Квадратуры

— В интегральном исчислении так называются способы для приближенного вычисления площадей криволинейных фигур по нескольким данным ординатам кривой, или, что то же самое, способы для приближенного вычисления определенного интеграла по данным значениям подынтегральной функции для нескольких частных значений х в пределах интеграла. Простейшие формулы К. суть:

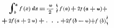
1) Способ трапеций.

,

где ω = (b a)/n, а n — целое число. Погрешность этой формулы, или так называемый остаточный член, равен

-[(ba)3f"(ξ)]/12n2, где a < ξ < b.

2) Способ Симсона.

,

причем ω имеет то же значение, а погрешность формулы равна

-[(b a)5fIV(ξ)]/9025n4, где a < ξ < b.

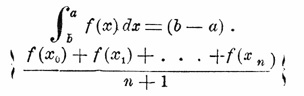
Существует множество других формул К., как, напр., формулы Котеса, Гаусса, Эрмита и др. Особенно замечательна формула Чебышева, имеющая следующий простой вид:

,

где x0, x1,.., xn зависят от числа п. Эта формула очень удобна для вычисления приближенного значения площадей криволинейных фигур, когда дан чертеж кривой.

В. Витковский.

 

Оглавление