Гиперболоид

(мат.) — Под этим названием известны два вида поверхностей второго порядка. 1) Однополый Г. Эта поверхность, отнесенная к осям симметрии, имеет уравнение

x2/a2 + y2/b2 z2/c2 = 1.

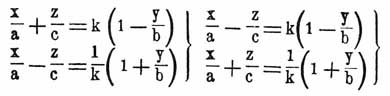
Однополый Г. есть поверхность линейчатая и на ней лежат две системы прямолинейных образующих.

Уравнения этих систем суть:

2) Двуполый Г. — Поверхность, состоящая из двух отдельных кусков, определяемая уравнением

x2/a2 + y2/b2 z2/c2 = — 1.

Уравнение

x2/a2 + y2/b2 — z2/c2 = 0

есть уравнение так называемого асимптотического конуса, к которому приближаются полы поверхности по мере удаления от вершин.

Д. Гр.

 

Оглавление