Оценка леса
— производится или с целью продажи его на сруб, или же для отчуждения вместе с почвой, на которой он произрастает. В первом случае задача представляется весьма простой: стоит только определить посредством перечета или, при значительной площади, с помощью пробных площадей (см.) количество различных сортиментов, которые можно получить при разработке всех деревьев, произрастающих на данной площади, и умножить полученные величины на соответственные таксовые цены (см. Такса). Складывая полученные произведения, получим довольно точно стоимость продаваемого на сруб леса, если только площадь его не настолько велика, что быстрая разработка всех деревьев вызовет такое переполнение рынков, которое может обусловить падение цен. При этом условии полученная О. окажется преувеличенной, если оказывается невозможным рассрочить вырубку на достаточное число лет. Значительно более сложной является задача О. леса вместе с находящейся под ним почвой. Можно и здесь оценить деревья по их действительной, или, как говорят, потребительной стоимости, а землю, подобно сельскохозяйственным угодьям, капитализацией возможного ежегодного дохода. Но так можно поступать только в том случае, если все насаждения дачи достигли того возраста, в котором их можно с выгодой срубить, а почва, по своим свойствам, допускает возможность культуры сельскохозяйственных растений и ее О. возможно применять те нормы, которыми пользуются при О. других угодий. Однако обыкновенно в лесу, наряду со старыми насаждениями, рубка которых выгодна, имеются и молодые, которые иногда не стоит и рубить, так как продажа полученных малоценных материалов не может окупить работы, затраченной на производство рубки. С другой стороны, под лесом весьма часто находятся так наз. абсолютно лесные почвы, т. е. почвы, не пригодные ни для какой иной культуры. О. таких почв придется производить капитализацией дохода от лесного пользования, как единственного, на них возможного. Но определение такой "капитализационной" стоимости встречает существенное препятствие в том, что доход от леса может представить постоянную, из года в год, величину лишь в том случае, если лес будет нормальным (см.), что на практике не встречается. Можно, правда, произвести устройство леса, вычислить, на основании составленного плана, размер пользования и величину среднего чистого дохода за некоторое число ближайших лет и капитализировать эту величину, так наз. лесную ренту, по той или другой норме роста. Капитальная стоимость лесной ренты представит, примерно, ценность леса вместе с находящейся под ним почвой. К этому капитализационному методу О. лесов и прибегают обыкновенно на практике в тех случаях, когда приходится оценивать значительную по площади лесную дачу, в которой возможно и уместно вести самостоятельное лесное хозяйство. Но очень часто приходится оценивать небольшие дачи, или даже отдельные насаждения, в которых ведение самостоятельного хозяйства невыгодно, или невозможно, и на которые, поэтому, нельзя составить особого плана хозяйства. В таких случаях приходится производить О. леса или по ожидаемой стоимости, или по затратам. О. по ожидаемой стоимости имеет более общее значение и ею иногда пользуются даже при О. значительных лесных дач. Каждое насаждение, произрастающее при данных условиях, имеет известный возраст спелости, по наступлении которого его всего выгоднее рубить. Если обозначить этот возраст через u, а стоимость всех материалов, доставляемых срубленным в этом возрасте насаждением, через Аи, то теперешняя стоимость насаждения, имеющего возраст n, выразится, при дисконтировании из р % сложных, через
Применение этой простой формулы дает верный результат лишь в том случае, если в насаждении до наступления спелости не будут производить рубок промежуточного пользования, или если такие рубки не доставляют никакого дохода. Если же такие пользования производятся на т 1, т 2, m3 и т. д. году и доставляют, соответственно, доходы D1, D2, D3 ..., то теперешняя их стоимость выразится через:
Приводя эти выражения к одному знаменателю с определенной выше стоимостью главного пользования и складывая все полученные величины, находим
Подобно доходам от промежуточных пользований, могут быть введены в эту
формулу и доходы от побочных, если таковые производятся. Из полученной таким
образом суммы доходов, которые могут быть доставлены насаждением, следует
вычесть расходы, которые придется понести, если насаждение останется на корне до
возраста рубки, т. е. в течение (и — п) лет. Эти расходы слагаются из
ежегодных расходов на управление, охранение, налоги и пр. (v)
и из ежегодной почвенной ренты (b).
Капитальная стоимость этих расходов равна:
.
Следовательно, окончательная формула ожидаемой стоимости насаждения получает
вид:
К пользованию этой формулой приходится прибегать, например, в том случае, когда требуется определить размер вознаграждения, причитающегося лесовладельцу в случае повреждения незрелого насаждения, повреждения настолько значительного, что насаждение должно быть немедленно срублено. Из вычисленной по этой формуле суммы должно в таком случае вычесть стоимость материалов, которые можно получить при срубке поврежденного насаждения. К методу ожидаемой стоимости прибегают и для О. почвы, пригодной только для лесного пользования. С помощью так наз. опытных таблиц определяют размеры возможных пользований от разведенного на такой почве насаждения и суммируют при помощи счета на сложные проценты доходы от этих пользований. При этом каждый из таких доходов представляется в виде непрерывной ренты, поступающей каждые и лет, т. е. повторяющейся через такое число лет, которое соответствует наивыгоднейшему обороту рубки. Капитальная стоимость дохода от главного пользования составит при этом Au/(1,0pu — 1); доходы от промежуточных пользований, производимых на a, b, c -м и т. д. году, абсолютно равные Da, Db, Dc .... дадут, соответственно, капитальные стоимости:
Da∙(1,0pu—a)/(1,0pu — 1); Db∙(1,0pu—b)/(1,0pu — 1); Dc∙(1,0pu—c)/(1,0pu — 1) ...
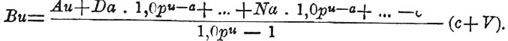
Такими же формулами выразятся и капитальные стоимости доходов (Na, Nb, Nc....) от промежуточных пользований, так что капитальная стоимость всех ожидаемых доходов выразится формулою:
Расходы слагаются: 1) из культурных (с), сопряженных с возобновленіем насаждения по истечении каждых и лет; их капитальная стоимость выразится через (c∙1,0pu)/(1,0pu — 1), или = c + c/(1,0pu — 1). 2) Ежегодных (v), капитальная стоимость которых (V) = v/0,0p. Вычитая обе эти стоимости из суммы доходов, получаем следующую окончательную формулу ожидаемой стоимости почвы (Ви):
Результат вычисления по этой формуле при данных условиях роста и ценах на лесные материалы существенно зависит от принятой нормы роста (p) и высоты оборота рубки (u), как показывает наглядно следующая табличка.
Ожидаемая стоимость почвы при обороте и норме роста:
| рубка | 4 % | 3 % | 2 % | 1 % |
| составляет | ||||
| 50 | 125 | 277 | 622 | 1748 |
| 60 | 144*) | 341 | 808 | 2380 |
| 70 | 139 | 363*) | 920*) | 2869 |
| 80 | 104 | 318 | 882 | 2963*) |
| 90 | 71 | 268 | 820 | 2930 |
*) Наивыгоднейший оборот рубки оказывается тем выше, чем ниже принятая для вычисления норма роста.
При всей теоретической верности метода О. леса по ожидаемой стоимости он представляет серьезные неудобства на практике: необходимо иметь для применения этого метода подробные опытные таблицы для каждого из типов почвы, встречающихся в даче, и трудно остановиться на выборе нормы роста, величина которой, как показывают вышеприведенные цифры, оказывает очень значительное влияние на результат вычисления. Поэтому на практике к этому методу прибегают довольно редко. О. "по затратам" представляет меньшие практические затруднения, но применима лишь в тех случаях, когда имеют дело с искусственно улучшенными почвами или искусственно разведенными насаждениями. Стоимость почвы по затратам равна уплаченному при покупке ее капиталу, наращенному сложными процентами до данного момента и сложенному с суммою издержек, также приращенных процентами, сопряженных с приведением почвы в состояние, допускающее возможность культуры. Стоимость w-летняго насаждения по затратам определится по формуле:
B(1,0pm — 1) + (v/0,0p)(1,0pm — 1) + c∙1,0pm,
где В выражает стоимость почвы, v — ежегодные расходы на управление, охранение и пр. и с — стоимость заложения насаждения. См. Г. Гейер, с Руководство к оценке лесов" (с 2-го изд. перев. Д. Кравчинский, СПб., 1 878); Kraft, "Zur Praxis der Waldwertberechnung und fö rstlichen Statik" (Ганновер, 1882); Baur, "Handbuch der Waldwertberechnung" (Б., 1836); Heyer, "Anleitung zur Waldwertberechnung" (Лпц., 1892); Marlineit, "Anleitung zur Waldwertberechnung" (Б., 1892); Slötzer, "Waldwertberechnung und fö rstliche Statik" (Франкфурт-на-Майне, 1894).
В. Добровлянский.