Арифметика увеселительная

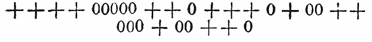
(Arilhmé tique amusante, divinatoire). - Под этим словом подразумевается искусство определять посредством вычисления какие-либо загаданные числа или карты или находить относительный порядок, при котором удовлетворяются известные условия. Для примера приведем следующую задачу, которая, наравне с другими, циркулировала в конце XVIII ст. - в период, когда увеселительная арифметика занимала умы и непраздных людей. На корабле в числе экипажа было 15 турок и 15 христиан. Застигнувшая их буря заставляла принять все меры к спасению. Когда излишний балласт был выброшен за борт, капитан корабля объявил, что необходимо бросить в море половину экипажа для спасения другой. Было решено, выстроив весь экипаж в один ряд, бросать за борт каждого девятого по счету, продолжая счет постоянно с одного и того же конца. Капитан распорядился заранее так выстроить свой экипаж, чтобы по жребию выброшены были за борт все 15 турок, а жизнь христиан была спасена. Как был выстроен экипаж? Ответом служит следующая диаграмма:

где + означает место христианина, 0 турка. Был, кроме того, подобран мнемонический стих для подобного построения: "Populeam virgam mater regina ferebas". Принимая a = 1, e = 2, i = 3, o = 4, u = 5, гласные буквы данного стиха показывают, в каком порядке чередуются христиане с турками в предположении, что первыми в ряду были христиане.

 

Оглавление