огне приобретать наибольшую прозрачность и белизну с весьма лишь легким желтоватым оттенком. Из всех видов глин этим требованиям удовлетворяет только каолин. В технике разумеется не природный каолин, как он находится в залежах, а каолин, уже отобранный и отмученный водою, т. е. как заводский материал. Чистым каолином называется такой, который содержит не более 5—6% кремнезема в виде кварца и песка и около 1% щелочей; до такой чистоты каолин доводится отмучиванием и в этом виде представляет жирный на ощупь белый порошок, иногда с легким сероватым, желтоватым или красноватым оттенком. Сорта каолина, смотря по количеству подмесей, носят различные названия; так, при содержании около 5% щелочей, которые входят в него в виде полевого шпата и слюды, каолин носит название щелочного; при содержании окиси железа в 2% и более — железистого, когда подмесь кварца достигает около 2% — кремнеземистого. Такие каолины идут на низшие сорта изделий, если не считается выгодным подвергнуть их отмучиванию для освобождения от излишнего количества подмесей кварца и полевого шпата. При этом надо заметить, что каолины, содержащие более 1,3% окиси железа (Зегер, 1879), не могут быть употреблены на высшие сорта Ф., так как отмучиванием освобождение от окиси железа не достигается. При содержании окиси железа около 2% череп получает зеленовато-голубой оттенок от образования двойного кремнеземистого соединения закиси железа и кали, что для хорошего Ф. считается нетерпимым. Сравнительно незначительные колебания в составе каолина уже имеют важные последствия в применении к делу. Необходим рациональный анализ каолина, при котором каолин расчленяется по своему строению, т. е. на кварц, песок, полевой пшат, слюду и др. и на каолинит (Seger, "Gesammelte Schrifte", Б., 1896). Такое знание состава служит точкою исхода и направлением при испытаниях на пластичность и пробных обжигах составленного теста с плавнями и противопластичными веществами (кварц, полевой шпат, пегматит, углеизвестковая соль [мел], бой фарфорового бисквита и др.).
Нижеследующая таблица представляет состав сырого теста твердого Ф. более известных заводов, по исследованиям Зегера
|
Кремнезем |
Глинозем |
Окись железа |
Известь |
Магнезия |
Кали |
Натр |
Вода |
Углекислота | |
| 1. Севр, сервизное фарф. тесто |
52,94 |
28,91 |
0,48 |
3,99 |
0,17 |
1,70 |
0,68 |
9,12 |
2,48 |
| 2. Лимож, I. Pouyat, высшего сорта |
64,28 |
23,49 |
0,87 |
1,77 |
следы |
1,11 |
3,07 |
5,48 |
0,69 |
| 3. То же, обыкновенное тесто |
64,52 |
22,07 |
0,97 |
2,10 |
следы |
1,35 |
3,13 |
5,60 |
0,57 |
| 4. Лимож, L. Sazerat, высшего сорта |
64,32 |
23,64 |
0,83 |
0,86 |
следы |
2,66 |
1,82 |
5,98 |
— |
| 5. То же, обыкновенное тесто |
60,42 |
26,47 |
0,52 |
1,37 |
— |
2,75 |
1,60 |
7,19 |
— |
| 6. То же, тесто тяжелого Ф. |
60,53 |
26,37 |
0,75 |
0,69 |
следы |
2,95 |
1,44 |
6,39 |
— |
| 7. Лимож, Gu é rin et C-ie, высший сорт |
65,61 |
23,07 |
0,65 |
0,80 |
следы |
2,94 |
2,72 |
4,50 |
— |
| 8. То же, обыкновенное тесто |
66,00 |
22,59 |
0,36 |
1,68 |
— |
2,71 |
1,80 |
5,59 |
— |
| 9. То же, для лепки фигур |
65,79 |
23,51 |
0,31 |
1,59 |
— |
2,01 |
1,73 |
5,89 |
— |
| 10. Виерзон, высший сорт и тяжелое фарфор. тесто |
66,97 |
20,92 |
0,64 |
2,06 |
следы |
2,75 |
0,41 |
5,43 |
— |
| 11. Галь (Бельгия) |
63,48 |
25,00 |
0,51 |
1,06 |
— |
2,26 |
0,19 |
6,76 |
— |
| Галь, тяжелое фарф. тесто |
63,95 |
25,59 |
0,69 |
следы |
0,54 |
2,07 |
0,98 |
6,62 |
— |
| 12. Берлин, сервизное фарф. тесто |
63,07 |
24,67 |
0,59 |
— |
0,40 |
4,25 |
7,00 |
— |
|
| 13. Карлсбад |
66,78 |
22,70 |
0,55 |
0,97 |
следы |
1,07 |
1,51 |
6,07 |
0,55 |
| 14. То же |
65,17 |
23,63 |
0,51 |
1,09 |
следы |
2,92 |
0,90 |
5,98 |
0,70 |
| 15. Японский Ф. |
74,53 |
16,09 |
1,03 |
0,06 |
0,25 |
4,37 |
1,19 |
2,83 |
— |
| 16. То же |
71,31 |
19,74 |
0,73 |
0,17 |
— |
4,04 |
0,10 |
4,01 |
— |
| 17. То же |
71,60 |
18,71 |
1,19 |
следы |
— |
4,16 |
0,18 |
4,68 |
— |
| 18. Китайский Ф. |
69,00 |
23,60 |
1,20 |
0,30 |
— |
3,30 |
2,90 |
Обожжен. тесто. Анализы других авторов |
|
| 19. То же |
70,00 |
22,20 |
1,30 |
0,80 |
— |
3,60 |
2,70 |
||
| 20. То же |
73,30 |
19,30 |
2,00 |
0,60 |
— |
2,50 |
2,30 |
||
Если соединить сходственные по составу массы, что будет в то же время отвечать и сходству свойств, то мы получим четыре характерные группы (E. Bourry, 1897) следующего состава:
|
Кремнезем |
Глинозем |
Окись железа |
Известь |
Кали |
Натр |
|
|
1. |
59,6 |
32,6 |
0,6 |
4,5 |
2,0 |
0,7 |
|
2. |
67,8 |
26,7 |
0,7 |
0,8 |
2,9 |
1,1 |
|
3. |
69,1 |
24,0 |
0,7 |
1,6 |
2,3 |
2,3 |
|
4. |
75,5 |
19,0 |
1,0 |
— |
4,3 |
0,6 |
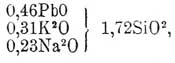
Для большей наглядности можно представить эти 4 типа в виде следующей формулы, в которой КО означает плавни, R 2O3 глинозем и окись железа, SiO 2 кремнезем и количество R 2O3 принято за единицу. 1-й тип, севрский Ф., выразится формулою: 0,35RO, R 2O3, 3SiO2; если включить в ту же группу сходные с ним мейссенские и венские фарфоры, то формула несколько изменится и представится в виде: 0,30—35 RO, R 2O3; 2,8—3,5 SiO2. 2 -й тип заключает в себе некоторые массы теста из Лиможа и Виepзона, галльский, берлинский и карлсбадский Ф. Формула их следующая: 0,20—0,30 RO, R 2O3; 4,2—4,8 SiO2. 3 -й тип, соответствующий тесту высшего качества в Лиможе: 0,40—0,45 RO, R 2O3; 4,8—5,3 SiO2. 4 -й тип — китайский и японский Ф.; из них первый представляется формулою: 0,40—0,45 RO, R 2O3; 5,5—6,0 SiO2, второй — формулою: 0,30—0,40 RO, R 2O3, 6,2—7,4 SiO2. Группы расположены здесь по своей огнеупорности в таком порядке, что севрский Ф. со схожими с ним массами является самым огнеупорным, плавкость его определяется № 15-м пироскопа Зегера, что приблизительно соответствует 1430° Ц., а китайский № 12-му пироскопа, что отвечает 1370° Ц. (M. Vogt). Принимая в расчет аналитические данные Зегера, можно с некоторым приближением составить себе представление о составе фарфорового теста в следующем виде:
|
Углекислая известь |
Часть, разлагаемая серной кислотой |
Часть, не разлагаемая серной кислотой |
|||
|
Каолинит |
Пылевая слюда |
Кварц |
Полевой шпат |
||
|
1 группа |
6,47 |
59,80 |
6,57 |
12,05 |
15,11 |
|
2 группа |
— |
48,89 |
6,28 |
24,28 |
20,49 |
|
3 группа |
— |
40,99 |
4,13 |
23,87 |
31,11 |
|
4 группа |
— |
33,13 |
9,56 |
42,60 |
14,71 |
Содержание извести во 2-й, 3-й и 4-й группах по незначительности не принято в соображение. Представленные выводы хотя и не могут вполне точно отвечать всем видоизменениям в составе теста для твердого Ф. сообразно требованиям формовки (пластичность), известным условиям обжига и, наконец, — качествам сырого материала, имеющегося под руками, но, во всяком случае, могут с пользою служить как руководящее начало при составлении фарфоровой массы. Тесто фарфоровой массы значительно менее пластично, чем масса других видов глиняных изделий, вследствие малой пластичности каолина, а потому формовка фарфоровых изделий представляет некоторые трудности. Для улучшения качеств фарфорового теста его подвергают более продолжительному вылеживанию с гноением и усиленному мятью (см. Фаянс); с тою же целью иногда заменяют частью каолин пластичною белою глиной, но эта последняя ухудшает достоинство массы, сообщая ей окрашивание и действуя в ущерб прозрачности. По исследованиям Фогта, Земятченского и др., подмесь к каолину пылеобразной слюды увеличивает пластичность каолина, ибо слюда, приведенная в неосязаемый по тонкости порошок, может давать связное тесто с водою; этим объясняется то, что тесто китайских и японских фарфоров пластичнее европейских, так как восточные каолины содержат до 20—25% пылевой слюды, между тем как европейские — всего до 10%.
Состав и свойства глазури. Глазури для твердого Ф. представляют кремнеглиноземистые соединения щелочей (кали и натр) и щелочноземельных окислов — по преимуществу извести, следовательно, по составу глазури совершенно подобны тугоплавкому, глиноземсодержащему стеклу. Глазури, в составе которых количество извести преобладает над щелочами, почитаются за известковые, в противном случае они называются полевошпатовыми или щелочными. Щелочные глазури наносятся на поверхность более толстым слоем, чем известковые, и при этом не обладают такой прозрачностью, как последние, но ввиду того, что щелочная глазурь сообщает поверхности черепа более приятный и мягкий (бархатистый) блеск, она предпочитается известковой, хотя эта последняя лучше проникает в массу черепа и, след., соединяется с ним прочнее. При обжиге Ф. спекание массы черепа происходит одновременно с плавлением глазури в отличие от обжига фаянсов (см.); поэтому для техники является нелегкою задачею согласовать состав черепа и состав глазури с известной температурой обжига. В прилагаемой таблице можно видеть несколько примеров состава глазурей более известных заводов и составить себе понятие о соотношениях между кремнеземом-глиноземом и плавнями (1-й анализ Фогта, остальные Зегера):
|
Кремнезем |
Глинозем |
Окись железа |
Известь |
Магнезия |
Кали |
Натр |
Потеря от прокаливания и пр. |
|
| 1. Пегматит, употребляемый в Севре |
70,64 |
16,87 |
0,73 |
1,31 |
0,20 |
4,22 |
4,97 |
0,34 |
| 2. Пегматит, употребляемый в Лиможе |
76,11 |
14,61 |
0,66 |
1,44 |
0,42 |
2,99 |
3,03 |
1,23 |
| 3. То же |
75,99 |
14,80 |
0,37 |
1,09 |
0,36 |
4,31 |
3,49 |
0,65 |
| 4. Глазурь берлинской мануфактуры. |
73,24 |
13,97 |
0,31 |
2,57 |
0,51 |
4,81 |
1,71 |
3,83 |
| 5. Глазурь японская |
61,97 |
12,92 |
0,39 |
9,59 |
Следы |
4,17 |
1,12 |
10,21 |
| 6. То же |
64,96 |
12,74 |
0,80 |
8,78 |
Следы |
1,95 |
2,30 |
9,35 |
| 7. Глазурь китайская, светло-зеленая |
64,80 |
14,33 |
1,39 |
10,09 |
1,55 |
5,61 |
0,81 |
1,39 |
Незначительное количество фосфорной кислоты в японской глазури (от 0,16—0,3) и титановой — в китайской не принято в соображение.
Первые четыре глазури принадлежат к щелочным, или полевошпатовым, остальные — к известковым; эти последние (восточные) приготовляются из горной породы, сходной с пегматитом, которая, будучи тонко измельчена, смешивается с известковым молоком (E. Bourry, 1897). Чтобы яснее видеть соотношение плавней с кремнеземом и глиноземом, примем количество глинозема R 2O3 за единицу, а к плавням RО отнесем сумму щелочей, щелочных земель и окиси железа, тогда отношение этих окислов к кремнезему SiO 2 выразится следующими формулами:
|
1. |
0,93 |
RO |
R2O3 |
6,96 |
SiO2 |
|
2. |
0,81 |
RO |
R2O3 |
8,74 |
SiO2 |
|
3. |
0,89 |
RO |
R2O3 |
8,55 |
SiO2 |
|
4. |
1,00 |
RO |
R2O3 |
8,91 |
SiO2 |
|
5. |
1,82 |
RO |
R2O3 |
8,04 |
SiO2 |
|
6. |
1,69 |
RO |
R2O3 |
8,54 |
SiO2 |
|
7. |
1,92 |
RO |
R2O3 |
7,35 |
SiO2 |
Формулы глазурей расположены по относительной плавкости, под теми же номерами, как и анализы, причем № 1-й — самый трудноплавкий, что понятно из того, что количество плавней в последних трех почти вдвое более предыдущих. Отсюда также мы видим, что китайская и японская фарфоровая масса плавится при несколько низшей температуре, чем европейский твердый Ф. Во Франции почти повсюду для глазури употребляется выветрившийся пегматит из Saint-Irieux; в таком состоянии он представляется смесью полевого шпата, кварца и каолина; в известных случаях для исправления степени его плавкости прибавляют некоторое количество кварца. Глазури, составленные смешением кварца, каолина, мела и проч., употребляются в России, Германии и Австрии, где часто можно встретить употребление известковой глазури, как в Китае и Японии. Помещаем несколько примеров (восточные приведены ранее) такого сорта глазурей по Прёсселю (Pr össel):
| Кварца |
34,5 |
32,0 |
27,0 |
50,0 |
44,0 |
| Каолина |
9,5 |
7,0 |
8,0 |
37,5 |
30,0 |
| Полевого шпата |
32,5 |
37,0 |
32,0 |
— |
— |
| Углеизвестковой соли (мел) |
12,0 |
11,0 |
16,5 |
12,5 |
— |
| Серно-известковой соли (гипс) |
— |
— |
— |
— |
13,5 |
| Боя фарфорового бисквита |
11,5 |
13,0 |
16,5 |
— |
12,5 |
(См. также статью Глазурь).
Приготовление фарфорового теста и заминки. По предварительной отборке сырые материалы подвергаются измельчению перемалыванием с водою. Отмеривание составных частей теста производится или в сухом виде с последующим за тем перемалыванием, как это производится в Лиможе, или составные части, предварительно смолотые с водою — каждая в отдельности, сливаются и смешиваются в виде густой жидкости (см. Фаянс). Каков бы ни был способ измельчения и отмеривания, готовое жидкое тесто тщательно процеживается через сито и в некоторых случаях подвергается очищению от содержащейся в нем окиси железа (электромагнитами) и, наконец, уплотнению в фильтр-прессах (см. Фаянс). Перед формованием уплотненное тесто скатывается в комья или вальки и подвергается вылеживанию и гноению довольно продолжительное время в сыром месте. Затем перед самым формованием тесто замачивается водою, если оно недостаточно влажно, и заминается на бороздчатых бегунах или в машине Фора и затем валяется вручную (см. Фаянс).
Разделка теста на изделия, или формовка, ввиду малой пластичности массы для твердого Ф. представляет большие трудности. Кроме того, фарфоровые изделия при обжиге до температуры спекания массы находятся в размягченном состоянии, отчего стенки изделий под давлением собственной тяжести легко оседают; вследствие этого приходится придавать различную толщину частям изделия, увеличивая ее в тех местах, на которые изделия опираются при установке в печь, и уменьшая в свободных. Затем, весьма важное обстоятельство представляет однообразная плотность массы черепа. Очевидно, что при неравномерности ее стенки изделия при размягчении будут садиться более в менее плотных частях, и наоборот, отчего произойдет искривление приданной формы. Одинаковость плотности массы достигается тщательным и продолжительным заминанием массы теста и приемами формования, при которых избегается неравномерное давление на стенки изделия, чтобы не произвести уплотнение массы в одном месте более, чем в другом. Приемы формования твердого Ф. в общем одинаковы с формованием полевошпатового тонкого фаянса (см.), а потому здесь ограничимся лишь несколькими краткими замечаниями, относящимися исключительно к твердому Ф. Ручная формовка в гипсовых формах требует особенно тщательной подготовки массы в виде пластин соответствующей толщины и прочих размеров для заполнения всех изгибов во внутренности гипсовой формы. Такие заготовки, во избежание разрывов, вследствие малой пластичности теста, при переносе их в форму, готовятся на полотняной или кожаной подстилке. По наложении пластины на форму полотно или кожа отделяются, и затем осторожным надавливанием мокрой губкой форма окончательно заполняется. По высыхании изделия и извлечении его формовку дополняют отделкой, при чем удаляют наплывы (пена) от швов при разъемной сложной форме. Ручное точение на вращающихся гончарных станках имеет ту особенность, что при малой пластичности теста стенки изделий не могут быть разделаны до надлежащей тонины (очевидно, в этом случае могут быть редкие исключения) и почти всегда делаются толще для устойчивости при вращении, что изменяет очертания поверхностей; вследствие этого для придания надлежащей формы изделие высушивается до приобретения им достаточной твердости, чтобы возможно было затем подвергнуть его дополнительной обработке. Вторичное точение производится как на обыкновенных вертикальных станках с ножным или механическим приводом, так и на горизонтальных, подобных токарному станку для дерева и металлов. Для точения служат стальные инструменты, подобные токарным долотам, с острыми лезвиями различного вида. При вторичной обработке наблюдается, чтобы поверхность предмета была надлежащей влажности, ибо слишком сухое изделие делается хрупким, а потому его по мере надобности увлажняют губкой. Обработка заканчивается полировкой стальными или роговыми пластинками. Разделка на вращающихся станках с помощью формы и калибера отличается от формовки тонкого фаянса (см.) только тем, что всегда ей предшествует заготовка на станках предварительных пластов для наполнения формы и точения посредством калибера для более открытых изделий. Для полых и глубоких изделий заготовки принимают вид, соответствующий глубине полости, в роде колпака (housse), причем им необходимо придавать весьма правильную форму со сглаженной поверхностью. Для окончательной отделки поверхности изделий во многих случаях прибегают к вторичной обработке после достаточной просушки (см. выше). Для выделки плоских открытых изделий (тарелок и т. п.) пользуются также механическим способом разделки, устроенным впервые Фором (Faure) в Лиможе. При этом способе изделие разделывается в четыре приема: 1) формование предварительной пластины (croute); 2) центрирование пластины на гипсовой форме; 3) разделка наружной поверхности посредством калибера; 4) закругление и сглаживание краев посуды. Производительность по способу Фора достигает 60 тарелок в час. Формовка на вращающихся станках c калибером — употребительнейший способ для выделки фарфоровых изделий. Формовка отливкою жидкого теста. Выделку очень тонкостенных фарфоровых изделий, узкогорлых длинных сосудов, реторт и проч. по неустойчивости и хрупкости массы почти невозможно производить на вращающихся станках. Способ отливки жидкого теста описан в ст. Фаянс; применение его к Ф. не представляет никаких особенностей.
Сушка отформованного твердого Ф. производится почти исключительно в формовочных мастерских на полках, отапливаемых обыкновенными способами, или в сушильных аппаратах (см. Фаянс).
Нанесение глазури на поверхность изделий имеет ту особенность, что высушенные изделия с целью укрепить массу черепа и дать ему надлежащую пористость подвергаются слабому обжигу, приблизительно ок. 800° Ц.; обжиг этот надо считать скорее за продолжение сушки, так как некоторые изделия могут быть политы глазурью и без употребления этого приема. Предварительный обжиг производится, пользуясь теряющимся теплом в верхнем ярусе фарфорообжигательной печи, и должен быть произведен лишь в такой степени, чтобы сообщить черепу надлежащую крепость; слишком сильный обжиг уменьшает пористость поверхности и может сделать череп мало способным к принятию глазури. Для предохранения изделий при слабом обжиге от копоти и золы — пользуются муфелями или так наз. капселями (см. ниже); укладка изделий в капселя не представляет особых затруднений, так как масса черепа остается во время обжига в твердом и пористом состоянии (см. Фаянс). Глазурь для покрытия черепа при Ф. готовится таким же способом, как и при фаянсе (см.). Нанесению глазури должно предшествовать очищение поверхности черепа от пыли и проч. Изделия из твердого Ф. покрываются глазурью почти всегда способом погружения, только для очень тонких и хрупких изделий погружение заменяется опрыскиванием посредством пульверизатора. При погружении вещи берутся осторожно пальцами за те места, которые могут быть оставлены не покрытыми глазурью, или такие, которые могут быть после сделаны глазурью посредством кисти. В некоторых случаях для захватывания изделия применяют щипцы с острыми концами.
Обжиг. Лучшим топливом для обжига Ф. должно почитаться сухое дерево, дающее чистое длинное пламя, а потому оно и удерживается в настоящее время там, где это считается выгодным. Обжигание Ф. на каменном угле обходится дешевле; в настоящее время, с усовершенствованием устройства печей употребление угля сделалось почти повсеместным. На фиг. 1 представлена круглая двухъярусная печь, служащая для обжига твердого Ф. почти повсеместно в Германии, Лиможе, Копенгагене и др. местах.
Фиг. 1. Двухъярусная фарфорообжигательная печь на каменном угле.
Нижнее помещение печи (горн) служит для окончательного обжига Ф. на большом огне, верхняя камера, поставленная на его своде, — для обжига на малом огне перед покрытием изделий глазурью. Нижняя камера окружена несколькими топками, число которых изменяется от 3 до 8, смотря по размеру печей; для лучшего распределения теплоты предпочитают устраивать печи, внутренний диаметр которых не превышает 5—6 м при высоте нижней камеры почти равной диаметру и лучше немного меньшей; камера 2-го яруса строится меньшей емкости в силу того, что изделия при обжиге на малом огне занимают меньше места. Направление пути пламени из топок таково, что оно, поднявшись до свода, опрокидывается вниз и уходит в виде печных газов в несколько отверстий пода нижней камеры, затем боковыми ходами, проделанными в толще окружки, призывается тягою трубы во 2-й ярус, откуда через отверстия в своде выносится трубою на свободу. Заслуживающее внимания изменение устройства печей этого типа заключается в том, что назначение обоих ярусов получается обратное, т. е. верхняя камера служит для обжига на большом огне (горном), а нижняя для малого. Для этого топки переносятся к окружке верхнего яруса, и призыв печных газов на свободу производится боровом под подом нижней камеры, в отдельно стоящую трубу. Очевидно, что при таком устройстве печные газы в обеих камерах, поднявшись до свода, должны повернуть к поду, отчего они проходят более длинный путь в стойле печи, чем в первой описанной печи, а потому находятся в более выгодных условиях для передачи тепла капселям с изделиями. О печах непрерывного действия — см. Фаянс. Время обжига твердого Ф. продолжается между 18—36 и иногда до 40 часов, при обжиге на дровах он тянется до 48 час. С легкого подогревания печи, при чем изделия теряют заключающуюся в них влагу, до приблизительно 1200° ведение обжига не представляет особенных затруднений, но начиная с этой температуры обжиг ведется в восстановительной атмосфере газов (с целью перевести заключающуюся в массе Ф. окись железа в закись), при чем легко получается копоть, которая садится на глазурь и производит черноту. Кроме того, обжиг твердого Ф., как массы, размягчающейся на большом огне, вообще представляет значительно большие трудности, чем фаянс. Охлаждение ведется при том же состоянии атмосферы горна до затвердения глазури, после чего, именно ниже 800°, допускают некоторый избыток воздуха. Нагрузка фарфорообжигательной печи (фиг. 2 и 3) ведется так же, как и для полевошпатового фаянса (см.).
Фиг. 2. Круглый капсель С и C'. Выступы t для подвешивания глубокой подставки S с кружком r для установки изделия а (чашка).
Фиг. 3. Фарфоровый горн с капселями, поставленными один на другой в штабеля (стопами). Р — прямоугольный капсель с фарфоровым пластом. С — выходы пламени от топок, а, g — подпорки для капселей.
Вследствие более высокой температуры при обжиге Ф. для капселей требуется более огнеупорная глина, а способность Ф. размягчаться во время большого огня вызывает устройство в капселях особых приспособлений для отдельной установки каждой вещи (см. Фаянс). Вообще, установка Ф. для обжига требует большой опытности, как для выигрыша места, так и для самого успеха обжига.
Украшение твердого Ф. Для окрашивания массы черепа могут быть применены лишь немногие окислы металлов вследствие высокой температуры обжига, при которой большинство окислов улетучивается; поэтому окрашивание массы не представляет большого разнообразия. Синее окрашивание достигается окислами кобальта, серое — окисью иридия, буроватые оттенки — хромово-железной солью и окислами марганца и проч. Самое редкое окрашивание как массы, так и под глазурью и на глазури большого огня представляет желтый цвет, достигаемый китайцами и японцами неизвестным способом (предположительно — соединениями урана). Окрашивание под глазурью делается теми же красками, как и окрашивание массы, смешивая их предварительно с фарфоровым тестом; такого рода краски наносятся на сырой череп перед обжигом в капселях. Окрашивание по глазури в большом огне мало распространено. Оно разработано Пейрюсоном (Peyrusson). Для производства этого окрашивания необходим второй обжиг в капселях. Краски большого огня состоят из окрашивающих окислов и флюса (плавня); последний есть не что иное, как глазурь, более или менее измененная для согласования с глазурью, на которую наносятся краски. К окрашивающим окислам, выдерживающим температуру обжига, относятся окислы кобальта, железа, хрома, урана, титана, иридия. Окрашивание по глазури в муфельном огне имеет большое применение для украшения Ф. — орнаментом и живописью. Краски состоят, как и в предыдущем случае, из окрашивающих окислов и флюса. Флюс для муфельных красок составляется на свинцовом основании и принадлежит к легкоплавким силикатам; вследствие этого краски, составленные на этом флюсе, представляют большое разнообразие по оттенку цветов. Возможность получать почти все желаемые тона и сравнительная легкость обжига в муфелях делают этот способ почти исключительным для украшения столовой посуды, ваз и т. п. предметов. К этому же роду украшений, достигаемых обжигом в муфелях, относится: золочение серебрение и платинирование (см. Salv état, "Complé ment de la 3-me editions du Dictionnaire des Arts et Manufactures", Ch. Laboulaye, 1868; см. Глазурь).
2.) Твердый Ф. как архитектурное украшение весьма редко употребляется в настоящее время ввиду дороговизны массы и по трудности исполнения предметов значительной толщины; все применение его ограничивается приготовлением облицовочных плиток и некоторых мелких скульптурных украшений. Китайцы издавна применяли Ф. к строительному делу не только как украшение, но и для постройки стен, о чем свидетельствует фарфоровая башня в Нанкине, воздвигнутая во времена династии Тай-Ионг-Юэн (954—1368).
3) Состав массы твердого Ф. сравнительно с употребляемой для сервизов несколько изменяется при требовании особой устойчивости и твердости изделий, где прозрачность и изящный внешний вид поверхности не имеют особенного значения. К такого рода изделиям относится лабораторная и заводская посуда (выпарительные чашки, тигли, реторты, трубы и проч.), которая по роду своего назначения может подвергаться относительно сильному нагреванию и должна выдерживать внезапные перемены температуры; изменение в составе теста характеризуется увеличением количества глинозема относительно кремнезема и употреблением более пластичных каолинов (глинистых) или заменою их частью высокими сортами пластичной белой и огнеупорной глины. При формовке этих изделий часто применяется способ отливки — для тонкостенных и узкогорлых сосудов (тигли, реторты). Для показания химического состава и отношения окислов приводим анализ фарфоровой массы известного завода Байе (Bayeyx): кремнезема — 61,61%, глинозема — 30,01%, окиси железа — 1,56%, извести — 3,56%, кали — 3,26%. По устойчивости и прочности такого рода изделий славятся также немецкие заводы — в Мейссене (Саксония) и Берлинская мануфактура; химическая посуда этих заводов по преимуществу употребляется в России. Масса твердого Ф., измененная на тех же основаниях, применяется в производстве приспособлений для электрической канализации, напр. изоляторов при телеграфных проводах и в других случаях, где можно пользоваться непроводимостью Ф. для электрического тока. Изделия этого рода по форме своей и толщине стенок требуют иного способа разделки, чем сервизный Ф. Формовка производится приготовлением заготовок соответствующего вида из средней мягкости теста в формах и последующего за тем прессования достаточно окрепшей массы в сильных ударных прессах; последняя операция соответствует поджиму для облицовочного строительного кирпича. По обжигании изделия этого рода подвергаются подправке на шлифовальных кругах (вращающихся) в тех местах, где требуется точность размеров и чистота отделки, напр. при винтовых нарезках. При требовании особой твердости и сопротивления удару весьма часто пользуются применением твердого Ф. упомянутого состава; при этом усиливают устойчивость черепа изделий уплотнением при формовке посредством сильного давления гидравлическим прессом. К такого рода изделиям относятся плитки для выстилки трущихся поверхностей в шаровых мельницах, в цилиндре Альсинга и др., где, помимо твердости, требуется предохранить измельчаемый материал от ввода вредных примесей железа и его окислов, напр. при приготовлении фаянсового и фарфорового теста; в последнее время они применяются также для облицовки мукомольных валков. Обжигание такого рода Ф. не отличается ничем от предыдущего, последующая же за тем подправка при монтировании приборов по значительной твердости черепа уже не может быть произведена песком или наждаком на вращающихся кругах, так как не поддается действию этих веществ, а потому производится алмазом, вправленным в особо устроенный инструмент.
4) Фарфоровый бисквит имеет матовую, слегка пористую поверхность, отчего получает весьма приятный внешний вид, оттеняющий более резко наружные очертания предмета, что при обыкновенном глазурованном твердом Ф. частью скрадывается блестящими пятнами (бликами) отраженного света. Всякое тесто твердого Ф., не крытое по отформовке глазурью, после обжига дает бисквитную массу. При этом надо заметить, что обжиг, не представляющий ничего особого от обыкновенного, должен быть веден таким образом, чтобы поверхность изделия не оплавилась даже и на выдающихся тонких частях (углах, острых закруглениях и др.); если это произошло, то изделие получает неприятный жирный лоск. Во всяком случае, для успешного получения хорошего бисквита приготовляют тесто, которое должно быть несколько пластичнее обыкновенного, так как оно служит для лепки преимущественно фигур и разных украшений, имеющих весьма тонкие очертания и нежные, хрупкие выдающиеся части. Особенно привлекательным тоном издавна славится севрский бисквит. По Зегеру, масса для бисквита в подражание севрскому приготовляется по следующему рецепту: каолина из Цетлица — 54; норвежского полевого шпата — 45; мрамора — 1; 70% этой массы в сыром виде смешивается с 30% той же массы, но только в обожженном состоянии до прокаливания. Обжигание изделий из теста Зегера должно быть произведено приблизительно при 1310° Ц. Б. Мягкий Ф. представляет несколько разновидностей, весьма различных по составу и другим особенностям, но сходных по относительно слабой степени обжига, меньшей твердости черепа сравнительно с предыдущим видом Ф., а также и относительно меньшей твердости глазури.
Мягкий, или европейский, Ф. с просвечивающим черепом представляет подражание китайскому (восточному) твердому Ф. Начало приготовления мягкого Ф. относится к ХVI стол. в Италии, первоначально в Венеции, а затем и в других городах. Во Флоренции (около 1574 г.) Франческо Медичи устроил у себя мастерскую для приготовления Ф., в производстве которого участвовал лично; немногочисленные экземпляры изделий из этого Ф., сохранившиеся до настоящего времени, носят название Ф. Медичи; к сожалению, состав их массы неизвестен. До конца ХVII стол. производство Ф. носит более лабораторный характер, чем заводской, хотя флорентийская мастерская Медичи просуществовала около двадцати лет. Заводское производство стало развиваться во Франции в конце ХVII стол., с тех пор, как в Руане была взята привилегия Людовиком Потера (16 90) на изобретение Ф. с просвечивающим черепом. После первоначальных неудач заводского приготовления Ф. Потера дело это начинает пользоваться большим успехом на заводе бр. Шиканно в Сен-Клу (1690) и затем в первой половине XVIII стол. на заводах в Сент-Амане, Менесси, Ссо и др. В половине XVIII ст. основывается известный завод в Севре, переведенный из Венсенна. Французский старый мягкий Ф., pâte tendre, или фриттовый, по составу массы не походит на восточный твердый Ф., так как не содержит коренной составной части его — каолина, употребление которого для приготовления Ф. в то время было еще неизвестно. Способ приготовления твердого белого Ф. был открыт Бёттигером только в 1709 г. в Саксонии (Мейссен). P â te tendre по составу его скорее можно отнести к тугоплавкому глиноземному стеклу, обожженному до спекания, но не доведенному до температуры полного плавления. С тех пор как стало известно употребление каолина в производстве Ф., французский мягкий Ф. не выделывается, хотя по временам делаются новые попытки к возобновлению этого производства.
Состав французского мягкого Ф. может быть выражен приблизительно формулой:
При сравнении этого состава с составом зеркального стекла
почти полное их сходство очевидно. Из различных заводских составов теста для мягкого Ф. укажем более известный. Сначала приготовлялся первач (фритта) из 60 частей песку из Фонтенебло, 22 ч. селитры, 7,2 ч. морской соли, 3,6 квасцов, 3,6 аликантской соды и 3,6 монмартрского гипса. Смесь эта прокаливалась до достаточного спекания в кусочки (первоначальное стеклование), отбиралась и измельчалась в порошок. От 90 до 75 частей такого первача смешивалось с 10—8 ч. аржантейльского мергеля, предварительно хорошо отмученного, и 20—17 ч. белого мела, затем все подвергалось перемалыванию с водою до весьма тонкого состояния, отстаивалось для удаления излишней воды и высушивалось. Перед формованием полученное весьма малопластичное тесто для придания ему связности смешивалось с раствором зеленого мыла и пергаментного клея, впоследствии замененного трагантовой камедью. Разделка теста на изделия по преимуществу производилась в гипсовых формах. По высыхании изделия подвергались вторичной обработке для окончательной отделки на вращающихся станках и от руки, так как малопластичное тесто этого Ф. надлежаще тонкой разделки при прессовании в формах не допускало еще в большей мере, чем тесто для твердого Ф. Состав глазури, в основании своем свинцовой, как и полива для обыкновенных фаянсов, может быть выражен, соответственно данному составу теста, формулой:
что соответствует приблизительно следующей смеси: песка из Фонтенебло 27 ч., глёта (окись свинца) 38 ч., прокаленного молотого кремня 11 ч, поташа 15 ч., соды 9 ч. Обжиг мягкого Ф. отличается от обжига твердого Ф. и несколько схож с фаянсовым и так же, как этот последний, производится за два раза; первый, для окончательного образования твердого черепа, при более высокой температуре (ок. 1200°), чем второй, служащий для закрепления и стеклования глазури. Первый обжиг, при котором происходит значительная усадка изделий (с лишком 14% вместе с незначительной сравнительно усадкой от высушивания) при размягчении спекающейся массы, приводит к еще большим трудностям при установке изделий в капселях, чем при обжиге твердого Ф. Французский Ф. по непрочности своей массы, мягкости черепа и глазури более пригоден для художественных изделий; в этом отношении он обладает превосходными качествами. Вследствие того, что обжиг производится при низшей температуре, чем для твердого Ф., может быть употреблено для окрашивания большее число окислов металлов, которые вследствие плавкости и обилия щелочей в глазури приобретают большую силу по яркости и глубине тонов. Особенной привлекательностью для знатоков служат кобальтовые синие окраски севрского p âte te ndre под названием bleu du roi, бирюзовые (щелочно-медный силикат, turquoise), розовый (rose Pompadour) и многие другие, чего невозможно произвести с тугоплавкой и сравнительно менее прозрачной глазурью твердого Ф. Изыскивая способы получения окрасок, особенно бирюзового цвета, подобных старому мягкому Ф., с улучшением массы черепа севрская мануфактура изготовила и выставила в 1884 г. изделия, которые получили название "нового севрского Ф.". Состав массы этого Ф. приближается к p â te tendre, но с несколько большим количеством извести относительно щелочей и глинозема с кремнеземом относительно плавней, что видно из формулы:
Тесто этого Ф. несколько пластичнее вследствие того, что вместо мергеля употребляется пластичная глина из Дрё. Глазурь нового Ф. имеет коренное отличие от предыдущей, ибо не заключает в себе свинца и представляет щелочно-известковый силикат с содержанием глинозема. Первый обжиг для сформирования черепа ведется около № 9 пироскопа Зегера (1310° Ц.), что дает возможность удержать надлежащие окраски (Lauth et Dutailly, "Recherches sur. la porcelaine").
Мягкий каолиновый Ф. Зегера. В 1886 г. Берлинская мануфактура выпустила в обращение мягкий Ф., приготовленный Зегером. Зегер имел целью по возможности приблизиться к составу и свойствам японского Ф., который по разнообразию и качествам окраски превосходит во многих случаях европейский твердый Ф. Состав массы Ф. Зегера выражается следующей формулой: 0,38RO, R 2O3, 7,7SiO2. Он почти тождествен с составом японского фарфора. Состав теста, на котором основывается данная формула, следующий:
| Пластичной глины (L öthainer Thon) |
31,0 |
15,5 |
15,5 |
| Каолина (Zettlitz) |
— |
— |
13,0 |
| Каолина (Sennewitz) |
— |
19,0 |
— |
| Полевого шпата |
30,0 |
30,0 |
30,0 |
| Песка (Hohenbock) |
39,0 |
85,5 |
41,5 |
Получается достаточно пластичное тесто, допускающее удобную формовку. Пластическая глина (L ö thainer Thon) coдержит чистой глины 81%, каолин (Zettlitz) 97%, каолин (Sennewitz) 65%, остальное во всех песок. Глазурь соответствует составу:
и составляется так: песку — 27,3 или 21,0; каолина (Zettlitz) 13,0 в 1-й состав, а во 2-й каолина (Sennewitz) 19,2; полевого шпата по 42,1 в оба и мрамора по 17,7. Обжиг ведется подобно твердому Ф.: предварительный — на слабом огне, а второй — на большом, при плавлении № 9 пироскопа Зегера (1 310° Ц.), одинаково с новым севрским Ф., что при слабости его черепа дает право причислить его к мягкому Ф. Хотя по химическому составу Ф. Зегера вполне соответствует японскому, но по качествам своим уступает последнему, именно по цвету, впадающему в желтоватый оттенок, меньшей прозрачности и твердости, а также большей хрупкости (Seger's "Gesammelte Schriften", Б., 1896). Окрашивается так же хорошо, как и японский Ф., и годен по преимуществу для производства предметов украшения.
Английский мягкий, или костяной, Ф. Отличительною особенностью этого Ф. является употребление в состав теста значительного количества пережженных костей, для чего предпочитаются кости рогатого скота. Костяной Ф. почти исключительно производится в Англии и настолько там распространен, что ограничил развитие производства твердого Ф., выделкой которого в Англии занимаются очень немногие заводы; это частью надо приписать дешевизне костяного Ф. По твердости черепа, плавкости массы и глазури костяной Ф. стоит выше мягкого французского, но уступает в этом отношении твердому Ф., что и служит главным препятствием к распространению его на континенте, так как он довольно скоро изнашивается при употреблении в виде столовых сервизов. По внешнему виду он при посредственной прозрачности отличается нежностью слегка желтоватого белого цвета, напоминающего гипс, воспринимает лучше, чем твердый Ф., окраску в массе и на поверхности вследствие того, что обжигается при более низкой температуре и кроется свинцовою поливою. Костяной Ф. пригоден на выделку весьма разнообразных предметов, кроме требующих значительной прочности, как лабораторная и кухонная посуда. Из весьма большого разнообразия в отношениях составных частей теста английского фарфора и глазури ниже помещены составы, сообщаемые Прёсселем. Составление теста предшествует заготовление первача (фритты), который способствует однородности состава.
| Каолина |
30 |
28 |
23 |
30 |
| Пегматита |
18 |
30 |
27 |
7 |
| Пластичной глины |
— |
— |
— |
4 |
| Кварца |
— |
— |
— |
3 |
| Жженой кости |
47 |
41 |
46 |
50 |
| Первача (фритты) |
— |
— |
3 |
6 |
Первач: пегматита — 56 или 60, кварца — 20 или 30; соды (в первый состав) — 8, буры — 8 или 10; окиси цинка (во второй состав) — 8. Жженые кости обезжириваются и обжигаются до получения совершенно белого пепла. Глазури по составу весьма близки к поливам полевошпатового фаянса (см.), т. е. представляют щелочно-борно-свинцовые соединения кремнезема, глинозема и извести.
| Первач: | каолина |
34 |
12 |
| пегматита |
— |
20 |
|
| кварца |
14 |
15 |
|
| мела |
18 |
18 |
|
| буры |
34 |
35 |
|
| Состав глазури: | первача |
70 |
65 |
| пегматита |
9 |
11 |
|
| кварца |
— |
11 |
|
| свинцовых белил |
21 |
13 |
По причине достаточной пластичности теста костяного Ф. он формуется на вращающихся станках и представляет не большие затруднения, чем тесто твердого Ф. Первый обжиг на бисквит производится в капселях, длится ок. 30—50 час. и по температуре почти одинаков с обжигом полевошпатового фаянса (см.), а потому часто обжигается с ним вместе. Второе обжигание на большом огне производится как при твердом Ф., но не представляет таких затруднений, так как второй обжиг с глазурью слабее и короче по времени. Способы окрашивания тождественны с употребляемыми для полевошпатового фаянса и Ф. прочих видов. Английский костяной Ф. начал производиться в середине XVIII стол. в Чельзи, потом Боу, Дерби, Сванси и Ворчестере. Завод в Ворчестере (Royal porcelan Works) славится производством очень тонких предметов роскоши, между которыми замечателен так назыв. ювелирный Ф. с эмалями и золочением.
Париан, особый вид англ. Ф. без глазури, или фарфоровый бисквит, выпущенный фирмой Копеланд. Париан предназначается для лепки фигур и других скульптурных украшений. Изделия из париана слегка желтоватого оттенка с нежным матовым блеском, напоминающим собою паросский мрамор, откуда и происходит его название. Масса теста для париана по преимуществу составляется из каолина и полевого шпата, последний под влиянием высокой температуры приходит в полурасплавленное состояние и сообщает массе молочно-белый оттенок. Пример состава теста массы, по Прёсселю: первач: каолина — 11, полевого шпата — 25, белого песка — 58, поташа — 6. Первач идет в количестве 15 ч. с следующей смесью: каолина — 39, полевого шпата — 39, флинтгласа (свинцовое стекло) — 6. Окрашивают париан под природные камни, напр. малахит, порфиры, лазоревый камень и пр. Малая пластичность теста затрудняет разделку на изделия, а потому часто прибегают к способу отливки в формы (см. выше твердый Ф.). Обжиг на большом огне производится при той же температуре, как и костяного Ф., и так как масса при этом размягчается, то для поддержки изделий требуются различные приспособления.
Мягкий полевошпатовый Ф. Под этим наименованием разумеется материал для мелких изделий, как пуговицы, подражания жемчугу, кораллам, в виде бус для ожерелий, камеи, кубики для мозаичного набора украшений и т. п. Производство это пущено в обращение Прёсселем в 1840 г., который употреблял для изделий этого вида сначала массу теста мягкого английского Ф., но впоследствии заменил ее смесью из полевого шпата и фосфорно-известковой соли, к которой для связности прибавляется какое-либо жирное вещество, которое при обжиге выгорает. Баптеросс (Bapterosse) ввел это производство во Франции и благодаря усовершенствованиям в качестве массы и механизмов почти вытеснил английские изделия этого рода с континента. Самое производство состоит в сортировке и очищении полевого шпата от окиси железа, растворении в серной кислоте, измельчении шпата с прибавкой жженых костей или мела в небольшом количестве и — для окрашивания — подходящих окислов металлов. Связность массе придается или прибавкой молока, или эмульсией казеина в растворе борной кислоты. Тесто прессуется в сильных ударных прессах с автоматичной подачей теста и удалением готового изделия. Короткий по времени обжиг производится в муфельных печах. Литературу Ф., кроме сообщенной в тексте, см. Фаянс. О фарфоровом производстве в России — см. Россия.
А. К. Крупский. Δ .
Живопись на Ф. производится двумя различными способами, смотря по тому, подвергается ли исполненное ею обжиганию в "большом огне" или в "малом" (иначе — в муфельном, не превосходящем температуры плавления серебра, т. е. 935° Ц.). В первом случае фарфоровый предмет украшается живописью еще тогда, когда он только вылеплен и высушен или покрыт после высушки поливою, но не обожжен; живопись в этом случае получает надлежащий блеск в огне одновременно с тем, как самый предмет приобретает прозрачность и глянец. Во втором случае предмет расписывается тогда, когда Ф. уже сделался через обжигание твердым и глазурованным. В обоих случаях употребляются так наз. огнеупорные, или керамические, краски, состоящие из тонко размельченных окисей и солей металлов: кобальта, никеля, железа, марганца, меди, хрома, сурьмы, урана, олова, цинка, платины, иридия, золота и серебра, и дающие художнику возможность иметь очень богатую палитру. Порошок огнеупорных красок растирается на венецианском терпентине с прибавкою к нему, для уменьшения его тягучести, лавендулового или коричневого масла. Приготовленные таким образом краски при употреблении их в дело, дабы удобнее было брать их на кисть и накладывать на расписываемую поверхность, разбавляются, насколько это нужно, очищенным скипидаром с небольшою примесью опять-таки лавендулового или коричневого масла. Приемы живописи на Ф. похожи на акварельные, но требуют от занимающегося ею специального навыка, так как огнеупорные краски, будучи металлическими и растертыми на смолистом веществе, менее послушны, чем водяные. При писании на Ф. употребляются колонковые, барсуковые и щетинные кисти, одни с острою оконечностью, другие распушистые и срезанные плоско (для стушевывания), третьи подстриженные косо (patte de biche, для уравнения краски на более или менее значительных одноцветных местах изображения). Написанное излишне или ошибочно можно поправлять и с помощью костяных или стальных острия и гратуара. Главное, к чему должен приучиться художник, работающий на Ф., это — разбавлять краску при взятии ее на кисть вышеупомянутыми жидкостями так, чтобы она легко сходила с кисти и вместе с тем не расплывалась по покрываемому ею месту; столь же важно изучить свойства красок в отношении того, как изменяется их сила и цвет при обжигании и какие краски не терпят смешения одной с другою. Особенно опытен должен быть художник, работающий для большого огня. Чрезвычайно высокая температура обжигания в таком огне позволяет употреблять для подвергаемой ему живописи лишь ограниченное число красок и сильно изменяет их цвет и интенсивность; кроме того, краски быстро впитываются в еще не обожженный, весьма пористый Ф. и, если взять их слишком жидкими, расплываются на нем; поэтому действовать кистью надо уверенно, сразу, помня, что исправление ошибок почти невозможно. Писание по уже обожженному и глазуровавшемуся Ф. несравненно легче: на твердой и гладкой поверхности такого Ф. не только могут быть делаемы всякого рода исправления написанного, но и все оно может быть стерто и исполнено вновь. По окончании росписи такого Ф. она, как сказано выше, поступает в малый огонь; по выходе из него она оказывается более или менее изменившеюся, а именно некоторые ее тона поблекшими, другие, напротив того, усилившимися. На это художник должен рассчитывать заранее и так распоряжаться, чтобы чрезмерного усиления тонов не могло произойти; ослабившими же краскам он может возвратить должную силу вторичною их прокладкою и затем новым обжиганием в малом огне. Подвергая украшаемый живописью предмет двум, трем и нескольким повторительным обжиганиям и при каждом из них исправляя и дополняя ее, можно достигнуть в ней до желаемого эффекта. Обыкновенно на фарфоровых вазах, чашках и др. предметах живопись соединяется с позолотою. Последняя производится посредством растертого в мелкий порошок листового золота или через употребление порошка, получаемого от растворения золота в царской водке и затем осаждения его зеленым купоросом. Для того, чтобы этот порошок приставал к Ф., к нему прибавляется закись висмута. Позолота подвергается обжиганию так же, как и краски. По выходе своем из муфеля она является матовою; для придания ей блеска ее полируют твердым камнем (агатом или кровавиком). Ср. G. Vogt, "La porcelaine" (один из томиков издания "Biblioth èque de l'enseignement des beaux-arts").
A. С—в.