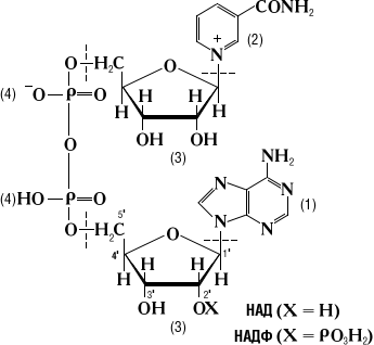
Никотинамидадениндинуклеотид, НАД [дифосфопиридиннуклеотид (ДПН); устаревшее — козимаза, кофермент I (Ко I), кодегидрогеназа I], кофермент, присутствующий во всех живых клетках; входит в состав ферментов группы дегидрогеназ, катализирующих окислительно-восстановительные реакции. Открыт в 1904 в дрожжевом соке английскими биохимиками А. Гарденом и У. Йонгом; строение установлено в 1936 О. Варбургом и Х. Эйлером. В состав молекулы НАД входят аденин (1), амид никотиновой кислоты (2), два остатка углевода рибозы (3) и два остатка фосфорной кислоты (4). Др. важнейший кофермент — никотинамидадениндинуклеотидфосфат, или НАДФ, содержит в молекуле ещё один остаток фосфорной кислоты, связанной с 21-углеродным атомом рибозы (см. рис.).

Во многих окислительно-восстановительных реакциях НАД или НАДФ присоединяют протон и 2 электрона, переносимые от окисляемого субстрата к окисленному коферменту; в обратной реакции водород переносится от восстановленного кофермента к субстрату. При этом водород отщепляется и присоединяется к атому углерода амида никотиновой кислоты в 4-м положении:

Оба кофермента участвуют в реакциях обмена углеводов, белков и жиров. См. также Окисление биологическое.
С. А. Остроумов.