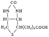
Биотин (витамин Н), водорастворимый витамин, содержащийся в дрожжах и других микроорганизмах, а также в печени, яичном желтке, почках, молоке, цветной капусте и других растительных продуктах. Суточная потребность человека в Б. (0,25 мг) обычно обеспечивается микрофлорой кишечного тракта, поэтому вводить его с пищей не нужно. Б. получен синтетически.

У лабораторных животных можно вызвать авитаминоз Н скармливанием больших количеств сырого яичного белка, содержащего антагонист Б. — авидин, разрушающийся при нагревании до 100°С. При авитаминозе Н наблюдаются поражения кожи типа себореи. Б. — кофермент, участвует в процессах переноса углекислого газа и фиксации его при биосинтезе; другие функции его не выяснены.