Маятник

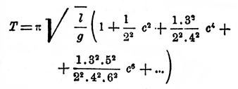
— М. называется тяжелое тело, совершающее колебания около неподвижной точки. Высокий интерес, представляемый движением М., замечен был впервые Галилеем, который усмотрел тесную связь между законами падения тел и законом качаний М. В 1657 г. Гюйгенс применил М. к устройству часов. М. оказался таким прекрасным средством в руках исследователей природы, что при помощи его было определено ускорение, производимое в движении падающих тел земным тяготением, величина сплюснутости земного шара у полюсов и, наконец, масса земного шара и всей солнечной системы. Математический М. состоит из тяжелой материальной точки и подвешенной к неподвижной точки О с помощью невесомого, нерастяжимого и несгибаемого стержня длины l. В положении равновесия стержень l принимает вертикальное направление. Если же отклонить М. в вертикальной плоскости от этого положения равновесия и затем предоставить действию тяжести, то он будет совершать качания в этой вертикальной плоскости. Формула, выражающая в конечном виде закон качаний М., содержит в себе эллиптические функции или может быть выражена следующим бесконечным рядом:

где Т время полного колебания, т. е. время, в течение которого точка m проходит дугу от одной ее верхней точки до другой один раз, π отношение окружности к диаметру, l длина M., g ускорение, производимое тяготением; , где h — высота, считаемая от уровня самого нижнего положения точки т до уровня той точки, до которой т была отклонена. При весьма малых амплитудах с настолько мало, что можно пренебречь его высшими степенями и положить: , так что: при малых амплитудах продолжительность колебаний зависит только от l и g и не зависит от величины амплитуд. Из этой формулы получается другая: g=(π 2l)/T2, по которой, зная длину l и наблюдая время колебания Т, можно определить напряжение тяжести g, которое для различных мест земного шара не одинаково, но увеличивается с приближением от экватора к полюсу. В Париже g равно 9,81 м. Физическим, или сложным, М. называется всякое тело, совершающее колебания около неподвижной оси под действием тяжести. Точки такого тела, находящиеся близко к подвесу, совершали бы быстрые колебания, если бы висели особняком; точки же, удаленные от подвеса, при таком условии колебались бы медленно. Следовательно, благодаря соединению в одно целое со всем М., движение первых замедляется, а движение последних происходит быстрее против того, как если бы они колебались отдельно, как математический М. Между точками сложного М. всегда находится такая, которая колеблется в соединении со всем телом так же скоро, как если бы она была подвешена на том же расстоянии от подвеса отдельно. Такая точка называется центром качаний. Следовательно, колебания сложного М. происходят с такой же скоростью, как колебания математического М., имеющего длину, равную расстоянию центра качаний от точки подвеса. Положение центра качания зависит от распределения масс в сложном М. Математический М., колебания которого совершаются с той же продолжительностью, как качания данного сложного М., наз. синхроничным с данным. По данному расстоянию h от точки подвеса до центра тяжести сложного М. и по моменту инерции его К относительно оси, проходящей через центр тяжести и перпендикулярной к плоскости качаний, можно определить расстояние l центра качаний от точки подвеса по формуле: l=h+(K2/h); величина l и выражает собой длину математического М., синхроничного с данным. Продолжительность колебания данного сложного М. определится по формуле , в которой l вычисляется по формуле, написанной выше. Если точка Q есть центр качания при подвесе М. за точку Р, то и наоборот, точка P оказывается центром качаний при подвесе М. за точку Q. Таким образом, точка подвеса и центр качаний оказываются точками сопряженными. Оборотный М. Воспользовавшись свойством сопряженных точек, Боненбергер и Катер устроили оборотный М., весьма удобный для определения величины ускорения, производимого земным тяготением. Этот снаряд состоит из бруска, по которому могут быть передвигаемы и закрепляемы в любом месте призмы, служащие для подвешивания бруска в качестве М. Опираясь острым ребром такой призмы на твердую подставку М., по отклонении его из положения равновесия и будет совершать колебания около этого ребра, как около оси. Рядом попыток приходят к такому размещению призм, при котором М. совершает колебания одной и той же продолжительности, за какую бы призму его ни повесить. При таком положении, очевидно, ребра призм должны проходить через две сопряженные точки, расстояние между которыми, по предыдущему, должно быть равно длине синхронического математического М. Таким образом, несмотря на невозможность устройства "невесомой нити" и "материальной точки", из которых состоит математический М., весьма легко при помощи оборотного М., производить наблюдения как бы над колебанием математического М. — Циклоидальный М. Если точка движется не по дуге круга, а по циклоиде, то продолжительность ее колебаний, даже и при больших амплитудах, не зависит от величины амплитуд. Этим свойством циклоиды, а также и тем ее свойством, что она есть развертка такой же циклоиды, Гюйгенс думал воспользоваться при устройстве часов. Конический М. представляет собой стержень с тяжестью на одном из его концов, вращающийся около вертикальной оси, описывая коническую поверхность. Обыкновенно стержень, описывающий конус, соединяется шарниром с цилиндрическим стержнем, вращающимся около вертикальной оси. Чем скоре вращается снаряд, тем более приподнимается стержень, описывающий конус, и угол, а составляемый им с вертикалью, имеет определенную величину при определенной скорости ω вращения. Движение определяется по формуле sin α /cos α =(ω 2l)/gsin α, распадающейся на две формулы: sin α =0, cos α =g/(ω 2l), где l длина стержня, описывающего конус. Из этих формул видно, что при можно пользоваться только первой из них, дающей α = 0. Следовательно, при медленном вращении М., после отклонения его рукой от вертикали, опять примет вертикальное положение, но при скорость ω (по второй формуле) будет постоянна при постоянном α; другими словами, при постоянстве α движение происходит равномерно. Этим свойством конического М. пользуются при устройстве регуляторов и иногда при устройстве часов. Часовой М. Определенная продолжительность колебаний сложного М. представляет лучшее средство для устройства равномерно идущих часов. Часы состоят из системы зубчатых колес, приводимых в движение пружиной или гирей. Без М. часы двигали бы стрелки очень неравномерно. М. пропускает при каждом своем колебании, при помощи приделанного к нему якоря (см. Часы), по одному из зубцов храпового колеса, вследствие чего это колесо имеет вполне определенное периодическое движение, а так как оно находится в зацеплении с одним из колес всего механизма, то и скорость вращения стрелок, соединенных с колесами этого механизма, является вполне определенной. Часовой М. состоит из стержня, на конце которого насаживается тяжелая чечевица, которую можно подвинчивать выше или ниже, для соответственного укорочения или удлинения М., чтобы регулировать ход часов. М. подвешивается или помощью призмы, или за широкую, но тонкую стальную пластинку, способную изгибаться, не оказывая почти никакого сопротивления. Главное затруднение состоит в том, что стержень М., как и всякое тело, при увеличении температуры окружающего воздуха удлиняется, а при уменьшении температуры укорачивается, причем в первом случае часы отстают, а в последнем идут вперед. Для устранения этой причины неправильного хода часов устраивают компенсированные М., пользуясь или неравномерным расширением металлов, или подвешивая вместо чечевицы сосуд со ртутью, которая, расширяясь, поднимается, и этим поднимает центр качания настолько же (при правильной регулировке), насколько он опускается от расширения стержня (см. Часы). Баллистический М. служит для определения скорости полета огнестрельных снарядов и представляет собой массивный брус, подвешенный наподобие М. При выстреле в этот брус, он, получив удар от снаряда, отклоняется на некоторый угол, отмечаемый стрелкой. По величине этого угла, весу снаряда и расстоянию, на котором он засел в брус, от точки подвеса судят о скорости, с которою снаряд ударил в брус. — М. Фуко. Тяжелый шар, подвешенный на длинной нити, выводится из положения равновесия в вертикальной плоскости и предоставляется действию тяжести. Если бы такой опыт был произведен на полюсе, то М. не изменил бы плоскости качания, а Земля, вращаясь около оси, меняла бы свое положение относительно плоскости качания; но наблюдателю казалось бы, что Земля стоит неподвижно, а плоскость качания постепенно уклоняется в сторону кажущегося движения Солнца. Нечто подобное происходит и при устройстве такого опыта в средних широтах, и это служит одним из осязательных доказательств суточного обращения земного шара. — М. Кавендиша. По мысли Митчеля, которому смерть помешала привести ее в исполнение, Кавендиш устроил снаряд, в котором на весьма легкие М. действовало, кроме земного тяготения, еще и притяжение, оказываемое массами тяжелых свинцовых шаров. С помощью этого снаряда Кавендиш определил отношение ускорений, производимых свинцовыми шарами, к ускорению, производимому притяжением к земному шару; и из этого отношения получено было отношение масс свинцовых шаров к массе земного шара и найдено, что плотность его равна 5,67. Зная объем Земли, можно определить вес равного ей шара, состоящего из воды и, помножив этот вес на 5,67, получит вес земного шара, который в пудах выражается числом, содержащим 23 цифры. По массе земли можно определить и массы других планет (см. Земля).

H. Д.

 

Оглавление