Рециркулятор, электронное устройство, содержащее цепь запаздывающей обратной связи, по которой сигнал (обычно импульсный) проходит (с выхода Р. на его вход) с некоторой задержкой во времени; благодаря наличию такой связи в устройстве имеет место многократное прохождение (циркуляция) входного сигнала. Длительность сигнала обычно мала по сравнению со временем задержки Т в цепи обратной связи. Амплитудно-частотная характеристика (АЧХ) такого Р., подобная АЧХ гребенчатого фильтра (см. Электрический фильтр), имеет узкие полосы прозрачности на частотах, отстоящих друг от друга на величину 1/Т.
Простейший Р. с цепью положительной обратной связи (рис.), используемый, например, для обработки импульсных сигналов в радиолокационных устройствах, представляет собой линейную систему, в которой для предотвращения самовозбуждения петлевое усиление выбирают < 1. В таком Р. происходит накопление слабых сигналов, следующих с периодом повторения, равным времени задержки, что, например, позволяет выделить их на фоне более сильных помех; однако число накапливаемых импульсов обычно не превышает нескольких десятков. В более сложном Р., используемом в качестве запоминающего устройства ЦВМ, применением в цепи положительной обратной связи нелинейных звеньев обеспечивается длительная циркуляция импульсов, несущих информацию в цифровой форме. Р. со счётчиком импульсов (цифровым запоминающим устройством) в цепи обратной связи применяют в цифровых фильтрах, входящих в состав систем цифровой обработки сигналов. Р. с нелинейным звеном и с отрезком высокочастотного кабеля в качестве элемента задержки используется как автогенератор импульсов (обычно наносекундной длительности).
Лит.: Моругин Л. А., Импульсные устройства с запаздывающей обратной связью, М., 1961; Финкельштейн М. И., Гребенчатые фильтры, М., 1969; Лезин Ю. С., Оптимальные фильтры и накопители импульсных сигналов, 2 изд., М., 1969.
М. И. Финкельштейн.

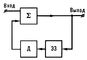
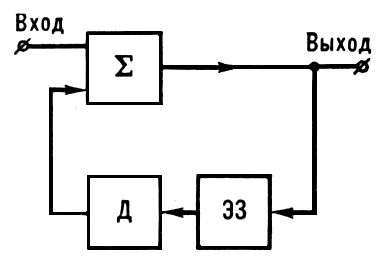
Структурная схема простейшего рециркулятора: S — устройство, суммирующее входной сигнал с сигналом, прошедшим с выхода рециркулятора на его вход по цепи обратной связи; ЭЗ — элемент цепи обратной связи, задерживающий сигнал на время Т; Д — делитель с коэффициентом передачи сигнала < 1. Стрелками показано направление циркуляции сигнала.