Гамильтонов принцип

или начало Гамильтона — в механике и математической физике служит для получения дифференциальных уравнений движения. Этот принцип распространяется на всякие материальные системы, каким бы силам они ни были подвержены; сначала мы выскажем его в том виде, какой он принимает, если силы имеют потенциал, зависящий или не зависящий от времени явным образом.

Пусть q1, q2, q3 ... независимые координаты, или координатные параметры, определяющие положение материальной системы; положим, k есть число этих параметров. Пусть U есть потенциал сил, действующих на систему; U есть функция от q1, q2, q3 ... и может быть еще и функцией от t. Пусть Т означает живую силу материальной системы; это есть функция от t, q1, q2, q3 ... и от производных

dq1/dt, dq2/dt, dq3/dt,...

относительно этих производных Т есть функция второй степени.

Если бы вопрос о движении системы при действии данных сил был решен, то координаты q выражались бы функциями времени t и 2k произвольных постоянных С 1, С 2, С 3, ...; пусть эти функции будут: f1, f2, f3, ...

Составим сумму T + U, которую обозначим через L. Согласно вышесказанному, это есть функция от t, координат q и их производных q '; но если мы подставим вместо q1, q2, q3 ... соответствующие им функции f1, f2, f3, ..., а вместо производных q'1, q'2, ... производные по t от соответствующих функций f, то L обратится в функцию от t и от 2k произвольных постоянных С.

Предположив, что L выражена таким образом, возьмем интеграл от Ldt между произвольными пределами: нижним t1 и верхним t2; полученный интеграл, который обозначим через S:

будет функцией от t2, t1 и величины С.

Предположим, что положения материальной системы в моменты t1 и t2 вполне обозначены, так что координаты q имеют определенные значения для момента t1 и другие определенные значения для момента t2, тогда по этим 2k данным найдется по меньшей мере одна совокупность значений 2k величин С 1, С 2, С 3, ...; обозначим найденные величины малыми с 1, с 2, с 3, ....

Под влиянием данных сил материальная система перейдет из данного первого положения в положение второе по таким путям, на которых вышесказанные величины С будут сохранять постоянные значения с 1, с 2, с 3 ...; эти пути или этот путь системы условимся называть прямым путем.

Однако есть возможность перевести ту же материальную систему из первого положения во второе в течение времени (t2-t1) по другому, окольному, пути; для этого надо присоединить к данным силам еще новые силы или же сообщить ей во время движения ряд толчков. Так как добавочные силы или толчки могут быть бесконечно разнообразны, то и окольные пути будут столь же разнообразны. На каждом из окольных путей C будут уже не постоянны, но будут изменяемы с течением движения в зависимости от вида окольного пути; но только они должны будут иметь значения с 1, с 2, с 3, .... в конечных положениях системы — первом и втором.

Предположим, что будем рассматривать окольные пути бесконечно мало отличающиеся от прямого; тогда значения С на этих путях будут отличаться от постоянных с 1, с 2, с 3, .... на ничтожно малые величины δ С 1, δ С 2, δ С 3, которые мы назовем вариациями этих постоянных. Вариации δ С 1, δ С 2, δ С 3,... суть функции от t произвольного вида, обращающиеся в нуль при t1 и t2 и имеющие ничтожно малые величины при промежуточных значениях t.

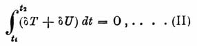
Если постоянные С получают вариации на окольных путях, то и величина S варьируется. Принцип Гамильтона состоит в том , что вариация первого порядка интеграла S равна нулю для всяких окольных путей, бесконечно мало отличающихся от прямого.

Равенство δ S= 0 может быть представлено следующим образом:

причем вариации от Т и U можно представить в виде сумм:

δ T = Σ (dT/dq') δ q' + Σ (dT/dq) δ q

δ U = Σ (dU/dq) δ q.

Поступив с равенством (II) так, как объяснено в статье "Вариационное исчисление" (см.), получим из равенства (II), выражающего принцип Гамильтона, Лагранжевы дифференциальные уравнения движения рассматриваемой материальной системы, т. е. уравнения:

d/dt[dL/dq1'] = dL/dq1

d/dt[dL/dq2'] = dL/dq2 и проч.

Подробнее о начале Гамильтона см. С. G. J. Jacobi, "Vorlesungen ü ber Dynamik" (1866), или в полном издании сочинений Якоби, Supplementband.

Равенство δ S = 0 выражает, что интеграл S есть minimum, maximum или minimax; для суждения о том, который из этих случаев имеет место, надо составить и определить знак вариации второго порядка от S.

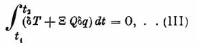
Принцип Гамильтона имеет меcто и тогда, когда силы не имеют потенциала; он тогда выражается так:

где Q есть составляющая сил по координатному параметру q. О применении этого принципа к составлению дифференциальных уравнений гидродинамики и теории упругости см. Kirchhoff, "Vorlesungen über mathematische Physik", "Mechanik" (1874); "Mathematical papers of the late George Green" (1871).

Д. Б.

 

Оглавление