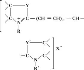
Цианины, органические соединения, содержащие два гетероциклических радикала, соединённых цепью из нечётного числа метиновых групп:

где Y, Y' — О, S, Se, CR2 и др.; R, R' — H, алкил; X—CI-, Br-, I- и др.; n = 0—5.
Название Ц. произошло от первого соединения этого класса — ярко-синего цианина (от греч. kyanós — синий). В зависимости от числа метиновых групп в цепи различают цианины (монометинцианины) с n = 0, карбоцианины (триметинцианины) с n = 1, дикарбоцианины (пентаметинцианины) с n = 2 и т.д. Общий метод синтеза Ц. состоит в конденсации четвертичных солей гетероциклических оснований. Ц. относятся к группе полиметиновых красителей.
Лит. см. при ст. Полиметиновые красители.