Кофеин

(хим.) или теин (иначе метил-теобромин или триметилксантин) — горькое вещество (алкалоид) кофе и чая с эмпирическим составом, отвечающим формуле C 8H10N4O2. Впервые в чистом виде получен из кофейных зерен Пеллетье и Каванту (1828); состав установлен Велером и Пфаффом с Либихом (1832), а тожество с теином, выделенным Удри (1827) из чайных листьев, Иобстом и Мульдером (1838). Штреккер (1861) получил его искусственно действием йодистого метила на серебряное производное теобромина (см.), чем была установлена связь его с ксантином (см.). Строение К, как трехметилированного производного диуреида диоксиакриловой кислоты (ксантина), основывается (Э. Фишером, 1882) на изучении целого ряда реакций его распадения на вещества более простые (см. далее). Согласно этому, оно должно быть представлено формулой:

Кроме кофе и чая (зерна Coffea arabica содержат обычно 0,35—1% К., листья 1,15—1,25%, чайные листья 0,82—3,45%, причем высшие сорта чая, приготавливаемые из молодых листочков, обычно богаче К. — см. Чай, Кофе), К. находится также в количестве 0,44—1,2% в так наз. парагвайском чае (листья Ilex paraguayensis), в орехах Sterculia acuminata (2,13—2,35%) и в значительно большей массе (около 5%) в гуаране (тесто, приготавливаемое из семян Paullinia sorbilis). Какао также содержит К. в виде небольшой примеси к теобромину. К. чаще всего получают в технике из чайных отбросов (чайной пыли), для чего водный отвар их осаждают уксуснокислым свинцом, фильтруют, удаляют из фильтрата свинец сернистым водородом и, отфильтровав вновь от сернистого свинца, выпаривают раствор до кристаллизации, а затем выделившийся К. очищают перекристаллизацией из воды или спирта. Также обрабатывают водный отвар чая окисью свинца, прибавляют поташа к слитому и выпаренному до густоты сиропа раствору и извлекают 90% спиртом. Отогнав спирт, перекристаллизовывают остаток из воды или бензола. К. кристаллизуется из воды в длинных, гибких, шелковистых, горьковатых на вкус иглах с 1 паем кристаллизационной воды, которую в сухом воздухе теряет отчасти при обычной темп. и вполне при 100°, плавится при 234—235° и, улетучиваясь значительно ниже этой темп., легко и без разложения сублимируется. Уд. в. К.=1,23. К. растворяется в воде, спирте, хлороформе и бензоле, весьма трудно растворим на холоде в абсолютном эфире, серистом углероде и петролейном эфире. При нагревании растворимость во всех названных растворителях значительно возрастает. Так, напр., 100 ч. воды при обыкн. темп. растворяют 1,35 ч. безводного К., а при 65° — 45,55 ч. В малых дозах К. применяется, как лекарственное (возбуждающее) вещество, в более значительных — ядовит. Реагирует К. нейтрально, но с кислотами соединяется, образуя соли, которые, впрочем, избытком воды или спирта разлагаются; хлористо-водородная соль образует хлороплатинат и хлораурат. Щелочи и баритовая вода при нагревании превращают К. в кофеидин (маслообразное основание) с отщеплением 1 частицы углекислоты по уравн.:

C8H10N4O2+H2O=C7H12N4 O+СО 2.

Дальнейшее действие щелочей, а также крепкой соляной кислоты при 240° — 250° производит полное распадение К., совершенно аналогичное распадению ксантина и теобромина, на углекислоту, аммиак, метиламин, муравьиную кислоту и метилгликоколь (саркозин, см.), по уравн.:

C8H10N4O2+6H2 O=СО 2+NH3+2NH2(CH3)+CH2O2+CH2(NHCH3)COHO.

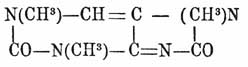
При осторожном окислении смесью соляной кислоты и бертолетовой соли К. расщепляется на диметилаллоксан CO(NCH 3)2(CO)3 и метилмочевину CO(NH 2)(NHCH3), а при других условиях окисления на холестрофан (диметилпарабановую кислоту) или амалиновую кислоту (тетраметилаллоксантин) и метилмочевину, что совершенно подобно распадениям мочевой кислоты (см.) на мочевину с одной стороны и аллоксан, парабановую кислоту и аллоксантин — с другой. Эти реакции указывают на аналогию строения К. со строением мочевой кислоты и, вместе с синтезом его из ксантина, переходя через теобромин (диметилксантин), определяют присутствие в его частице трех метильных групп и одного атома водорода, занимающего особое положение, как видно из формул C 5H(CH3)3N4O2 и вышенаписанной. Действительно, 1 атом водорода в К. может быть замещен хлором, бромом, водным остатком, причем получаются хлор-, бром- и гидроксикофеин, напр. C 5Br(CH3)3N4O2 и C 5(OH)(CH3)3N4O2. Последний способен присоединять 2 атома брома и обменивать затем их при действии спирта на 2 этоксильные группы, что показывает непредельность К. и присутствие в нем двойной углеродной связи. Образование из К., при окислении и последующем распадении, переходя через каффуровую кислоту, мезокзалевой кислоты C 3N4O6, и образование метилгидантоина

при распадении гидрокаффуровой кислоты, получающейся восстановлением каффуровой, определяет нахождение в частице К. группировок . Все эти, а также и некоторые другие реакции привели Э. Фишера к тому представлению о строении К., которое дано выше.

Качественной реакцией на К. служит мурексидная проба — см. Мочевая кислота. Способов количественного определения К., главным образом в чае, предложено несколько. Из них укажем на способ Пелиго, в главных чертах сходный с первым из описанных выше приемов получения К. По способу Целлера, высушенный чай растворяют в крепкой серной кислоте, раствор разбавляют водой, насыщают окисью свинца и извлекают горячим 86% спиртом, из которого и выкристаллизовывают К., а маточный спиртовой раствор выпаривают и остаток извлекают эфиром. Дворкович (1890) извлекает К. из чая кипящей водой, водную вытяжку промывает петролейным эфиром для удаления жирных и экстрактивных веществ, осаждает на холоде баритом, тотчас фильтрует и, прибавив к фильтрату раствор поваренной соли, окончательно экстрагирует К. взбалтыванием с хлороформом. Способы (напр. Мульдера), основанные на обработке веществ, содержащих К., кипячением с известью или магнезией, не дают удовлетворительных результатов вследствие происходящего при них отчасти разложения К. (Дворкович; см. также выше о действии на К. щелочей).

П. П. Рубцов. Δ.

 

Оглавление