Навигация*

— отдел кораблевождения (см.), заключающий изложение способов определения места корабля на море, пользуясь компасом и лагом (см.). Определить место корабля на море, значить нанести на карту ту точку, в которой корабль в данный момент находится. Пользование для этой цели компасом может быть двоякое: 1) при плавании в виду берегов, заметив по компасу направления на два предмета, напр. маяка, показанных на карте, и проложив их на ней, получают место корабля. Направление, по которому предмет усматривается с корабля, называется пеленгом этого предмета, и вышеуказанный способ — определением места по пеленгам. 2) По компасу замечают направление, по которому корабль идет, называемое курсом корабля, а по лагу определяют или скорость хода, или же пройденное расстояние от исходной точки; отложив от этой точки на карте по замеченному курсу переплытое расстояние в масштабе карты, получают на ней ту точку, в которую корабль пришел. По известному курсу, переплытому расстоянию и широте и долготе исходной точки можно определить вычислением широту и долготу той, куда корабль пришел. Такой расчет называется счислением, графические же приемы определения места — прокладкой. Для морских карт употребляется исключительно меркаторская проекция по следующей причине: исправив, как будет указано ниже, показания компаса, получают угол между меридианом и направлением пути корабля — этот угол называется истинным курсом корабля. Когда корабль идет тем же истинным курсом, то он описывает на поверхности земного шара кривую, пересекающую все меридианы под одним и тем же углом. Такая кривая называется локсодромией, а так как постоянно приходится наносить на карту путь корабля, то и принята такая система проекции, где локсодромия изображается прямой линией. Такое условие требует, чтобы все меридианы изображались параллельными между собой прямыми. Первоначально сеть морских карт составлялась так: вообразив описанный около земного шара цилиндр, касающий его по экватору, продолжают плоскости всех меридианов до пересечения с этим цилиндром, развернув который на плоскость получают на ней систему равноотстоящих параллельных прямых, изображающих меридианы, и прямую к ним перпендикулярную, изображающую экватор. Чтобы изобразить параллели — на старинных картах проводили прямые, параллельные экватору в таком же расстоянии одна от другой как и на шаре, спрямляя дугу меридиана между экватором и наносимой параллелью. Карты, построенные по такой проекции, употреблялись до 1600-х годов и назывались плоскими. В 1568 г. Герард Меркатор издал карту, на которой расстояния между параллелями шли увеличиваясь по мере удаления от экватора, меридианы же изображались системой равноотстоящих параллельных прямых, но он не дал никаких объяснений этой системы проекции. В 1590 г. англичанин Эдвард Райт (Edward Wright) в сочинении: "Certain errors in navigation detected and corrected" объяснил, что употребление плоских карт ведет к ошибочному определению места и что для составления сети морских карт с системой меридианов, изображаемых параллельными прямыми, надо для нанесения параллели не спрямлять дугу меридиана между ней и экватором, а рассчитывать это расстояние особым способом. Сущность его соображений состоит в следующем. Пусть abсd (черт. 1) есть весьма малый прямоугольник, начерченный на поверхности шара и ограниченный дугами ab и cd двух смежных параллелей и дугами ас и bd двух смежных меридианов.

Черт. 1.

На плоской карте (черт. 2) этот прямоугольник изобразится прямоугольником a1c1b1d1, который не будет подобен abсd, ибо стороны ас = bd = a 1c1 = b1d1, сторона же a1b1 = ef дуге экватора между теми же меридианами, значит изображение получается растянутым по параллели, и угол d1a1c1 будет больше угла dac, значит — проложив на такой карте линию a1d' под углом равным dac, считали бы себя в точке d' а не в d1 и сделали бы в долготе ошибку d1d'.

Черт. 2.

Чтобы можно было и на карте прокладывать путь корабля под тем же углом к меридиану как и на шаре, надо, чтобы на карте прямоугольник acbd изображался прямоугольником ему подобным a1b1c2d2, то есть соблюдалась бы пропорция a1c2:ac=a1b1ab, иными словами, чтобы этот прямоугольник был одинаково растянут как по параллели, так и по меридиану. Если широта ab есть φ, то длина соответствующей дуги экватора еf= (ab)/cos φ =abSec φ, следовательно a1b1=ef=abSec φ и, значит, надо брать a1c2=acSec φ. Чтобы нанести на карту параллель ab, разделяют расстояние еe еа до экватора на весьма большое число n равных частей и воображают, что последовательно наносятся все соответствующие точкам деления параллели, начиная от экватора. Для нанесения параллели точки k1, широта которой ek1 равна φ /n=h, надо по меридиану карты отложить длину e'k1'=ek1.Sec0°=ek1=h. Для нанесения следующей параллели k2 надо от точки k1 ' отложить длину k1'k2'=k1k2Sec(φ /n)=hSech, для нанесения параллели k3 надо от точки k2 ' отложить длину k2'k3'=k2k3'Sec([2 φ ]/n)=hSec(2h) и т. д. Таким образом расстояние на карте параллели широты φ до экватора

e'Q1' — ek1' + k1'k2' + k2'k3' +...+ kn-1'b2 = h(Sec0 + Sec(ech) + Sec(ec2h) +...+ Sec(φ — h) = φ /n(Sec0 + Sec(φ /n) + Sec(2 φ /n) +...+ Sec([(n — 1) φ ]/n).

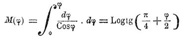
Можно приближенно брать h— 1', тогда

M(φ) = 1'[Sec0° + Sec1' + Sec2' +...+ Sec(φ — 1)'].

Эта величина M(φ), показывающая выраженное в минутах экватора расстояние по меридиану карты от экватора до параллели широты φ, называется меридиональными частями этой широты. Для вычисления меридиональных частей служит точная формула

которая получается, предполагая n бесконечным и взяв предел соответствующей суммы. Чтобы выразить М (φ) в минутах экватора, а не в долях радиуса, предыдущую величину надо умножить на 10800/π или же умножить обыкновенный Logtg(π /4+ φ/2) на число 7915,70. Чтобы избавить от этого вычисления, составлены таблицы меридиональных частей для всех широт от 0 до 90° через каждую минуту. Карты, составленные по такой системе проекций, и называются меркаторскими. На море все расстояния измеряются морскими или итальянскими милями; длина мили равна длине одной минуты экватора = 6080 фт. В Н. сжатием земли пренебрегается, так что считают ее за шар и длину меридиана — равной длине экватора. Из самого способа составления меркаторской карты видно, что масштаб ее в разных широтах различный, поэтому, чтобы на карте всегда иметь и масштаб и удобно было бы измерять число миль расстояний, разбивают боковую рамку карты между проведенными параллелями через 1', т. е. итальянскую милю, или же на более крупные части, если масштаб слишком мелок, верхняя же нижняя рамка разбивается также через 1': эти деления равны одной миле на экваторе, или одной минуте: по долготе на данной параллели. Компас на корабле не дает истинного курса, и показания его требуют поправок: 1) от действия судового железа стрелка компаса отклоняется от магнитного меридиана на некоторый угол, зависящий от курса и называемый девиацией (см.). Этот угол считается от северной части магнитного меридиана до направления северной части компасной стрелки, или, как говорят, северной части компасного меридиана к В (О) или З (W), сообразно чему и девиация называется Остовой или Вестовой. 2) Магнитный меридиан не совпадает с географическим, а составляет с ним угол, называемый склонением, которое считается от северной части географического меридиана до северной части магнитного к О или к W. 3) Когда корабль идет под парусами бейдевинд, т. е. когда его курс составляет острый угол с направлением ветра, то направление перемещения корабля не совпадает с направлением его диаметральной плоскости, т. е. с показанием компаса, а уклоняется под ветер и составляет с диаметральной плоскостью угол, называемый дрейфом. При ходе под парами или под парусами, но не бейдевинд, дрейфа не бывает. Получение по замеченному показанию компаса истинного курса корабля или истинного пеленга предмета называется исправлением румбов и по простоте своей достаточно выясняется на одном примере: пусть при ветре компасный курс корабля SSO, дрейф 1/2 румба, девиация на этом курсе 15° Ost, склонение компаса 5° W. Найти истинный курс корабля.

Черт. 3.

Пусть линия AN (черт. 3) представляет истинный меридиан; отложив влево 5°, получают магнитный меридиан AN1, отложив от которого вправо 15° получают компасный меридиан AN2; отложив от AN2 10 румбов (112 1/2 °) или от AS2 6 румбов (67 1/2 °), получают направление линии AD1, по которой корабль правят, идет же он по линии AD, отклоненной от AD1 на 1/2 румба (5 1/2 °) вправо, так как ветер дует слева. Истинный курс корабля есть угол

NAD = 1121/2° + 15° — 5° + 51/2° = 128° = SO52°.

Совершенно подобным же образом находят и компасный курс, по которому надо править, чтобы идти по данному истинному курсу. Пеленг исправляется только девиацией, соответствующей тому курсу, по которому корабль правят, и склонением. Для графического определения места на карте требуется только циркуль, линейка и транспортир, и пользование картой сводится к выполнению таких построений: нанести на карту точку по ее широте и долготе, снять широту и долготу точки с карты, измерить расстояние между двумя точками, по данной линии отложить заданное число миль, провести линию по данному направлению ее или румбу, снять направление линии с карты. Из этих вопросов только снятие и откладывание расстояний требует некоторых пояснений и производится так: пусть а и b данные на карте точки; сняв циркулем длину ab, прикладывают циркуль к боковой рамке карты против того места, где на рамку проектируется ab, так, чтобы середина проекции ab и середина расстояния между ножками циркуля приблизительно совпадали, и считают число миль по разделенной рамке между ножками циркуля — это и будет требуемое расстояние. Поступать таким образом необходимо потому, что масштаб карты в разных широтах разный, т. е. одна миля изображается различной длиной, поэтому и надо брать тот масштаб, который соответствует средней широте между точками а и b, чтобы не сделать чувствительной погрешности. При плавании в виду берегов место корабля определяется обыкновенно по пеленгам. Сущность этого приема состоит в следующем: замечают по компасу направления (пеленги) α и β, по которым усматриваются с корабля два предмета, напр. маяки А и В (см. Компас), и курс, которым корабль правят; исправив замеченные по компасу пеленги девиацией, соответствующей курсу и склонением, получают истинные пеленги α 1 и β 1.

Черт. 4.

Проводят (черт. 4) через точки А и B линии АК и ВК так, чтобы продолжения их составляли углы α 1 и β 1 с меридианом; тогда в точке К и получается место корабля на карте. При нанесении углов α 1 и β 1 надо иметь в виду не только их величину, но и ту четверть компаса, к которой они относятся; поэтому на морских картах N располагается всегда наверху, S внизу, О справа и W слeва, так что меридиан карты идет параллельно боковой ее кромке (на планах портов издания министерства путей сообщения это условие не всегда соблюдается). Если нет в виду одновременно двух маяков, то для определения места по одному маяку пользуются следующим приемом, называемым определением по крюйс-пеленгу: замечают пеленг α предмета А, затем через некоторое время снова берут его пеленг β, следя за это время за курсом и скоростью корабля. По скорости корабля и времени между двумя пеленгами находят пройденное кораблем расстояние l; исправив пеленги и курс, проводят через точку А линии AD и AE (черт. 5), продолжения которых составляют с меридианом углы α 1 и β 1 истинных пеленгов, и вмещают между AD и АЕ линию К 1 К 2, длина которой равна l, направление же составляет с меридианом угол k1 истинного курса корабля.

Черт. 5.

Точка К 1 есть место корабля в момент первого пеленга, точка К 2 — место корабля при втором пеленге; так как обыкновенно надо знать только это последнее место, то не проводят линий К 1 К 2 и AD, а им параллельные АF и 2, откладывая АF = К 1 К 2 = l. Постоянно встречается надобность решать такие два вопроса: 1) корабль шел в течение t часов со скоростью v от точки А по курсу K, нанести его место; 2) надо придти из А в B, каким курсом править? От известного места A, определенного напр. по пеленгам, проводят прямую АС под углом k1 истинного курса к меридиану и, отложив по ней длину АС = vt миль, получают требуемую точку С. Для решения второго вопроса проводят прямую AB и снимают с карты угол, составляемый ею с меридианом, обращая внимание на четверть компаса, куда эта линия направлена — это будет требуемый истинный курс корабля, а по нему находят и компасный, присоединив склонение, девиацию и дрейф, если идут под парусами бейдевинд. Счисление пути корабля производится большей частью при плавании вне вида берегов и сводится к вычислению того, на сколько минут изменяется широта и долгота корабля, когда им будет пройдено данное число миль по данному курсу. Счисление обыкновенно производится за 24 или за 12 часов от полудня до полночи или от полудня до полудня, и данными для него служат записи вахтенного журнала, куда заносится каждый час курс корабля, направление и сила ветра, и через каждые полчаса скорость корабля, а также отмечается и время всякой перемены курса или скорости. По записям вахтенного журнала сосчитывают сколько миль пройдено кораблем каждым курсом. Чтобы получить общие формулы счисления, рассматривают сперва тот случай, когда корабль идет одним курсом k и прошел путь AB = l.

Черт. 6.

Пусть (черт. 6) А есть та точка, откуда корабль вышел, называемая отшедшим пунктом, φ 0 и λ 0 ее широта и долгота, предполагаемая известными; точка В есть та, куда корабль пришел, называемая пришедшим пунктом; зная AB = l миль и курс k, надо вычислить широту φ 1 и долготу λ 1 точки В. Так как корабль шел одним курсом, то путь его AB есть дуга локсодромии: разделив AB на весьма большое число n равных частей и проведя через точки деления с 1, с 2 ... с n — 1 параллели и меридианы, получим ряд весьма малых прямоугольных треугольников, у которых у всех гипотенуза равна AB/n = l/n, и угол между гипотенузой и элементом меридиана равен k. Разность широт Δφ 0 = φ 1 — φ 0 точек А и В есть дуга AD меридиана между параллелями этих точек.

AD = Ab1 + c1b2 + c2b3 +... cn — 1bn

Подставляя сюда величины Аb 1, с 1b1 и проч., определенные из треугольников Аb 1 с 1, и проч., имеем:

(1)... AD = Δφ 0 = ADCosk = lCosk

Если AB выражено в милях, то Δφ 0 получится тоже в милях, а так как морская миля равна 1', то Δφ 0 и представит разность широт точек А и В в минутах. Разность долгот Δλ 0 точек А и В есть дуга экватора EF, заключенная между меридианами этих точек. Так как AB разделено на равные части, то и

Аb 1 = с 1b1... = с n — 1bn;

обозначая общую их величину через h, видим, что широты точек c1, c2,.... cn —1, В будут соответственно: φ 0 + h, φ 0 + 2h,... φ 0 + (n — 1)h. Проводя через точку c1 меридиан, получим соответствующую ей точку С 1 на экваторе, дуга ЕС 1 представит разность долгот точек с 1 и А, а так как

EC1 = [c1b1]/[Cos(φ 0 + h)] = c1b1Sec(φ 0 + h)

Также разность долгот точек с 1 и с 2 равна

c2b2Sec(φ 0 + 2h);

и т. д. Так что:

Δλ 0 = c1b1Sec(φ 0 + h) + c2b2Sec(φ 0 + 2h) +... + bnBSec φ 1

подставляя, имеем:

(2)... Δλ 0 = h[Sec(φ 0 + h) + Sec(φ 0 + 2h) + ... Sec φ 0]tgK = [M(φ 1) — M(φ 0)]tgk

где M(φ 1) и М( φ 0) суть меридиональные части, соответствующие широтам φ 1 и φ 0; разность их M(φ 1) — M(φ 0) называется меридиональной разностью широт. Вместо этой точной формулы разности долгот (2) берут для плаваний меньших 200 — 300 миль другую приближенную — именно сумму:

Δλ 0 = c1b1Sec(φ 0 + h) + c2b2Sec(φ 0 + 2h) +... + bnBSec φ 1

заменяют такой суммой:

(c1b1 + c2b2 +... + Bbn)Sec[(φ 0 + φ 1)/2]

а так как:

c1b1 = Ac1Sink; c2b2 = c1c2Sink;... Bbn = cn — 1BSink

то

(c1b1 + c2b2 +... + Bbn) = (Ac1 + c1c2 +... cn — 1B)Sink

так что

(3)... Δλ 0 = ABSinkSec[(φ 0 + φ 1)/2] = lSinkSec[(φ 0 + φ 1)/2]

Величина АВSink называется отшествием, само же АB — плаванием; таким образом получаем следующиe три основные формулы счисления:

I... разность широт = плавание.Cos (курса).

II... отшествие = плавание.Sin (курса).

III... разность долгот = отшествие. Sec (средней шир.) = (мерид. разн. шир.).tg (курса), причем все эти величины получаются в минутах, когда плавание выражено в морских милях. При вычислении разности широт и разности долгот и отшествия надо обращать внимание на наименование курса, т. е. разность широт будет к N, если курс NО или NW четверти, и к S при курсах SO и SW четвертей, разность же долгот и отшествие будут к О при курсах NО и SO четверти и к W при курсах NW и SW четвертей. Для вычисления разности широт и отшествия по данному плаванию и курсу составлены таблицы, где по аргументам плавание и курс прямо находят соответ. разность широт и отшествие. Вычислив по форм. I, II и III разность широт и разность долгот и зная широту и долготу отшедшего пункта А, сейчас же находим и широту и долготу пришедшего пункта В. Если корабль менял свой курс, так, что его истинные курсы были напр. k1, k2,... ki и плавания им соответствующие l1, l2,... li, то не вычисляют координат промежуточных точек, т. е. где корабль менял свой курс, а прямо координат пришедшего пункта. Это вычисление выполняется так: по данным l1, k1; l2, k2;... li, ki, находят соответствующие этим плаваниям и курсам частные разности широт и отшествия. Взяв затeм сумму всех разностей широт к N и сумму всех разностей широт к S, вычитают из большей суммы меньшую и получают так наз. генеральную разность широт, приписывая ей наименование большей из вышеупомянутых сумм. Это и будет разность широт φ 1 — φ 0 пришедшего и отшедшего пунктов, вычислив ее и зная φ 0, находят и φ 1. Совершенно также взяв суммы всех частных отшествий к О и к W и вычтя из большей суммы меньшую, получают так наз. генеральное отшествие, которому приписывают наименование большей из этих двух сумм. По этому генеральному отшествию и средней широте по форм. III вычисляют так наз. генеральную разность долгот, присоединив которую к долготе λ 0 отшедшего пункта, получают долготу λ 1 — пришедшего. Разность долгот может быть вычислена и иначе: по генеральной разности широт и генеральному отшествию вычисляют так наз. генеральный курс и генеральное плавание, т. е. такой курс и такое плавание, которым соответствовали разность широт и отшествие, равные вышеупомянутым генеральной разности широт и генеральному отшествию; это будет тот курс, который прямо ведет из отшедшего пункта в пришедший, а плавание, ему соответствующее, равно расстоянию этих пунктов по локсодромии. Пусть R есть генеральная разность широт, P — генеральное отшествие, К — генеральный курс и L — генеральное плавание, то из форм. I и II и сделанного определения видно, что:

tgК = P/R и L = R/CosK — = — P/SinK.

Вместо вычисления по этим формулам можно воспользоваться указанной выше таблицей, подыскав в ней такое плавание и такой курс, которым бы соответствовали разность широт = R и отшествие = Р. На основании форм. III разность долгот может быть получена по формуле

Δλ 0 = [M(φ 1) — M(φ 0)]tgK

где К — генеральный курс. Обыкновенно применяют первый прием, когда генеральный курс > 45°, т. е. когда генеральное отшествие > генеральной разности широт, и второй прием — в обратном случае. Такой способ вычисления генеральной разности долгот лишь приближенный, ибо он предполагает, что равным отшествиям соответствуют и равные разности долгот и что равным разностям шир. — равные меридиональные разности широт. При плавании в широтах, больших 65 — 70°, такое предположение дает уже чувствительную погрешность; чтобы ее избежать, надо для каждого курса отдельно вычислить разность долгот, а затем, взяв алгебраическую сумму этих частных разностей, получают генеральную разность долгот. Результаты счисления проверяются астрономическими наблюдениями и сличение широты и долготы полученной по счислению с широтой и долготой определенной по наблюдениям дает возможность определять направление и скорость морских течений. Положим, что корабль, выйдя из пункта, которого координаты φ 0 и λ 0 были определены по пеленгам или астрономически, через 24 часа получили по счислению свою широту φ 1 долготу λ 1, а астрономическое определение дало широту φ 2 и долготу λ 2; значит, в течение суток корабль течением снесло по широте на φ 2 φ 1, а по долготе на λ 2 λ 1. Чтобы определить направление и суточную скорость течения, по форм. I, II и III находят такой курс и такое плавание, которым бы соответствовали разность широт φ 2 φ 1 и разность долгот λ 2 λ 1: это и будут направление и суточная скорость течения. Когда течение известно, то при счислении принимают его в соображение, вводя как лишний курс, совпадающий с направлением течения, а плавание же, ему соответствующее, берут равным часовой скорости течения, умноженной на число часов его действия на корабль. Кратчайшее расстояние между двумя точками на шаре есть дуга большого круга, через них проходящая; поэтому при больших переходах, напр. из Сан-Франциско в Гонконг или Нагасаки, в особенности на паровых судах, располагают курсы так, чтобы идти не по локсодромии, соединяющей два этих пункта, а по дуге большого круга. Для этого вычисляют широты и долготы нескольких промежуточных точек этой дуги, и затем располагают курсы и плавания так, чтобы идти от одной из этих точек к следующей по локсодромии, т. е. пользуются для вычисления этих курсов и плаваний формулами I, II и III. Для производства всех навигационных вычислений служат "Мореходные таблицы", изданные гидрографическим департаментом морского министерства, также "Руководство по кораблевождению", Н. Зыбина (ч. I: "Навигация").

А. К.

 

Оглавление