Биквадрат

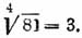
— есть квадрат квадрата, т. е. величина, возведенная в 4-ую степень. Так, Б. 3-х = 3 4 (3 х 3 х 3 х 3, или 3 х 3 = 9 и 9 х 9 = 81). Биквадратным корнем наз. число, которое, будучи возведено в 4-ую степень, дает подкоренное число, напр.

Биквадратным уравнением наз. уравнение, содержащее неизвестное в 4-ой степени.

 

Оглавление