Горизонтальная дальность
(арт.) — горизонтальною дальностью называется расстояние между точкою вылета снаряда и пересечением линии полета снаряда (траектории) с горизонтом, проведенным через середину дульного среза. В безвоздушном пространстве Г. дальность А выражается такою формулою: А = (V 2 Sin2φ)/g, где g — ускорение силы тяжести, V — начальная скорость, φ — угол возвышения орудия. Наибольшая Г. дальность получается при угле возвышения 45°. При стрельбе в воздухе вследствие сопротивления последнего движению снаряда эта формула вообще не приложима. Угол наибольшей дальности вообще меньше 45°. Разница между Г. дальностью вычисленною и действительною будет тем меньше, чем меньше начальная скорость и угол возвышения и чем больше вес снаряда, приходящийся на единицу площади его поперечного сечения.
|
Калибры |
Начальные скорости, фут. / с |
Углы возвышения, градусы |
Дальности, сажени |
|
|
Для безвоздушного пространства |
Наблюденные на опыте |
|||
| 4-линейн. продолговат. пуля ружья Бердана № 2 |
1400 |
33° |
7922 |
1320 |
| 6 линейная сферическая пуля |
1570 |
25° |
8370 |
470 |
| 6-дюймовая продолговатая бомба |
462 |
43° |
946 |
860 |
| 13,5-дюймовая бомба |
2100 |
33° |
17868 |
9000 |
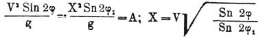
При небольшом различии между углами возвышения при одной и той же начальной скорости или при малом отличии скоростей при одном и том же угле возвышения можно, однако, пользоваться без большой погрешности выражением горизонтальной дальности для определения угла возвышения и начальной скорости. Например, при стрельбе из данного оружия под углом возвышения φ и с начальною скоростью снаряда V получилась дальность А; требуется определить, с какою начальною скоростью Х должен быть выстрелен из того же орудия тот же снаряд, при другом угле возвышения φ. Тогда:
Таким же точно образом может быть найден и угол возвышения у, для определения которого послужит формула:
Sin2 у = V2/V12Sin2 φ.
А. Якимович.