Гамма, в математике

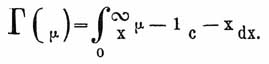
— Математической функцией гамма (Gammafunction) называется функция, определяемая интегралом:

При μ целом и положительном Г (μ) = 1. 2. 3... (μ — 1). Лежандр называл функцию гамма Эйлеровым интегралом второго вида.

Д. Б.

 

Оглавление