Хинин, алкалоид, содержащийся в коре и др. частях хинного дерева (Cinchona) и ремиджии (Remijia) семейства мареновых, произрастающих в тропических странах.

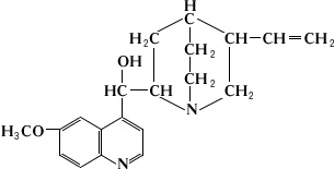
Впервые выделен в чистом виде в 1820 французскими химиками П. Пельтье и Ж. Каванту. В 1944 американские химики Р. Вудворд и В. Деринг осуществили полный синтез Х. По химическому строению Х. — сложное полициклическое соединение; основание, плохо растворимое в воде, хорошо — в спирте, эфире, хлороформе. Х. — типичный протоплазматический яд. В лечебных дозах (в медицине применяют Х. гидрохлорид, Х. дигидрохлорид и Х. сульфат) оказывает влияние на различные системы организма. Он угнетает центры терморегуляции; понижает возбудимость сердечной мышцы, удлиняет рефракторный период и несколько уменьшает её сократительную способность; возбуждает мускулатуру матки и усиливает её сокращения. На способности Х. угнетать жизнедеятельность эритроцитарных форм малярийных плазмодиев основано использование его как противомалярийного средства. В токсических дозах Х. понижает деятельность коры головного мозга, вызывая состояние оглушения, головокружения, рвоту и др. признаки отравления. Ввиду сложности химического синтеза Х., его выделяют из коры хинного дерева. Импорт Х. в СССР незначителен благодаря производству эффективных отечественных синтетических противомалярийных средств и почти полной ликвидации малярии.
В. В. Ларин.