Клапейроновы уравнения

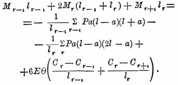
или формулы — выражают зависимость между моментами, действующими в трех последовательных опорных точках неразрезного бруса, т. е. непрерывной балки, поддерживаемой более чем двумя опорами. Уравнений этих можно составить столько, сколько имеется опор, но каждое из уравнений будет заключать лишь три неизвестных, а потому решение задачи значительно облегчается, сравнительно с применением к этому случаю общих формул изгиба призматического бруса. Определив с помощью К. уравнений опорные моменты, или моменты всех внешних сил, действующих на изогнутый брус по одну сторону каждой опорной точки, легко уже затем вычислить моменты, действующие в любых прочих точках бруса, а равно опорные противодействия и перерезывающие силы, т. е. получить все данные, необходимые для проектирования размеров и оценки напряжений различных частей бруса. Если для призматического бруса, расположенного на многих опорах, назовем последовательные пролеты через l1, l2..., расстояние опорных точек от определенной горизонтальной плоскости последовательно через С 1, С 2..., равномерную нагрузку на единицу длины каждого из пролетов через q1, q2... и последовательные опорные моменты через M1, M2..., то зависимость между моментами выражается уравнением:

где E — коэффициент упругости материала бруса, а Θ — момент инерции поперечного его сечения относительно оси, проходящей через центр тяжести. Эта формула дана была Клапейроном в первый раз ("Comptes Rendus", 1857) для случая, когда все опорные точки расположены в одной горизонтальной плоскости, следовательно, без члена, заключающего множитель ЕΘ . Понижение некоторых опор, которое на практике может произойти и случайно, от осадки и других причин, приводит к существенным изменениям в распределении усилий, сравнительно с тем случаем, когда все опоры расположены на одинаковой высоте. Поэтому Кепке (см.) ввел в формулу последний член, обобщивший ее и для указанного случая. Наконец, Вейраух ("Allgemein Theorie und Berechnung der continuirlichen und einfachen Tr ä ger", Лейпциг, 1873) вывел формулу, подобную уравнению К., и для случая нагружения балки рядом сосредоточенных грузов:

Здесь a означает расстояние груза от ближайшей опоры (с той стороны, откуда идет счет опор), относится ко всем грузам, расположенным в пролете lr—1, а — ко всем грузам в пролете lr. К. уравнения употребляются для расчета неразрезных балок, перекрывающих несколько пролетов, частей машин и проч.

А. Таненбаум.

Уравнение Клапейрона, относящееся к газам, имеет вид pv=R(273+t); это так называемое уравнение состояния (см. Газы сжиженные) соединяет в себе законы Бойля-Мариотта и Гей-Люссака; Клаузиус, Ван-дер-Ваальс дали впоследствии развитие этому уравнению состояний.

 

Оглавление