Тормоз*
— служит для замедления или полного прекращения движения известной массы (груза, повозки, подъемной машины и пр.), и дает возможность управлять этим движением и в случае надобности остановить его. Достигается это введением сопротивления, которое частью или совершенно поглощает живую силу движущейся массы. Для этого в большинстве случаев пользуются трением, являющимся при нажатии твердым телом на движущуюся часть, увеличивая силу нажатия соответственно потребности. Простейшим прибором этого рода можно считать спасательный или канатный Т., изобретенный Галилеем (фиг. 1), который описывает его следующим образом: "Берут деревянный цилиндр и просверливают сверху и снизу по направлению оси канал, глубиною около двух дюймов и шириною немногим больше толщины каната. На поверхности цилиндра проводят спиральную линию, начинающуюся на высоте около двух дюймов от нижнего основания и, обогнув цилиндр два раза, оканчивающуюся на два дюйма ниже верхнего основания. По спирали вырезывается, по толщине каната, канавка, соединяемая на концах отверстиями с осевыми каналами. Все острые ребра, которые могли бы повредить канат, закругляются. Канат пропускается через нижнее отверстие цилиндра, обвивается по спирали и выпускается через верхнее отверстие.
Фиг. 1. Фиг. 2. Фиг. 3.
Если закрепить канат верхним концом на какой-либо высоте, а к цилиндру привязать палку, на которую можно было бы садиться верхом, то, держась рукою за цилиндр, можно вполне безопасно спуститься. Трение мешает цилиндру соскользнуть, а потому, придерживая и выпуская канат, можно по желанию медленно спускаться или остановиться где и когда угодно". Употребляемые теперь, в числе пожарных спасательных приборов, канатные Т., представляют, как видно из фиг. 2, 3 и 4, подражание Т. Галилея, с тем лишь отличием, что они делаются металлическими. Форма спасательного Т., представленная на фиг. 5, удобна в том отношении, что для закрепления нет необходимости продевать конец каната через Т., и его можно надеть в любом месте висящего каната. На фиг. 6 представлен спасательный Т. с крюком, посредством которого он прикрепляется к поясу пожарного. Во всех этих Т. нажатие, вызывающее усиление трения, достигается весом спускающегося. В большинстве же случаев Т. применяются для регулирования вращательного движения, что производится прижатием твердого тела к окружности колеса, входящего в состав тормозного приспособления или имеющего, кроме того, и другое назначение (напр., маховое колесо).
Фиг. 4. Фиг. 5. Фиг. 6.
Даже в механизмах, назначенных для прямолинейного передвижения (напр., подъемных машинах), для торможения употребляются колеса, при которых тормозные снаряды получаются более простыми и удобными. Для нажатия на колеса обыкновенно употребляются или колодки, или ремни и полосы, что дает возможность разделить все тормозные приспособления на две категории. В зависимости от рода силы, которою производится нажатие, Т. разделяются на ручные, гиревые, пружинные, пневматические, гидравлические, паровые. Иногда за признак для классификации принимается и способ передачи силы, вследствие чего Т. получают название рычажных, винтовых, эксцентриковых и т. д. Тормоза, устроенные таким образом, что они сами приводятся в действие, когда скорость превышает известный предел, называются автоматическими. В некоторых механизмах, напр., подъемных кранах, лебедках и вообще при спуске и подъеме больших тяжестей, Т. устраиваются таким образом, что они автоматически задерживают движение как только прекратится деятельность рабочего, производящего подъем.
Фиг. 7.
Это имеет преимущество в отношении безопасности, так как при этом предупреждается падение, если, напр., рабочий выпустит из рук рычаг или подъемную веревку вследствие испуга или по другой причине. Подобного рода автоматические тормозы применяются во всех случаях, где это вызывается требованиями безопасности. Схема Т. с колодкою представлена на фиг. 7. В точке с колодка прилегает к окружности тормозного колеса и прижимается к нему силою К, действующею на конец b рычага, имеющего точку опоры в а. Сила нажатия N = [(ab)/(ac)]K вызывает трение fN, которое противодействует вращению большего колеса силою Q, действующею по окружности меньшего колеса. Для равновесия необходимо fN = P, где P = Q(R/r), так что при fN>P колесо неподвижно. При уменьшении же силы К поглощается лишь часть силы Р. Для увеличения коэффициента трения колодки обыкновенно делаются деревянными (из дуба, бука или березы). Но вследствие быстрого износа деревянные колодки скоро портятся, а потому дерево заменяется (в Т. железнодорожного подвижного состава) чугуном, также для большей прочности сталью. На принципе обыкновенного Т. устроен нажим Прони, употребляемый для измерения силы паровых машин. Если через К обозначить силу в килограммах, которую необходимо приложить к рычагу с плечом l в м. для удержания нажима в равновесии, то число сил машины, при n оборотах в минуту, выразится
N = [(π nl)/30,75]K = 0,001396nlK.
Для задержания спускающихся повозок на горных дорогах и для безопасного передвижения тележек с рудою по крутым подъемам в рудниках употребляется нередко клиновой Т., приводимый в действие рукою (фиг. 8).
Фиг. 8.
Иногда удобнее применять Т., нажимаемый ногою, причем для торможения утилизируется вес рабочего, а руки остаются свободными для управления (дилижансы, автомобили и пр.). При одной колодке механизм больше изнашивается, а с другой стороны, одностороннее давление действует вредно на ось, а потому в тех случаях, где это возможно, употребляются парные колодки, обхватывающие колесо с двух противоположных сторон. Если не требуется оставить свободною окружность тормозного колеса (как в экипажах, где катящиеся по земле или по рельсам колеса вместе с тем употребляются для торможения), то колодки заменяются гибкою лентою (обыкновенно стальною) или ремнем, обхватывающими значительную часть окружности колеса, вследствие чего давление на единицу площади уменьшается. Почти во всех конструкциях ленточных Т. лента ВВ соединяется с рычагом H, имеющим точкою вращения с, причем отношение плеч ас и cd выбирается такое, чтобы силою К (напр., рукою) можно было произвести должное нажатие.
Фиг. 9.
Из фиг. 9 легко усмотреть, что при движении рукоятки Т. вниз тормозная лента натягивается с обоих концов a и b. В дифференциальном Т. нажатие достигается вследствие разности натяжений (фиг. 10), действующих на оба конца ленты при вращении рукоятки. Иногда для увеличения трения на ленте изнутри прикрепляются накладки из дерева или другого твердого материала (суставчатые Т.), или лента заменяется цепью (цепной Т.). Торможение железнодорожных поездов производится или посредством ручных Т., причем каждый вагон, снабженный Т., обслуживается особым тормозным кондуктором, или помощью механических приспособлений, производящих одновременно торможение целой группы вагонов — непрерывных Т. В ручных Т. при вращении рукоятки на стержень навивается цепь (фиг. 11), натягивающая тормозные колодки.
Фиг. 10. Фиг. 11.
Эта система весьма употребительна для вагонов конножел. дорог. На паровых железн. дорогах употребляются ручные Т. с более совершенными устройствами, образец которых представлен на фиг. 12, где видно, что при вращении рукоятки К стержня s в обхватывающей его муфте L гайка M вынуждается перемещаться вертикально, в зависимости от направления вращения, вследствие чего конец коленчатого рычага W передвигает соединенную с ним шарниром тормозную тягу Н, действующую на колодки.
Фиг. 12.
Передача движения колодкам вагонного Т. видна из схематической фиг. 13, на которой точки g представляют неподвижные шарниры, около которых соответственные стержни gt могут вращаться. Легко усмотреть, что при движении тяги в одну сторону колодки сближаются и нажимают на колеса, производя торможение, а при обратном передвижении тяги происходит растормаживание.
Фиг. 13.
Хороший Т. должен быть устроен таким образом, чтобы несколькими оборотами рукоятки достигалось достаточное для остановки поезда нажатие тормозных колодок на колеса. Путь, описываемый при этом рукояткою, зависит от величины зазора, оставляемого между опущенными колодками и бандажами колес, от величины мертвого хода частей механизма, а также от происходящего при торможении прогиба и растяжения элементов передачи. Для возможности уменьшения зазора необходимо пользоваться колодками из мало изнашивающегося материала. По этой причине литая сталь и чугун заслуживают предпочтения в сравнении с деревом.
Фиг. 14.
При правильном устройстве и стальных или чугунных колодках зазор в опущенных Т. делается около 6 мм. Весьма важно равномерное распределение нажатия на все части колеса, с которыми соприкасается колодка, чем предупреждается неравномерный износ бандажей и колодок. На фиг. 14 представлен в боковом виде построенный согласно этим принципам вагонный Т. Стальные колодки К 1 и К 2 прикреплены помощью подвесок к раме вагона. Подвеска состоит из двух частей, обхватывающих тормозную колодку и соединенных с нею системою рычагов, действующих таким образом, что при торможении колодки передвигаются симметрично по отношению к диаметральной линии, проходящей через центр колеса, чем достигается равномерное нажатие. При применении отдельных Т. для вагонов они приводятся в действие кондукторами по сигналу машиниста, вследствие чего торможение не может быть равномерным, и для остановки поезда требуется более продолжительное время.
Особенно ненадежным оказывается действие отдельных Т. в случае необходимости неожиданной и быстрой остановки поезда, напр., при усмотренной машинистом опасности. В таких случаях более пригодными оказываются непрерывные Т., приводимые в действие одновременно машинистом. Эти Т. устраиваются таким образом, что при какой-либо неправильности движения, напр., при разрыве поезда или сходе его с рельсов, колеса сами затормаживаются, почему Т. эти называются автоматическими. Первые Т. этого рода, получившие распространение, были введены Геберлейном, который достигал взаимодействия нескольких Т. одного поезда помощью колес трения и цепей, навивающихся на барабаны. Затем получили большое распространение так наз. пневматические Т., которые разделяются на две группы. В одних из них передвижение тормозных колодок достигается действием сжатого воздуха, в Т. второй группы, наоборот — разрежением воздуха. Все ныне употребительные системы непрерывных пневматических Т. первой группы состоят из следующих частей: установленного на паровозе воздушного насоса, приводимого в действие паром, резервуара для сжатого воздуха и тормозного крана, помощью которого трубопровод, проведенный под всем поездом, может быть приведен в сообщение с резервуаром или с наружною атмосферою. Соединение частей трубопровода между вагонами достигается гибкими рукавами с разборными герметическими затворами. Во время движения поезда главный провод, имеющиеся в некоторых конструкциях вспомогательные резервуары и тормозные цилиндры сообщаются с главным резервуаром и поэтому наполнены сжатым воздухом с давлением в 6 — 4 атмосферы. При торможении сжатый воздух из трубопровода и тормозных цилиндров с одной стороны поршней выпускается, вследствие чего поршни в цилиндрах давлением воздуха с внутренней стороны передвигаются и с большою силою и одновременно нажимают колодки. К этой системе принадлежат Т. Карпентера (железные дороги Северо-Американских Соединенных Штатов, прусские, саксонские, виртембергские, испанские жел. дор., в России Балтийская жел. дор.), Венгера (во Франции железные дороги Орлеанского и Южного обществ, некоторые швейцарские жел. дор., в России С.-Петербурго-Варшавская жел. дор.), Шлейфера (многие жел. дор. в Германии и некоторые в Швейцарии и Италии), Вестингауза (распространены почти повсеместно), Сулерена. В Т., действующих разрежением воздуха, перемещение колодок достигается движением поршня в цилиндре вследствие давления атмосферного воздуха на одну сторону поршня, при разрежении воздуха с другой стороны. Для разрежения воздуха служат установленные на паровозе эжекторы, с которыми тормозные цилиндры паровоза, тендера и отдельных вагонов соединяются помощью общего трубопровода, проходящего непрерывно подо всем поездом. К этой, группе принадлежат Т. Смита (многие жел. дор. в Англии), Гарди (жел. дор. Северного общества во Франции, прусские казенные и Эльзас-Лотарингские жел. дор., почти все жел. дор. Австрии, за исключением венгерских, на которых применяются Т. Вестингауза, Большая центральная жел. дор. в Бельгии, жел. дор. Адриатической сети в Италии, С.-Готардская жел. дор. в Швейцарии, многие жел. дор. в Англии, некоторые в Испании, Дании и Швейцарии, турецкие, румынские, сербские и болгарские жел. дор., в России Московско-Рязанская, Московско-Брестская, Варшаво-Венская, Закавказская и некоторые другие жел. дор.), Кертинга (некоторые жел. дор. в Швейцарии, Италии, Швеции и Норвегии, в России на Московско-Курской и Грязе-Царицынской жел. дор.), Клейтона, Имса и др. Для пассажирских поездов непрерывные Т. введены почти повсеместно. В некоторых же странах, а в последнее время в России начинают снабжать этой системою и товарные поезда. Для ручного торможения паровозов и тендер-паровозов употребляются ручные Т. того же устройства, как и для вагонов. Для торможения колес паровозов иногда применяются также паровые Т., в которых колодки прижимаются к колесам поршнем парового цилиндра. Торможение паровоза достигается также применением контрпара, т. е. перекладывая рычаг парораспределительного прибора, машинист пускает пар против движущегося поршня. В паровозах горных жел. дор. с успехом применяется впуск воздуха в паровые цилиндры с целью торможения. Для безопасности движения, в составе поезда должно быть известное число тормозных вагонов, зависящее от веса поезда, скорости его и уклонов пути. Это обуславливается требованием, чтобы поезд мог быть остановлен тормозами с пробегом некоторого определенного протяжения после подачи сигнала остановки. При этом от момента подачи сигнала до начала действия тормозов также протекает некоторый промежуток времени, в течение которого поезд движется без замедления хода. Пусть s1 будет путь в м, пробегаемый поездом от момента подачи сигнала остановки до начала торможения, и s2 путь, пройденный поездом при действии Т. до остановки. Тогда от подачи сигнала до совершенной остановки поезд пройдет путь s = s1 + s2. При скорости хода поезда v0 м в секунду и массе его М, живая сила поезда на полном ходу будет (MV02)/2. Работа эта должна быть поглощена работою сопротивления поезда движению и работою торможения, причем на уклоне сила тяжести действует на помощь живой силе поезда. Если назовем через W сопротивление поезда в кг, B — тормозное давление, f — коэффициента трения для колес и тормозных колодок, g — ускорение силы тяжести, а α — уклон пути, то будем иметь:
При расчете тормозной силы принимают, что паровоз при всех обстоятельствах может быть заторможен непосредственно своими тормозами, не прибегая к тормозной силе поезда, так что приходится принимать во внимание лишь вагоны. По опытам Франка, сопротивление движению поезда весом Мg при скорости v м в секунду может быть выражено формулою
W = 0,0025Mg + 0,1225Fv2
кг, где F есть площадь поезда, подверженная действию ветра. При весе всех вагонов поезда Q в тоннах и начальной скорости V0 км в час
(Mg)/1000 = Q и vo = Vo/3,6,
следовательно
(Mv0)/2 = (QVo2.1000)/254,28.
Поэтому живая сила на тонну веса поезда будет 3,94 V02. Величина ее, однако, несколько увеличивается вращающеюся массою колес. Поэтому при-нимают ее 4,2 V02· Относя сопротивление поезда в кг также на тонну веса при скорости V км в час, получим из вышеприведенной формулы
W = 2,5 + 0,1225(FV2) /(Q3,62)
или W = 2,5 + (0,00945FV2)Q.
Принимая F/Q = 0,106, получим W = 2,5 + 0,001V2. Эта форма очень удобна для приблизительного выражения сопротивления поезда. Так как в сравнении с работою торможения сопротивление поезда представляет незначительную величину, то можно без большой погрешности для расчета работы сопротивления поезда в этом случае принять среднее выражение
Wm = 2,5 + 0,0006V02, полагая
Если вес тормозных вагонов Qb то тормозная сила в килограммах на тонну веса поезда будет 1000(Qb/Q)f. Но коэффициент трения f изменяется в зависимости от скорости. По опытам Гальтона, этот коэффициент для весьма малых скоростей приближается к 0,33, с возрастанием же скорости он уменьшается, так что при скорости 90 км в час f заключается между 0,058 и 0,123. Найденные Гальтоном значения коэффициента f для одинаковых скоростей колеблются в довольно значительных пределах и не дают возможности точно определить закон этой зависимости. Но средние значения найденных Гальтоном коэффициентов довольно близко подходят к формуле f = 10/(30 + V), в которой V обозначает скорость в км в час. По опытам Вихерта, значения f для разных скоростей получились:
0 10 20 30 40 50 60 70 80 90 км в час.
fm = 0,250 0,201 0,164 0,142 0,128 0,117 0,109 0,103 0,098 0,093
Приблизительно эти величины могут быть выражены следующею формулою:
fm = 12,5/(50 + V0)
Поэтому работа при торможении на тонну веса поезда с начальною скоростью v0 будет
Если уклон α выражен в тысячных, то та же цифра выражает составляющую силы тяжести по направлению пути в килограммах на тонну веса. Поэтому
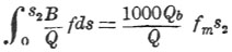
4,2 v02 = [wm + [(1000q)/q0]fm — α ]s2
Если в это выражение вставить отношение веса тормозных вагонов к весу поезда в процентах, принимая b = 100(Qb/Q), то получим
b = [1/fm][(0,42V02)/s2 — 0,1Wm + 0,1 α ]
Величину b называют тормозным процентом. Путь, проходимый поездом от момента подачи сигнала остановки, выражается, как сказано выше, через s = s1 + s2. По нормам, выработанным союзом железных дорог Германии, s2 должно быть 650 м, получаемую же при этом величину b следует увеличить на число 0,012 α v, зависящее от скорости и уклона, и во всяком случае принять ее не менее шести. Принимают, что от момента подачи сигнала до начала действия тормозами поезд успеет пробежать протяжение s1 = l,5V0. Таким образом число тормозных вагонов, выраженное в процентах от веса всех вагонов, определится формулою
b = (1/fm)([0,42V02]/[650]0,1Wm + 0,1 α) + 0,012 αν 0 больше или равно 6,
а путь, который поезд успеет пройти от момента подачи сигнала, выразится формулою
s = 1,5 V0 + (0,42V0 2)/(bfm + 0,1Wm — 0,1 α),
где fm и Wm определяются согласно вышесказанному. На основании этих формул может быть определено число вагонов, которые обязательно должны быть снабжены Т. при определенном составе поезда, принятой максимальной скорости движения и данных наибольших уклонах железнодорожного пути. Изданными министерством путей сообщения правилами, число Т. в поезде поставлено в зависимость от величины уклонов пути и скорости движения и как показано в следующей таблице:
1 — Уклоны дороги в тысячных; 2 — Для товарных поездов медленного хода, наибольшая скорость не превосходит 25 верст в час; 3 — Для товарных и других поездов, наибольшая скорость которых не превосходит в час: A — 30 верст, B — 35 верст, C — 40 верст; 4 — Для пассажирских и товарно-пассажирских поездов, наибольшая скорость которых не превосходит 45 верст в час.; 5 — Для пассажирских поездов, наибольшая скорость которых не превосходит 55 верст в час.
| 1 | 2 |
3 |
4 | 5 | ||
| A | B | C | ||||
| Из 100 вагонных осей должно быть тормозных не менее | ||||||
| 2 | 3 | 6 | 9 | 13 | 17 | 28 |
| 5 | 6 | 9 | 12 | 16 | 20 | 31 |
| 6 | 7 | 10 | 13 | 17 | 21 | 32 |
| 8 | 9 | 12 | 15 | 19 | 23 | 34 |
| 10 | 11 | 14 | 17 | 21 | 25 | 36 |
| 12 | 13 | 16 | 19 | 23 | 27 | 38 |
| 15 | 16 | 19 | 22 | 26 | 30 | 41 |
Число тормозных осей в поезде назначается для участка или всей дороги сообразно наибольшему уклону, но если сплошной наибольший уклон имеет длину, не превосходящую 500 саж., то число тормозных осей, по правилам нашего министерства путей сообщения, может быть определено не по наибольшему, а по следующему за ним по величине уклону. Тормозные вагоны распределяются по длине поезда в приблизительно равном друг от друга расстоянии. При этом предполагается, что все оси вагонов нагружены почти одинаково; если же поезд состоит из вагонов груженых и порожних, то для расчета потребного числа тормозных осей две оси порожнего вагона принимаются за одну груженую ось, всякий нетормозной товарный вагон, нагруженный менее чем 100 пудами, за порожний, тендер (снабженный Т.) паровоза, подталкивающего поезд сзади — за два груженых тормозных вагона, при двойной тяге второй паровоз — за два груженых тормозных вагона, если уклоны дороги не круче 0,004, в противном случае Т. второго паровоза в расчет не принимаются. До начала восьмидесятых годов на русских железных дорогах употреблялись почти исключительно ручные Т. общепринятого устройства, и в настоящее время в употреблении находятся три типа этих Т. Тип 1: усилие в нем передается коленчатому рычагу, действующему при посредстве тяги на неподвижный под вагоном вал, который затем, поворачиваясь, нажимает колодки двумя своими одинаковой длины отростками, также при посредстве тяг. Тип 2: отличается от предыдущего лишь тем, что в нем тормозной вал не укреплен неподвижно, а подвешен так, что концы его могут качаться около точек их подвески. Тип 3, менее других распространенный, отличается тем, что тормозной вал не подвешен прямо к швеллерам вагона, а прикреплен к подвескам одной пары колодок, на которую он действует непосредственным нажатием, между тем как второй паре колодок передает давление при посредстве своих отростков и тяг, как в первых двух типах. Происшедшее с течением времени ускорение пассажирского сообщения вынудило ввести в курьерских и пассажирских поездах непрерывные Т. Не вполне удачные опыты на некоторых железных дорогах с неавтоматическим воздушным Т. системы Гарди сменились, в начале восьмидесятых годов, постепенным введением более надежных автоматических воздушных Т. системы Вестингауза, Гарди, Кертинга, Венгера и прочих. Правительственные технические условия для воздушных Т. пассажирских поездов следующие: они должны быть автоматические, действующие сжатым или разреженным воздухом; все соединения воздухопроводных труб как между тендерами и вагонами, так и между этими последними, снабженными непрерывными Т. соответственного действия (сжатым или разреженным воздухом) должны быть на подлежащих дорогах одинакового устройства и согласованы с соединениями в императорских поездах, для возможности пользоваться этими Т. при следовании в прямом сообщении. Действие торможения должно быть энергичное и быстрое, распространяющееся на все тормозные вагоны поезда с возможно малыми промежутками времени. Число вагонных тормозных осей в поезде должно быть не менее указанного в правилах движения (см. выше), причем для скоростей свыше 58 км в час это число осей определяется особым расчетом. Нажатие колодок должно быть рассчитано так, чтобы оно, в зависимости от конструкции вагона, составляло: при одностороннем нажатии от 0,5 до 0,8 давления, передаваемого осью на рельсы, а при двустороннем — не менее 0,8 упомянутого давления. Внутри каждого вагона должно быть устроено приспособление для затормаживания поезда. Приборы эти должны быть расположены на видных и доступных местах, с необходимым ограждением от случайностей. Для пробы воздушных Т. на некоторых железных дорогах устроены особые пробные станции. В течение последнего времени на Николаевской железной дороге производились, по распоряжению министерства путей сообщения, подробные сравнительные опыты для выяснения сравнительных достоинств главнейших типов автоматических воздушных Т. Журналы комиссии, производившей исследования, напечатаны в 1900 г. в "Приложении к Вестнику Министерства Путей Сообщения" № 42; но выводы из этих опытов еще не закончены.
А. Т.