Капитализация

— определение капитала или вообще ценности имущества по данному его доходу. К. может быть рассчитана, если известен чистый доход имущества и принято некоторое данное число процентов, приносимых подобным имуществом в известной стране и в известных обстоятельствах. Например при пятипроцентном доходе имущество, приносящее 5 р. в год чистой прибыли, равноценно капиталу в 100 руб. Вообще при ежегодном доходе а руб. и p процентах, или рублях на сто, К., или определение равноценного капитала А, вычисляется по формуле:

A = a(100/p)

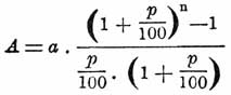
При К. имущества или предприятия, приносящего различный доход в зависимости от ежегодных случайностей, для величины а берут обыкновенно средний доход имущества за несколько последних до К. лет. Под К. срочных платежей разумеют определение капитала, уплатой которого единовременно погашаются все остающиеся платежи. Если такие платежи должны производиться в течение известного числа лет ежегодно и равными суммами, то К. (считая сложные проценты предстоящих годовых взносов) вычисляется по формуле:

где А есть капитал, равноценный ежегодным в течение n лет платежам по а руб., при p процентах или рублях со ста.

В. В. В.

 

Оглавление