Деформация

(мех.) — есть изменение формы тела или частей его, изменение строения тела. Д. могут быть сплошными или разрывными. Сплошные Д. суть такие, при которых всякая непрерывная линия, проведенная через точки тела, остается непрерывной во время деформирования, хотя изменяет положение в пространстве, свой вид и размеры. Движение такого тела может быть выражено такими равенствами:

где ξ, η, ζ суть координаты какой-либо точки тела в момент t = 0 (начальные координаты), x, y, z — координаты ее же в момент t; f1, f2, f3 — сплошные функции четырех переменных: ξ, η, ζ, t.

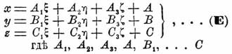
Например, уравнения:

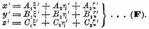
где А 1, А 2 А 3 А, В 1,... C суть какие-либо непрерывные функции времени, выражают деформации, называемые однородными. Они имеют следующие свойства: 1) всякие две взаимно подобные и подобно расположенные фигуры, начерченные в теле в какой-либо момент, изменяя при однородной Д. свой вид, размеры и положение в пространстве, будут все-таки сохранять свое взаимное подобие, причем центром подобия будет все время служить та самая точка тела, которая была им в начале; 2) плоскости и прямые не искривляются; 3) представим себе неизменяемую среду, движущуюся поступательно вместе с какой-либо из точек тела; пусть это будет точка К; проведем через нее координатные оси, параллельные неподвижным и неизменно связанные с этой средой; назовем через ξ ', η', ζ' начальные координаты прочих точек тела относительно этих осей, а через x', у', z' координаты их в момент t; тогда окажется, что относительное движение деформируемого тела по отношению к неизменяемой среде выразится уравнениями:

Вид этих уравнений не зависит от выбора точки К; значит, если вокруг двух различных точек тела выделить одинаковые по виду, размерам и положению объемы вещества, то Д. этих двух объемов будут тожественны и выразятся одними и теми же уравнениями (F). Таким образом A, B, C представляют поступательное движение тела, а остальные члены вторых частей равенств (E) или вторые часта равенств (F), выражают однородную Д. вокруг всякой точки тела.

При однородной Д., выражаемой уравнениями:

х = Е 1 ξ, у = Е 2 η, z = Е 3 ζ

все точки, находившиеся в начальный момент в плоскостях координат и на осях координат, остаются при Д. на тех же плоскостях и осях; такая однородная Д. может быть рассматриваема как результат трех однородных удлинений или сжатий параллельно этим осям; каждая единица длины, параллельная оси х-ов, удлиняется при этом на величину 

ε 1 = Е 1 — 1;

соответственные удлинения единиц длины, параллельных прочим двум осям, будут:

ε 2 = E2 — 1, ε 3 = E3 — 1

а кубичное расширение единицы объема вещества равняется

θ = Е 1 Е 2 Е 3 — 1.

При всякой однородной Д. можно найти три такие взаимно ортогональные направления, которые хотя и изменяются в пространстве, но все-таки остаются взаимно ортогональными, так что, вообще говоря, Д. сопровождается вращением. Эти направления называются главными осями однородных Д. Если вращений нет, то направления главных осей остаются неизменными, и тогда однородная Д. называется чистой. Д. x = Е 1 ξ, у = Е 2 η, z = Е 3 ζ есть чистая Д., главные оси которой параллельны осям координат. Если составить уравнения чистой Д., главные оси которой не параллельны осям координат, то окажется, что в этих уравнениях коэффициент В 1 тожественен с А 2, C1 с А 3 и C2 с B3.

Примером однородной Д., сопровождаемой вращением, может служить так называемый сдвиг, напр. параллельно плоскости yz, выражающийся следующими уравнениями:

x = ξ, y = g ξ + η, z = ξηζ.

При этой Д. плоскость yz остается неподвижной; все плоскости, ей параллельные, сдвигаются параллельно оси y-ов на длины, пропорциональные их расстояниям от нее (т. e. пропорциональные ξ), причем прямые, первоначально параллельные оси x-ов, становятся наклонными к ней под углом, тангенс которого равен g. В момент t = 0 главная ось наибольшего расстояния составляет с положительной осью х-ов угол (π /4 — ψ/ 2) и угол (π /4 + ψ/ 2) с положительной осью y-ов; другая главная ось (ось наибольшего сжатия) к ней перпендикулярна, третья главная ось параллельна оси z-ов и сохраняет свое направление. Д. сопровождается вращением вокруг оси z-ов на угол ψ, где tg ψ равен половине g. Если произвести один за другим два сдвига одинаковой величины, один только что упомянутый, а другой параллельно плоскости zx по направлению оси x (с таким же коэффициентом g), то в результате этих двух сдвигов получится так называемый двойной сдвиг в плоскости xy; это — чистая Д. и величина 2g называется коэффициентом такого двойного сдвига.

Теория однородных Д. играет существенную роль в гидродинамике и теории упругости, так как там рассматриваются такие Д. тел, при которых вокруг каждой точки тела, в ближайшем соседстве ее, совершаются относительные Д. однородные и ничтожно малые, т. e. такие, у которых коэффициенты A1, B2, C3 разнятся от единицы на ничтожно малые величины, а коэффициенты A2, A3, B1, B3, C1 и C2 ничтожно малы. Поэтому теорию таких Д. можно найти в соч. по вышесказанным предметам, напр.: "Kirchhoff's "Vorlesungen über mathematische Physik"; Ibbetson, "Treatise on the mathematical Theory af perfectly elastic solids"; Thomson and Tait, "Treatise on natural Philosophy" и т. д. Из числа неоднородных Д. нужно упомянуть о подобно-изменяющей Д. и коллинеарной Д., теории которых разрабатываются некоторыми авторами за границей и у нас (проф. П. И. Сомов, Д. Н. Зейлигер). Примером неоднородной, но еще сравнительно простой Д. может служить движение жидкости, выражаемое следующими уравнениями:

x = ξ, z = ζ

y = η + В(1 — ξ 2/a2)t.

Жидкость течет между двумя стенками, параллельными плоскости yz и отстоящими от нее на расстоянии а по обе стороны ее; все точки движутся прямолинейно параллельно оси у-ов со скоростями постоянными и тем большими, чем точки ближе к средней плоскости yz. При этой Д. все точки жидкости, находившиеся в момент t = 0 в плоскости, перпендикулярной к оси у-ов, в момент t будут находиться на параболическом цилиндре, между тем как при однородной Д. всякая плоскость остается плоскостью.

Д. Б.

Деформация тела под влиянием действующих на него внешних сил служит основанием современной теории строительной механики, с помощью которой вычисляется сопротивление материалов и определяются напряжения частей сложных сооружений, а следовательно, и потребные их размеры. При этом принцип производной работы Д. применяется для определения перемещения точек упругих систем. Всякое твердое тело рассматривается как система материальных точек, связанных между собой частичными, внутренними силами. Из внешних сил, могущих действовать на тело, рассматриваются сопротивления опор и разного рода нагрузки, приложенные в точках поверхности тела, и сила тяжести и другие подобные силы, действующие на частицы его массы независимо от поверхности. Всякая внешняя сила производит Д. тела, которая по удалении силы более или менее исчезает. Внутренние силы, стремящиеся восстановить первоначальную форму тела, измененную внешними силами, называются силами упругости. Та часть видоизменения тела, которая исчезает по прекращении действия внешних сил, называется упругим, а остальная часть — остающимся, или постоянным видоизменением. В обычных теоретических выводах строительной механики рассматриваются условия равновесия внутренних сил упругости с внешними силами только до тех пределов этих сил, при которых постоянных видоизменений вовсе не происходит или, во всяком случае, такие видоизменения не замечаются. Теория сопротивления материалов рассматривает только твердые тела, изменения которых под действием внешних сил имеют место по отношению как объема их, так и самого вида тел (в жидких телах изменяется только вид тела). Если внешние силы, действующие на тело, возрастают от нуля постепенно, то и изменение формы тела увеличивается мало-помалу. В случае внезапного приложения или отнятия силы, а также в случае не вполне постепенного изменения сил, тело испытывает колебания или качания около формы покоя, амплитуда которых постепенно уменьшается, пока тело наконец не примет окончательной формы равновесия. Сила упругости, проявляющаяся при Д. тела, всегда противоположна направлению перемещения частиц. Внутренние силы исполняют при видоизменении, произведенном внешними силами, отрицательную работу. Сумма работ всех этих сил и есть совокупная работа деформации, равная по величине и обратная по знаку работе внешних сил, а при неподвижных опорах — работе нагрузки. В зависимости от рода действия внешних сил, внутренние силы сопротивления могут быть растягивающие (см. Растяжение), сжимающие (см. Сжатие) и скалывающие (см. Скалывание). При данной форме твердого тела, определенном числе и расположении опор и данных по величине, направлениям и точкам приложения внешних сил (нагрузок) напряжения в частях тела определяются, на основании теории упругости, из условия равенства работы внутренних сил сопротивления при Д. тела работе внешних сил (см. Изгиб). Этим же принципом пользуются для расчета сложных систем (сочлененных), для чего с удобством можно пользоваться началом производной работы Д.

А. Т.

 

Оглавление