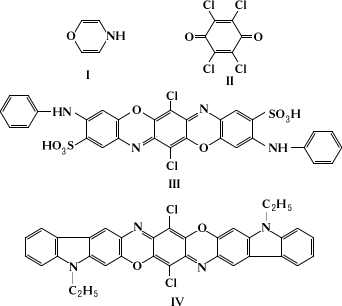
Оксазиновые красители, относятся к группе хинониминовых красителей, производные оксазина (I). Большое практическое значение имеют прямые О. к. (синего и голубого цветов) и О. к., являющиеся пигментами (фиолетового цвета). Пигменты получают конденсацией хлоранила (II)

с ароматическими или гетероциклическими аминами. При получении прямых О. к. одновременно с конденсацией осуществляют сульфирование. Важные представители О. к. — прямой ярко-голубой светопрочный (III) и пигмент фиолетовый диоксазиновый (IV) — обладают высокой прочностью и применяются для окраски хлопчатобумажных тканей (III) и в качестве пигментов (IV).
Лит.: Коган И. М., Химия красителей, 3 изд., М., 1956.