Пирометрия и Пирометры*

(техн.). — П. называются приборы или приспособления, назначенные для измерения высоких температур (вообще выше 300°—360°, когда обычный ртутный термометр является неприменимым). Способы для измерения высоких температур главным образом основаны на расширении твердых, жидких и газообразных тел от теплоты; на плавлении известных тел, на изменении оптических или электрических свойств, на калориметрических определениях, на изменении некоторых звуковых явлений при нагревании и пр. Из всех способов наибольшее значение имеют способы, основанные на расширении газов от нагревания. Постоянные газы при нагревании изменяют свой объем (если давление постоянно) или давление (если объем постоянен) прямо пропорционально изменению темп., так что V x = V0(1+ αt) или Р x = P0 (1+ α't), где Vx и P х объем и давление при t°, а V 0 и Р 0 те же величины при 0°; α и α' — коэффициенты расширения. По постановлению метрологического съезда в Париже (1887) было решено все измерения темп. относить к газовому термометру (см.), а именно из газов принят был водород, имеющий при каком-нибудь объеме V 0 при темп. таяния льда (в обыкн. условиях) давление P 0 = 1000 мм ртутного столба (при той же темп. ртути и при напряжении силы тяжести, отвечающем 45° широты и на уровне моря). Приняв темп. таяния льда за исходную (за 0°) и за 100° темп. кипения воды при норм. давл. 760 мм ртутного столба, было постановлено измерять темп. в зависимости от изменения давления взятого водорода (при пост. объеме его V), принимая, что искомая темп. t:100 = (P—P 0)/(P100—P0) (где P и P 100 давление водорода при t° и при 100°). Выбранный таким образом термометр одинаково применим как для обычных темп., так и для высоких, и измерение последних является таким же непосредственным, как и измерение первых. Замена водорода др. постоянн. газами, напр., азотом, воздухом и пр., влечет за собой некоторую разницу в определении темп. Если начальное давление (при 0°) взятого газа Р 0 меньше 1000 мм, то определение темп. по вышеуказанной формуле является не вполне точным. Различия, получаемые как в том, так и в другом случае, столь незначительны (сравнения производились при темп. ниже 100°), что при измерении высоких темп., где является много других затруднений и неопределенностей, ими можно пренебречь. Однако водород оказался неудобен для определения высоких темп., так как в этих условиях он диффундирует через стенки, непроницаемые для др. газов (напр., через платину и даже, по нек. указаниям, через фарфор; кроме того, платина от водорода становится хрупкой и пр.). С др. стороны, если взятый для П. газ имеет при 0° давление 1000 мм, то при высоких темп. давление его будет равно нескольким метрам. Измерение таких величин не совсем удобно для практики; материал, из которого делается оболочка для газа, при высоких темп. несколько размягчается и оболочка при больших давлениях может деформироваться или стать проницаемой для газа. Поэтому для газовых П. обыкновенно берут азот при давлении (при 0°), значительно меньшем атмосферного. Резервуар, в котором находится газ, имеет форму шара или цилиндра с закругленными концами и снабжен капилляром; емкость его бывает различна в зависимости от условий, в которых производятся измерения темп. Для сравнительно невысоких темп. (около 500°) резервуар можно делать из тугоплавкого стекла; но для высоких его обыкновенно делают из глазурованного фарфора или из иридистой платины. В платиновых сосудах можно определять темп. до 1700°, но они стоят дорого; фарфоровые более доступны, но они служат до 1400—1500°, так как фарфор при этих теми. размягчается. При употреблении фарфоровых сосудов необходимо, чтобы при самом опыте давление взятого газа было меньше атмосферного; в противном случае они становятся проницаемыми для газа (вероятно, вследствие выдавливания глазури, которая плавится значительно ниже фарфора). Приготовление фарфоровых сосудов, хорошо глазурованных с обеих сторон, представляет большую трудность. При помещении в печь резервуар обыкновенно тщательно укрывается, чтобы устранить вредное действие на него окружающей среды (так как, напр., платина легко может дать углеродистую или кремнистую платину, которая легко плавится и пр.); резервуар окружается глиной, асбестом и пр. Эти вещества, защищая его от порчи, однако, сильно замедляют принятие им окружающей темп., что всегда нужно иметь в виду. Резервуар при помощи капиллярной трубки соединяется с ртутным манометром; обыкновенно он соединен также с прибором для добывания употребляемого газа, напр., азота, и с ртутным насосом (чтобы иметь в резервуаре газ при известном давлении с целью наполнения прибора газом и пр.). Если соединения эти делаются на мастике, то при опыте все такие места охлаждают водой, чтобы мастика не размягчилась, и вообще манометр защищают экранами от действия лучистой теплоты. Простейший прибор в этом роде предложен Жолли (фиг. 1): L — газовый резервуар, помещаемый в печь; С — капиллярная трубка, соединяющая его с манометром; в колене манометра А в верхней части находится острие, до которого доводится ртуть, так что объем газа в манометре при опытах считается постоянным.

Фиг. 1

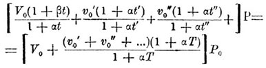
Другим коленом манометра служит трубка B, соединенная с А каучуком; она может передвигаться вверх и вниз по штативу манометра (др. соединит. частей на фиг. не указано). Газ, наполняющий прибор, должен быть совершенно сухой. Коренным недостатком этого прибора, как и др. ему подобных, служит так наз. "вредное пространство" между резервуаром и ртутью манометра, где газ находится частью при темп. опыта, частью при комнатной; оно должно быть крайне незначительно, так как поправки на него, вводимые при опыте, довольно проблематичны. Вычисление темп. из полученных при употреблении этого рода приборов данных производится следующим образом. Назовем объем резервуара и различных частей прибора, занятых газом при 0°, V0, v'0,v"0, v"'0 и т. д., через β коэффициент расширения резервуара и его капилляра и через α коэфф. расш. др. частей; если окружить резервуар тающим льдом, а др. части оставить при комнатной темп. Т, то пусть давление газа будет P0. Назовем через P давление газа при опыте, через t искомую темп., через t' t", t"' темп. частей прибора v', v", v''' при опыте. Тогда:

,

где α коэфф. расш. газа. Объем V0, v0' и пр. лучше всего находить калиброванием обычным путем ртутью или водой. Коэфф. расш. β для фарфора находится обыкновенно, зная коэфф. линейного расш. его λ, именно β =3 λ (λ около 0, 000004). Существует и др. способ для определения высоких темп. с газовым П. При нагревании — газу дают свободно выходить из прибора, так что давление его остается равным атмосферному. Когда темп. установилась, измеряют оставшийся в резервуаре газ; для этой цели его или выкачивают ртутным насосом (Девилль и Трост), или (как это делали В. Мейер и Крафтс) вытесняют углекислотой, которую потом поглощают щелочью. Для выяснения резервуар снабжается двумя капиллярными трубками. Зная емкость сосуда, его коэфф. расш., объем оставшегося газа и атмосфер. давление при опыте, имеют все данные для расчета. Чтобы устранить влияние "вредного пространства", помещают рядом с прибором и в одинаковых условиях систему трубок, подобных занимаемым вредным пространством, определяют объем находящегося здесь при опыте газа и вычитают его из того, который извлечен из всего прибора. При соблюдении всех предосторожностей эти способы дают возможность определять темп. с точностью до 5° (при высоких темп.). Они применяются главным образом при научных исследованиях, для калибрования др. П. и пр. Газовые П. в своей обычной форме являются не совсем удобными для заводов. Были указаны многие изменения, которые хотя и уменьшают их точность, но зато делают их более доступными. В последнее время на металлургических заводах стали распространяться П. Виборга (Wiborgh). Сущность их состоит в след. В печь помещают воздушный резервуар и находящемуся в нем воздуху при расширении дают свободно выходить наружу. Когда резервуар принял окружающую темп., прекращают сообщение с атмосферой и вдувают в него определенный объем воздуха, который, расширяясь, изменяет давление в приборе при прочих равных условиях в зависимости от окружающей темп.; это и дает возможность определить темп. Давление в приборе заставляет действовать механизм, напоминающий по устройству анероид; стрелка его прямо показывает на циферблате искомую темп. Существуют поправки на влияние на этот механизм господствующего в данный момент атмосферного давления. Расширением жидкостей мало пользуются для устройства П., но в последнее время стали готовить ртутные термометры, где ртуть находится под давл. азота или углекислоты и потому закипает гораздо выше обыкновенного. Эти термометры показывают темп. до 500°. Вместо ртути берется иногда жидкий сплав калия с натрием и пр. Гораздо большее применение в П. находит способность твердых тел расширяться от нагревания. П. этого рода существует несколько. Они построены вообще на неравенстве в коэфф. расш. различных твердых тел при нагревании. Примером может служить металлический П. Occhsle (фиг. 2).

Фиг. 2

В железной трубке а находится латунная трубка b; они прочно соединены внизу гайкой m. В b входит другая латунная трубка с, которая тоже соединена внизу гайкой о с железным стержнем d. Трубка сверху имеет прорезы; через них свободно проходит стальной штифт e, который прочно соединяет стержень а с трубкой b так что d и с висят в b. При нагревании этой системы вследствие большого коэфф. расш. b несколько приподымется, а с ней стержень d и трубка с; последняя, в свою очередь, приподымется вследствие разницы в ее расширении и стержня d. Получится двойное перемещение трубки с, которое посредством рычага h, р передается зубчатке q и заставит стрелку передвинуться на циферблате. Калибруется прибор при нагревании в порах жидкостей с известной темп. кипения или по сравнению с воздушным П. По Вейнгольду, показания этого прибора могут до 50° отличаться от истины, что зависит, между прочим, от небольшой разницы между расширением железа и латуни, которую приходится сильно увеличивать зубчатой системой, чтобы сделать видимой. Более совершенными являются графитовые или угольные П. (Штейнле и Гартинга, Цабеля и Комп. и пр.). Они более чувствительны, так как коэфф. расш. угля очень мал и им почти можно пренебречь. В общем, устройство их напоминает вышеописанный П. Occhsle. Внутри железной или медной трубки находится угольная (или графитовая) палочка, которая одним концом упирается в дно трубки, а другим — в металлический стержень, соединенный с системой рычагов аппарата, сидящего на конце трубки и указывающего передвижение стержня. Пружина прижимает стержень к углю, а последний ко дну трубки. При нагревании длина трубки увеличивается, а так как уголь почти не удлиняется, то стержень отодвигается ко дну трубки и это указывается стрелкой на циферблате аппарата. Все П., основанные на разности в расширении твердых тел, имеют важный основной недостаток, состоящий в том, что после нек. нагревания полученное расширение остается навсегда и система не возвращается в свое первоначальное положение при охлаждении; поэтому такого рода П. нужно проверять время от времени. Старинный П. Веджвуда основан на уплотнении глины при нагревании, уплотнении, остающемся при охлаждении. Из глины делались цилиндры или конусы и после нагревания в печи определялось их укорачивание при помощи особых линеек, лежащих под нек. углом одна к другой, причем глиняный столбик передвигался между линейками; О отвечал известному накаливанию и пр. Еще в начале нынешнего столетия было указано, что показания этих П. зависят от сорта глины, продолжительности нагревания и пр., и разницы могут быть очень велики.

Способы измерения высоких темп., основанные на плавлении известных тел, очень просты и с удобством применяются, когда нужно измерять темп. не постоянно, а время от времени. В нагретое пространство вносятся серии веществ с различной, но определенной темп. плавления, и, когда они приняли окружающую темп., смотрят, которые из них расплавились. Искомая темп. будет лежать выше темп. плавл. наиболее тугоплавкого вещества из расплавившихся и ниже наиболее легкоплавкого из оставшихся. Результаты настолько удовлетворительны, что этим путем можно даже калибровать П. Приводим (из соч. Д. И. Менделеева "Основы фабрично-заводской промышленности. Топливо", 1897) темп. пл. нек. металлов и солей, веществ, наиболее полно исследованных в этом отношении: олово — 231°, висмут — 269°, свинец — 328°, цинк — 418°, поваренная соль — 815°, сода — 848°, хлористый барий — 922°, серебро — 965°, сернокалиевая соль — 1072°, золото — 1075°, медь — 1082°, никель — 1481°, палладий — 1585°, платина — 1778°. В заводской практике требуются вещества с меньшими разницами в темп. пл., чем приведенные; их приготовляют из металлических сплавов или из силикатов. Из металлических сплавов с определенной темп. пл. наиболее важны сплавы золота с серебром или платиной (Принсеп), так как другие при повторных испытаниях изменяются (окисляются, улетучиваются и пр.). Сплавы серебра с золотом плавятся: с содержанием 80% серебра — при 975°, 60% — 995°, 40% — 1020°, 20% — 1045° (вообще почти темп. пл. t = 1075—1,6р+0,005p 2, где p — % серебра). Сплавы золота с платиной плавятся: с 10% платины — при 1130°, 20% — 1190°, 30% — l255°, 40% — 1320°, 50% — 1385°, 60% — 1460°, 70% — 1535°, 80% — 1610°, 90% — 1690° (вообще почти t = 1075+5,43p+0,0016p 2, где p — % платины). Из неблагородных металлов можно привести сплавы меди и олова (при 10% меди — темп. пл. 400°, 20% — 518°, 30% — 590°, 40% — 640°, 50% — 675°, 70% — 720°, 90% — 940°), алюминия и цинка и др. Чтобы приготовляемый сплав имел надлежащую темп. пл., взятые для его изготовления вещества должны быть совершенно чисты; кроме того, применяется множество мелких предосторожностей, напр., чтобы при сплавлении не было улетучивания, как это может случиться с золотом или серебром, и пр. Для определения темп. из сплавов неблагородных металлов делают колечки (в 2—3 мм толщины) и их на железном стержне вводят в печь; благородные металлы берутся в виде пластинок, кладутся в углубления, сделанные в глиняной пластинке, закрываются и так вводятся в печь; при платиновых сплавах принимаются предосторожности, чтобы не образовалось углеродистой, кремнистой платины и пр.; смотрят также, чтобы из сплавов не выкристаллизовывались составные части. При употреблении благородных металлов сплавившаяся при опыте пластинка расплющивается и вновь пускается в дело. Неудобство таких П. (скорее пироскопов) из благородных металлов состоит в том, что при их малости трудно наблюдать их, не вынимая из печи. Зегер (Seger), занимаясь обжигом фарфора, предложил измерять темп. плавлением различных определенных смесей каолина с кварцем, полевым шпатом, мрамором; последние, понижая темп. пл. каолина, дали возможность составить целую шкалу плавкости. Зегером употреблялись главным образом 20 смесей, которые были обозначены №№ 1, 2 и т. д. Высшие №№ для более тугоплавких. Из них готовились тетраэдры от 2 до 4 стм высотой (конусы Зегера) и обозначались соотв. №№. При испытании с принсеповскими пироскопами оказалось, что разница в темп. пл. 2 соседних №№ около 29°, причем № 1 плавился около 1150° и № 20 — около 1700° (так что примерно t = 1121+29№, где № — номер "конуса"). При опытах конусы вносят в печь на шамотной пластине и наблюдают, когда верхушка конуса опустится; это и есть момент плавления. Приводим состав нескольких №№ (в частицах): № 1 — 0,3K 2O+0,7CaO+0,2Fe2O5+0,3Al2O3+4SiO2;

№ 5 — 0,3K 2O+0,7CaO+0,5Al2O3+5SiO2;

№ 10 — 0,3K 2O+0,7CaO+1Al2O2+10SiO2.

Сверх этих Зегер предложил еще 15 для более высоких темп., но они едва ли могут иметь практическое значение, так как и темп. плавления первых 20 №№ недостаточно установлена. Так, напр., по новейшим определениям Гехта (Hecht, Ding. 1, 1896 г.) № 20 плавится только около 1530°. Во всяком случае, по причине однообразия в показаниях и в видах констатирования требуемых темп. "конусы Зегера" имеют большое значение для заводской практики.

К одним из простейших по идее способов определения высоких темп. принадлежит калориметрический способ. Он состоит в том, что нагревают при исследуемой темп. какое-нибудь неплавкое тело и, бросив в калориметр (см.), определяют количество тепла, выделенное им при охлаждении. Если вес тела р, теплоемкость его с, количество выделенного тепла Q при охлаждении от искомой темп. Т до обыкн. t,

то рс (T — t) = Q или T = (Q — tpc)/(pc) ...(1).

Но теплоемкость твердых тел с с темп. изменяется, и этими изменениями нельзя пренебрегать. Если известна зависимость теплоемкости от темп. с = f(Т)...(2), то можно принять, что искомое Т близко к какому-нибудь Т', вычислить при этом допущении с=с' и, вставив в формулу (1), найти Т=Т"; если принять вновь в формуле (2) Т=Т" и вычисленную при этих условиях теплоемкость с=с" вставить в формулу (1), то найдем Т=Т"' уже ближе к действительности и т. д. Этим путем можно увеличить точность определений, но зато способ теряет в простоте, не говоря уже о том, что изменения теплоемкости твердых тел с темп. вообще не достаточно хорошо исследованы. Для определений по этому способу берут обыкновенно железо или платину; платина более пригодна, так как теплоемкость железа (см.) вследствие перехода его из одного аллотропического состояния в другое сильно изменяется при высоких темп. Для средней теплоемкости платины, по Виолю, принимают от 0° до 100°, с = 0,0323; 0° — 1000°, c = 0,0377; 0° — 1177°, с = 0,0388. Калориметры, служащие для этих определений, вообще несколько отличаются от обычных (см. Калориметрия). Во мн. случаях применяется прибор Фишера (фиг. 3).

Фиг. 3

В латунной ванне В , покрытой внутри асбестом, подвешен медный посеребренный сосуд А с водой; m — асбестовое кольцо, которое его центрирует. Промежуток между ними наполнен пухом. От удара падающего в калориметр тела термометр защищен внизу решеткой s и вверху муфтой е

прикрепленной к крышке. Тело падает на решетку у дна А; r — мешалка. Прибор закрывается крышкой с отверстием а и воронкой v, покрытой асбестом. Для нагревания берется стальной или платиновый цилиндр весом около 20 г. Он вводится в печь в особом приборе (фиг. 4) в форме глухой стальной трубки а; внутр. диам. ее немного больше нагреваемого цилиндра е; последний вводится в трубку через вырез в ее стенках v; b — ручка.

Фиг. 4.

Чтобы выбросить цилиндр в калориметр, прибор, вынутый из печи, нужно наклонить и повернуть вырезом v вниз. При вбрасывании вода быстро размешивается, и определяется изменение темп. калориметра. Если калорифический эквивалент прибора (см. Калориметрия) равен а и повышение темп. Δ t, то искомое количество тепла Q=a Δ t. При опыте нек. количество воды обращается в пар и уходит из калориметра; но ввиду других ошибок этим можно пренебречь. Если опыты постоянно производятся в одних и тех же условиях, то, чтоб устранить все вычисления, термометр калориметра так калибруется, что он прямо показывает искомую темп. Предлагали измерять темп., вводя в нагреваемое пространство металлическую трубку, по которой протекала вода с известной определенной скоростью, и по темп. этой воды судили о степени нагревания; но прибор оказался непрактичным.

Электрические П. бывают двух видов: одни из них основаны на изменении сопротивления проводников с темп., а другие на изменении напряжения термоэлектрических токов. Представителем первых является П. Сименса. Здесь измеряется электропроводность платиновой проволоки. Сименс нашел, что сопротивление проводников R выражается след. формулой: R = α T1/2 + β T + γ , где Т — абсолютная темп., T = 273°+t (t — темп. опыта), α, β, γ — постоянные величины, зависящие от натуры проводника; если они известны, то, определяя сопротивление R при какой-либо темп. t, легко вычислить это t. Метод измерения Сименса состоит в след. Ток от 6 элементов Лекланше разветвляется таким образом, что одна часть его I' идет в вольтаметр W1 и нейзильберную проволоку V1, а другая часть, I", идет в вольтаметр W2 и платиновую проволоку V2, подвергаемую нагреванию (см. фиг. 5).

Фиг. 5.

Если назовем сопротивление всей первой ветви через R', а второй через R", то, как известно, I'/I" = R"/R'; отсюда R" = (I'R')/R"

Сила тока I' и I" указывается вольтаметрами (см.); сопротивление R слагается из сопротивления вольтаметра, нейзильберной проволоки и других проводников ветви; R' предполагается известным. R" также равно сопротивлению вольтаметра r, проводников ветви r' и сопротивлению платины R; R" = r + r' + R. Отсюда определяется R. На фигуре 6 изображена та часть прибора, которая помещается в печь.

Фиг. 6

На фарфоровом цилиндре с тремя утолщениями навита тонкая платиновая проволока (около 0,4 мм диам.), сопротивление которой при 0° около 10 единиц Сименса SU; проволока обвивает только половину цилиндра. К ее концам припаяны 2 толстых платиновых проволоки; они лежат в фарфоровом цилиндре. По выходе из цилиндра к одной из них припаяна еще такая же третья проволока; для изоляции толстые проволоки одеваются фарфоровыми трубочками. Вся эта система помещается в длинную (около 1 м) железную муфту; часто при этом для лучшей защиты проволоки фарфоровый цилиндр обвертывается платиновым листом, а в промежутке между ним и муфтой кладется асбест. Железная муфта закрыта крышкой, на которой находятся 3 зажима, изолированные друг от друга; к ним идут концы платиновых проволок. На тонкой проволоке находятся передвижные зажимы, переставляя которые, можно немного изменять ее длину; это сделано для того, чтобы точно иметь сопротивление проволоки = 10 SU. Из трех платиновых проволок две соединяются с вольтаметрами, а третья (припаянная) идет к батарее. Вольтаметры состоят из двух узких, одинаковых, с обоих концов открытых, калиброванных стеклянных трубок; вверху они могут быть закрыты каучуковой пластинкой, придавливаемой грузом, а внизу на пробке в них входят платиновые электроды. Внизу у каждой трубки отросток, на нем надет каучук, сообщающий трубку с передвижным сосудом, наполненным слабой серной кислотой (около 12% Н 24). Вольтаметры помещаются рядом на штативе (фиг. 7).

Фиг. 7

Перед опытом измерительные трубки наполняются доверху кислотой и закрываются. Когда платиновая проволока примет окружающую темп., через нее и вольтаметры пропускают ток. В цепь введен коммутатор, который через каждые 10 сек. меняет направление тока в вольтаметрах, чтобы уменьшить влияние поляризации электродов. Когда образуется достаточное колич. гремучего газа, ток прерывают и отсчитывают объемы v' и v" образовавшегося газа при атмосферном давлении и окружающей темп. Силы тока в цепях пропорциональны объемам газа в вольтаметрах: i'/i" = v'/v". Производя определение при нескольких известных темп., находят коэффициенты α, β, γ для вышеуказанной формулы и вычисляют таблицу темп., отвечающих известным сопротивлениям проволок. По Гольборну, П. Сименса до 1000° дает удовлетворительные результаты; но при повторном нагревании электропроводность платиновой проволоки меняется вследствие образования, вероятно, кремнистой платины. Для высоких темп. он дает низшие результаты, так как тогда электропроводность фарфора, служащего для изоляции проволоки становится довольно заметной. В др. П. сопротивление платины определяется мостиками Витстона (см.) при помощи телефона или гальванометра; вместо 6 элементов Лекланше берется один небольшой элемент для получения индукционного тока и пр. Гораздо большее значение имеют П., основанные на изменении электровозбудительной силы термоэлектрической пары от температуры. П. этого рода впервые применялись Беккерелем, который составлял термоэлектрическую пару из платины и палладия; в наст. время наибольшим распространением пользуется П. Ле-Шателье, состоящий из двух проволок в 1 мм толщины и 1 м длины; одна из них платиновая, другая из сплава родия с платиной (родия в сплаве 10%). Проволоки на одном конце скручены или сварены; на другом они соединены с зеркальным гальванометром. Проволоки лежат в трубке из огнеупорной глины, одетой, в свою очередь, железной трубкой; конец, где они связаны, высовывается наружу. Для предохранения от топочных газов, угля, золы и пр. этот конец тоже покрывается чехлом из асбеста, глины и пр. При нагревании этого конца появляется ток от платины к сплаву ее с родием. Для точных измерений электровозбудительную силу этой термоэлектрической пары лучше всего определять по способу компенсации, вводя в цепь какой-нибудь элемент с постоянной и известной электровозбудительной силой, напр., нормальный элемент Кларка. Если примем темп. охлажденного конца термоэлектрического П. постоянной и назовем через t темп. нагретого спая, то, по Гольборну и Вину, связь между электровозбудительной силой пары e и температурой выразится уравнением t = e( α + β c + γ e2), где α, β, γ — постоянные величины; их определяют, сделав измерения электровозбудительной силы П. при трех известных темп. По другим, связь эта достаточно хорошо выражается формулой e = A·lgt + B с двумя постоянными А и В. П. Ле-Шателье имеет то преимущество перед П. Сименса, что, во-первых, показания его более постоянны, а во-вторых, что, самое главное, он позволяет определять темп. в самых небольших пространствах, напр., в тигле, пламени бунзеновской горелки и т. п. Благодаря ему удалось сделать точнейшие температурные измерения в таких условиях, в которых раньше и не думали делать.

Особый интерес представляют способы измерения высоких темп., основанные на фотометрических измерениях, т. е. на исследовании силы света, испускаемого накаленным телом. Температура начала свечения для разных тел очень различна. При исследовании спектра накаленного тела в зависимости от его темп. оказалось, что при начале свечения тело посылает совокупность лучей известной длины волны; при повышении темп. сила света для каждого из этих лучей вообще увеличивается, но при этом начинают появляться лучи других длин волн, так что оттенок светящегося тела начинает изменяться. Были произведены многочисленные опыты, чтобы найти зависимость между темп. t и силой света J для лучей данной длины волны. Дюлонг и Пти, напр., предложили формулу J = Aat, где А — постоянная, зависящая от натуры тела, и a — некоторая величина, постоянная для всех тел. Предложены были и др. формулы. По всем этим формулам сила света увеличивается с темп.; но есть наблюдения, показывающие, что увеличение идет только до известного предела, и затем следует уменьшение. Имея зависимость силы света от темп., представлялась возможность определять темп. фотометрическим путем. Но лучеиспускание накаленного тела, кроме темп., зависит, вообще, от состояния его поверхности, от окружающей среды, от химической природы нагретого тела, которая может изменяться с темп. Все это приводит к тому, что фотометрические измерения являются приблизительными, но во мн. случаях они являются достаточными для практики, тем более, что требуют довольно простых приспособлений. В практике уже издавна определяют различия в темп. накаленного тела по его свечению прямо невооруженным глазом, и существует целая терминология для обозначения различных степеней жара. Различают начало каления, темно-красное каление, начало вишневого кал., вишневое кал., светло-вишневое кал., темно-оранжевое кал., светло-оранжевое кал., белое каление. Пулье делал наблюдения над накаленной платиной, чтобы определить, какая темп. отвечает каждой из этих стадий свечения. Он нашел, напр., что начало каления лежит около 525°; вишневое — 900°; темно-оранжевое — 1100°, белое — 1300° и пр. Но эти определения крайне приблизительны. В нек. случаях рассматривают накаленное тело через цветные стекла, напр., через синее, чтобы, поглотив лучи известной преломляемости, резче выделить другие. Для фотометрических измерений наиболее удобным является фотометр Ле-Шателье. Свет накаленного тела сравнивается со светом лампы, принятым за единицу. Для сравнения берутся красные лучи, для чего тот и другой свет пропускается через красные стекла и при помощи системы зеркал получаются рядом два их изображения. При помощи стекол и диафрагм уравнивают силу света обоих изображений. Если назовем через J искомую силу света, f, f' — расстояния лампы и накаленного тела от их изображений, n, n' — величины диафрагм, p — число стекол, взятых для ослабления рассматриваемого света, к — коэффициент абсорбции для стекла, то J = (n'/n)2(f/f')2(1/k)p. В качестве накаленного тела Ле-Шателье применял железную окалину Fe 3O4 и уголь, для которых, как для тел черных, световое лучеиспускание, по его опытам, зависит только от темп. и не зависит от окружающей среды. Для этих тел он нашел след. зависимость между темп. и силой света J = 10 6,7T—3210/T, где Т абсолютная темп.

Ср. Д. Менделеев, "Основы фабрично-заводской промышленности. Топливо" (1897); Любавин, "Техническая химия" (1897); "Musprrat's Chemie" (т. 4); Bolz, "Die Pyrometer" и статьи Ле-Шателье, Гольборна и Вина, Крова и др.

С. Л. Вуколов. Δ .

 

Оглавление