Ориентации правила, в органической химии определяют порядок замещения в ароматическом кольце при наличии в нём заместителя (ориентанта). При электрофильном ароматическом замещении (см. Замещения реакции, Нуклеофильные и электрофильные реагенты) ориентанты I рода (OH, OR, OCOR, SH, SR, NH2, NHR, NR2, алкилы, галогены) направляют замещение в орто- и пара-положения кольца, ориентанты II рода (SO3H, NO2, COOH, COOR, CN, CF3,
, CHO) — в мета-положение; при наличии ориентантов менее ярко выраженной природы (NO, RCO, CHCl2, CH2NO2) наблюдается смешанная ориентация. Ориентирующий эффект обусловлен электронным влиянием заместителя на перераспределение электронной плотности в молекуле по системе простых (индуктивный I-эффект) и сопряжённых (мезомерный М-эффект) связей (см. также Мезомерия). Введение ориентантов I рода увеличивает электронную плотность бензольного кольца в целом, но особенно в орто- и пара- положениях, введение ориентантов II рода соответственно уменьшает. Ниже показано смещение электронной плотности в нитробензоле (I) и анилине (II); дипольные моменты этих молекул 3,95 и 1,53Д соответственно:

Ещё более важно влияние ориентанта на распределение электронной плотности в переходном состоянии (см. Активированный комплекс). Предполагается, что структура переходного состояния близка к s-комплексу; она может быть изображена также набором резонансных структур (см. ниже). Ориентанты I рода за счёт индуктивного (+I или мезомерного (+M) эффектов (знаки + и — означают соответственно электронодонорный и электроноакцепторный характеры эффектов) облегчают электрофильное замещение, т.к. стабилизируют переходное состояние, частично погашая возникающий положительный заряд. Наиболее эффективно влияние ориентантов I рода за счёт сопряжения передаётся в орто- и пара-положения бензольного кольца, поэтому в эти положения в основном и направлена атака электрофила Е+. Примером может служить замещение в пара-положение толуола:

В возникающем переходном состоянии наблюдается прямое взаимодействие заместителя с положительным зарядом, в результате чего его энергия становится меньше, чем переходного состояния в случае мета-замещения в толуоле.
Более сложно поведение галогенных ориентантов, у которых —I- и +М-эффекты действуют в противоположных направлениях. В нереагирующей молекуле из-за —I-эффекта галоген служит отрицательным концом диполя. В образующемся переходном состоянии при орто- и пара-замещении благодаря возможности частичного погашения заряда за счёт +М-эффекта заместитель направляется именно в эти положения. Однако электрофильное замещение происходит труднее, чем в бензоле. Для заместителей, обладающих такой же комбинацией эффектов, например для аминогруппы (NH2), +М-эффект перекрывает действие —I-эффекта. Протонирование аминогруппы в растворах приводит к изменению характера ориентанта, т.к.
-группа пассивирует замещение и направляет его в мета-положение.
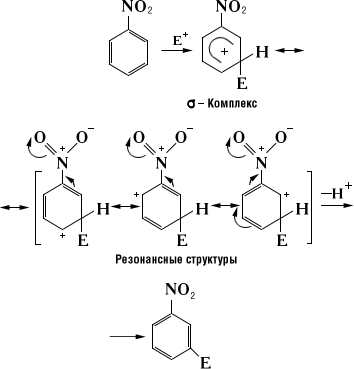
Ориентанты II рода за счет действия тех же эффектов в обратном направлении (—I- и —М-эффекты) затрудняют вступление электрофила во все положения бензольного кольца, но особенно (за счет эффекта сопряжения) в орто- и пара-положения, поэтому в этом случае замещение в основном осуществляется в мета-положение, например как в нитробензоле:

В возникающем переходном состоянии отсутствует прямое взаимодействие заместителя с положительным зарядом.
При наличии нескольких заместителей в ароматическом кольце возможны случаи согласованной и несогласованной ориентации, как, например, в n- и м-нитротолуолах. Относительная реакционная способность и эффект ориентации (избирательность реакции) в значительной степени зависят от характера электрофильного агента. Обратное влияние рассмотренных заместителей (как на активацию замещения, так и на ориентацию) наблюдается при нуклеофильном ароматическом замещении.
Лит.: Ингольд К., Теоретические основы органической химии, пер. с англ., М., 1973.
И. П. Белецкая.