Площадь
— часть поверхности, ограниченная каким-либо замкнутым контуром. Величина П. выражается числом заключающихся в ней квадратных единиц. Вычисление П. производится с помощью приемов, излагаемых в геометрии и приложения интегрального исчисления к геометрии.
А. Выражения величин П. правильных многоугольников, в которых а означает длину стороны, R — длину радиуса описанного круга, r — длину радиуса вписанного круга.
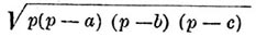
В. П. треугольника выражается различным образом: половиною произведения из основания на высоту, или половиною произведения сторон на синус угла между ними, или так:
где а, b, с суть длины сторон, р — длина полупериметра, равная половине a + b + с. Если взять одну из вершин за начало координат и означить через х 1, у 1, координаты другой вершины, через x2, у 2 координаты третьей, то величина П. может быть выражена половиною разности (х 1 у 2 — x2 у 1).
П. всякого четырехугольника равняется сумме П. двух треугольников, на которые он может быть разбит одною из диагоналей.
П. трапеции равняется половине произведения высоты ее на сумму параллельных сторон.
С. П. круга радиуса R равна π R2. П. сектора равна половине произведения радиуса круга на длину дуги. П. плоского кольца, заключающегося между кругами радиусов R и r, выражается так: π (R2—r2). П. части параболы у 2 = 2 рх от вершины до сечения, перпендикулярного к оси при абсциссе x выражается так: 2/3xy = (1/3y3)/p.
П. эллипса, длины полуосей которого а и b, равняется π аb.
П. циклоиды, описанной точкою на катящейся окружности радиуса R, равна 3π R2.
D. Поверхность шара 4π R2. Сферического двусторонника на шаре радиуса R и с углами величины A при вершинах: 2 AR2 (угол измеряется отношением длины дуги к радиусу). Сферического треугольника на шаре того же радиуса с углами А, B, C при вершинах: (A + B + C — π)R2.
Боковая поверхность кругового цилиндра высоты h, причем радиус круга основания есть R, равна 2π Rh. Полная поверхность цилиндра равна 2π R(R + h).
Полная поверхность прямого кругового конуса высоты h,
радиус основания R,
равна 
Величина поверхности кругового кольца, если r есть радиус круга меридионального сечения, a R — радиус круга, образуемого центрами сечений, выражается формулою: 4π 2Rr.
По правилу Гюльдена, величина поверхности вращения, образуемой линией длины l, находящейся в плоскости меридионального сечения, равняется 2π r0l, если r0 есть расстояние центра тяжести этой линии от оси вращения.
Величины полных поверхностей эллипсоидов. Эллипсоида вращения планетарного (полуось экваториальная а, полуось вращения с; c < a)
где логарифм натуральный.
Эллипсоида вращения удлиненного (полуось экваториальная b, полуось вращения a; а > b)
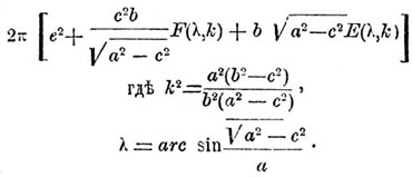
Эллипсоида о трех неравных главных полуосях (а > b > с)
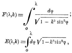
F(λ,k) и E(λ,k) суть эллиптические интегралы первого и второго вида:
которые могут быть вычислены по таблицам Лежандра, а также по таблицам, приводимым в других сочинениях, например, у Bertrand: "Calcul integral".
Д. Б.